Citation: LIU Yong, SHAN Ye, DING Shuai, HAN Xuan, LIU Yang-xian. NO removal using oxidation of free radicals produced from Fe2+ and heat synergic activation of oxone[J]. Journal of Fuel Chemistry and Technology, ;2018, 46(12): 1520-1527. shu

NO removal using oxidation of free radicals produced from Fe2+ and heat synergic activation of oxone

  • Corresponding author: LIU Yang-xian, liuyx1984@126.com
  • Received Date: 5 July 2018
    Revised Date: 13 September 2018

    Fund Project: the National Natural Science Foundation of China U1710108The project was supported by the National Natural Science Foundation of China (U1710108, 51576094)the National Natural Science Foundation of China 51576094

Figures(4)

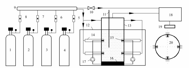
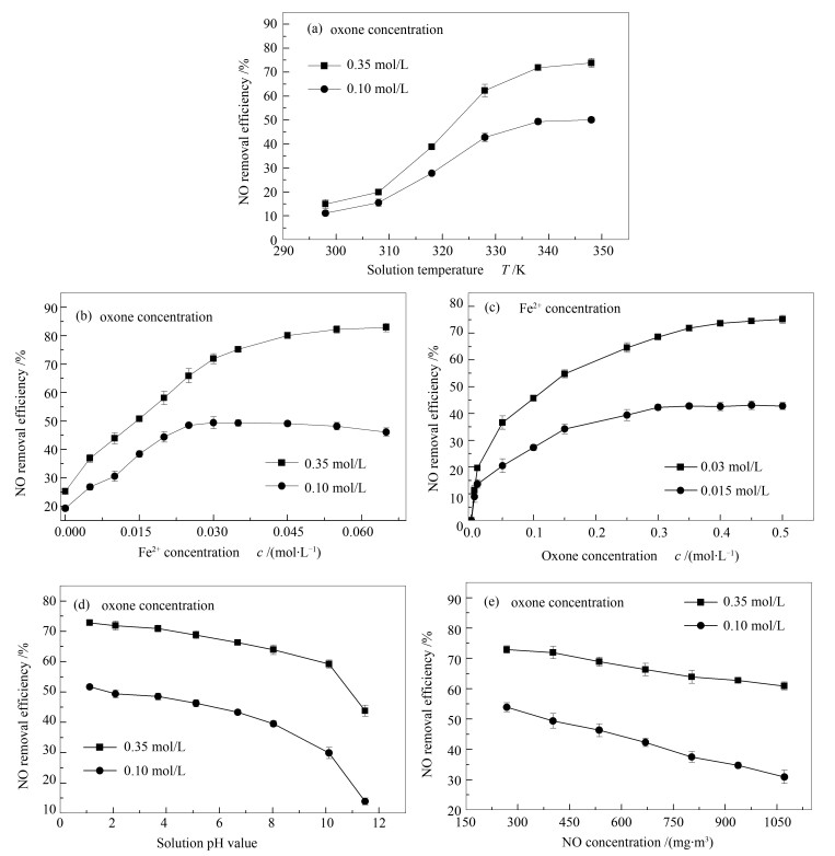
  • The NO removal using oxidation of free radicals produced from Fe2+ and heat synergic activation of oxone in a gas-liquid impinging stream reactor was investigated. The effects of several main process parameters (solution temperature, Fe2+ concentration, oxone concentration, solution pH value, NO inlet concentrations) on NO removal were examined. The reaction products and free radicals were also detected and analyzed. Based on the comparative study of different systems, detection of reaction products and capture of active free radicals, the mechanism and reaction pathways of NO removal process were revealed. The results indicate that the increase in oxone concentration, solution temperature or Fe2+ concentration elevates the NO removal efficiency, but the increase in the solution pH value or NO inlet concentration reduces the NO removal efficiency. A synergistic effect between Fe2+ and heat, which activates the oxone to generate sulfate radicals and hydroxyl radicals, was observed. It reveals that the sulfate radicals and hydroxyl radicals are the primary reactive oxidants, and oxone is the complementary oxidant for NO removal. The synergistic activation system of Fe2+ and heat has much higher NO removal efficiency than other systems.
  • 加载中
    1. [1]

      SU C Y, RAN X, HU J L, SHAO C L. Photocatalytic process of simultaneous desulfurization and denitrification of flue gas by TiO2-polyacrylonitrile nanofibers[J]. Environ Sci Technol, 2013,47(20):11562-11568. doi: 10.1021/es4025595

    2. [2]

      WEI Z S, NIU H J, JI Y F. Simultaneous removal of SO2 and NOx by microwave with potassium permanganate over zeolite[J]. Fuel Process Technol, 2009,90(2):324-329. doi: 10.1016/j.fuproc.2008.09.005

    3. [3]

      LIU Y X, ZHNAG J, SHENG C D. Simultaneous removal of NO and SO2 from coal-fired flue gas by UV/H2O2 advanced oxidation process[J]. Chem Eng J, 2010,162(3):1006-1011. doi: 10.1016/j.cej.2010.07.009

    4. [4]

      LIU Y X, ZHNAG J, PAN J F, TANG A K. Investigation on the removal of NO from SO2 containing simulated flue gas by an ultraviolet/fenton-like reaction[J]. Energy Fuels, 2012,26(9):5430-5436. doi: 10.1021/ef3008568

    5. [5]

      ADEWUYI Y G, KHAN N E. Modeling the ultrasonic cavitation-enhanced removal of nitrogen oxide in a bubble column reactor[J]. AIChE J, 2012,58(8):2397-2411. doi: 10.1002/aic.12751

    6. [6]

      GUO R T, PAN W G, ZHANG X B, REN J X. Removal of NO by using Fenton reagent solution in a lab-scale bubbling reactor[J]. Fuel, 2011,90(11):3295-3298. doi: 10.1016/j.fuel.2011.06.030

    7. [7]

      ZHAO Y, WEN X Y, GUO T X, ZHOU J H. Desulfurization and denitrogenation from flue gas using Fenton reagent[J]. Fuel Process Technol, 2014,128(10):54-60.  

    8. [8]

      ZHAO Y, YUAN B, SHEN Y, HAO R, YANG S. Simultaneous removal of NO and SO2 from flue gas using vaporized H2O2 catalyzed by nanoscale zero-valent iron[J]. Environ Sci Pollut R, 2018,25(25):1-12.  

    9. [9]

      LIU Y X, WANG Y. Elemental mercury removal from flue gas using heat and Co2+/Fe2+ coactivated oxone oxidation system[J]. Chem Eng J, 2018,348(15):464-475.

    10. [10]

      XU W, LIU Y X, WANG Q, ZHANG J, PAN J F. Removal of nitric oxide from flue gas using sulfate/hydroxyl radicals from activation of oxone with cobalt and high temperature[J]. Environ Prog Sustainable Energy, 2017,36(4):1013-1021. doi: 10.1002/ep.v36.4

    11. [11]

      LIU Y X, WANG Q. Removal of elemental mercury from flue gas by thermally activated ammonium persulfate in a bubble column reactor[J]. Environ Sci Technol, 2014,48(20):12181-12189. doi: 10.1021/es501966h

    12. [12]

      ADEWUYI Y G, OWUSU S O. Aqueous absorption and oxidation of nitric oxide with oxone for the treatment of tail gases:Process feasibility, stoichiometry, reaction pathways, and absorption rate[J]. Ind Eng Chem Res, 2003,42(17):4084-4100. doi: 10.1021/ie020709+

    13. [13]

      WU Y. Impinging Streams:Fundamentals, Properties, and Applications[M]. Amsterdam:Elsevier, 2007.

    14. [14]

      LIU Y X, WANG Y, YIN Y S, PAN J F, ZHANG J. Oxidation removal of nitric oxide from flue gas using ultraviolet light (UV) and heat coactivated oxone system[J]. Energy Fuels, 2018,32(2):1999-2008. doi: 10.1021/acs.energyfuels.7b03165

    15. [15]

      LIU Y X, WANG Y, YANG W, PAN Z H, WANG Q. Simultaneous oxidation-absorption of nitric oxide and sulfur dioxide using aqueous ammonium persulfate synergistically activated by UV-light and heat[J]. Chem Eng Res Des, 2018,130(2):321-333.  

    16. [16]

      ADEWUYI Y G, SAKYI N Y. Removal of nitric oxide by aqueous sodium persulfate simultaneously activated by temperature and Fe2+ in a lab-scale bubble reactor[J]. Ind Eng Chem Res, 2013,52(41):14687-14697. doi: 10.1021/ie4025177

    17. [17]

      ADEWUYI Y G, KHAN M A, SAKYI N Y. Kinetics and modeling of the removal of nitric oxide by aqueous sodium persulfate simultaneously activated by temperature and Fe2+[J]. Ind Eng Chem Res, 2014,53(2):828-839. doi: 10.1021/ie402801b

    18. [18]

      LIU Y X, WANG Y, WANG Q, PAN J F, ZHANG J. Simultaneous removal of NO and SO2 using vacuum ultraviolet light (VUV)/heat/peroxymonosulfate (PMS)[J]. Chemosphere, 2018,190(1):431-441.  

    19. [19]

      LIU Y X, XU W, PAN J F, WANG Q. Oxidative removal of NO from flue gas using ultrasound, Mn2+/Fe2+ and heat coactivation of oxone in an ultrasonic bubble reactor[J]. Chem Eng J, 2017,326(10):1166-1176.  

  • 加载中
    1. [1]

      CCS Chemistry | 超分子活化底物自由基促进高效选择性光催化氧化

      . CCS Chemistry, 2025, 7(10.31635/ccschem.025.202405229): -.

    2. [2]

      Ruoxi RUNJikai ZHULixia HANZhiyin XIAOXiujuan JIANGJing JIN . Red light-induced CO-release from manganese carbonyl complexes. Chinese Journal of Inorganic Chemistry, 2025, 41(12): 2575-2583. doi: 10.11862/CJIC.20250132

    3. [3]

      Yinjie XuSuiqin LiLihao LiuJiahui HeKai LiMengxin WangShuying ZhaoChun LiZhengbin ZhangXing ZhongJianguo Wang . Enhanced Electrocatalytic Oxidation of Sterols using the Synergistic Effect of NiFe-MOF and Aminoxyl Radicals. Acta Physico-Chimica Sinica, 2024, 40(3): 2305012-0. doi: 10.3866/PKU.WHXB202305012

    4. [4]

      Xinxin YUYongxing LIUXiaohong YIMiao CHANGFei WANGPeng WANGChongchen WANG . Photocatalytic peroxydisulfate activation for degrading organic pollutants over the zero-valent iron recovered from subway tunnels. Chinese Journal of Inorganic Chemistry, 2025, 41(5): 864-876. doi: 10.11862/CJIC.20240438

    5. [5]

      Yuan GAOYiming LIUChunhui WANGZhe HANChaoyue FANJie QIU . A hexanuclear cerium oxo cluster stabilized by furoate: Synthesis, structure, and remarkable ability to scavenge hydroxyl radicals. Chinese Journal of Inorganic Chemistry, 2025, 41(3): 491-498. doi: 10.11862/CJIC.20240271

    6. [6]

      Fa Wang Yu Chen Hui Chao . Ruthenium(II) Complexes as Photoactivated Chemo-Prodrugs for Hypoxic Tumor Therapy. University Chemistry, 2025, 40(7): 200-212. doi: 10.12461/PKU.DXHX202410024

    7. [7]

      Jianjun LIMingjie RENLili ZHANGLingling ZENGHuiling WANGXiangwu MENG . UV-assisted degradation of tetracycline hydrochloride by MnFe2O4@activated carbon activated persulfate. Chinese Journal of Inorganic Chemistry, 2024, 40(10): 1869-1880. doi: 10.11862/CJIC.20240187

    8. [8]

      Yongxin LIUXingchen LIHongjia LIUDanni LITao ZHANGXi CHEN . Enhancement effect of Fe3O4 conversion to MIL-100(Fe) on activation of persulfate for degradation of antibiotic. Chinese Journal of Inorganic Chemistry, 2025, 41(12): 2503-2513. doi: 10.11862/CJIC.20250169

    9. [9]

      Ning CHENJingle CHENHongyuan ZHUHuali CHENLiguang WUTing WANG . Mechanism and performance regulation of Co/Zr-doped mesoporous TiO2 catalysts in activating sodium persulfate for tetracycline degradation. Chinese Journal of Inorganic Chemistry, 2026, 42(3): 507-518. doi: 10.11862/CJIC.20250275

    10. [10]

      Ye WangRuixiang GeXiang LiuJing LiHaohong Duan . An Anion Leaching Strategy towards Metal Oxyhydroxides Synthesis for Electrocatalytic Oxidation of Glycerol. Acta Physico-Chimica Sinica, 2024, 40(7): 2307019-0. doi: 10.3866/PKU.WHXB202307019

    11. [11]

      Lei Shi . Nucleophilicity and Electrophilicity of Radicals. University Chemistry, 2024, 39(11): 131-135. doi: 10.3866/PKU.DXHX202402018

    12. [12]

      Min LIUHuapeng RUANZhongtao FENGXue DONGHaiyan CUIXinping WANG . Neutral boron-containing radical dimers. Chinese Journal of Inorganic Chemistry, 2025, 41(1): 123-130. doi: 10.11862/CJIC.20240362

    13. [13]

      Zhuo WANGJunshan ZHANGShaoyan YANGLingyan ZHOUYedi LIYuanpei LAN . Preparation and photocatalytic performance of CeO2-reduced graphene oxide by thermal decomposition. Chinese Journal of Inorganic Chemistry, 2024, 40(9): 1708-1718. doi: 10.11862/CJIC.20240067

    14. [14]

      Tianhao GESirong LUZhiyin XIAOWei ZHONG . Synthesis of porphyrin-based ionic polymeric materials for catalytic application in CO2 conversion. Chinese Journal of Inorganic Chemistry, 2026, 42(4): 722-736. doi: 10.11862/CJIC.20250312

    15. [15]

      Tongyan Yu Pan Xu . Visible-Light Photocatalyzed Radical Rearrangement Reaction. University Chemistry, 2025, 40(7): 169-176. doi: 10.12461/PKU.DXHX202409070

    16. [16]

      Chengpeng Liu Yinxia Fu . Design and Practice of Ideological and Political Education for the Public Elective Course “Life Chemistry Experiment” in Universities. University Chemistry, 2024, 39(10): 242-248. doi: 10.12461/PKU.DXHX202404064

    17. [17]

      Xue-Peng Zhang Yuchi Long Yushu Pan Jiding Wang Baoyu Bai Rui Ding . 定量构效关系方法学习探索:以钴卟啉活化氧气为例. University Chemistry, 2025, 40(8): 345-359. doi: 10.12461/PKU.DXHX202410107

    18. [18]

      Dan LUOXingcheng LIUDong LITong CHANG . Metal-support interaction effects on CO activation over Con/SiO2 catalysts. Chinese Journal of Inorganic Chemistry, 2025, 41(11): 2337-2344. doi: 10.11862/CJIC.20250003

    19. [19]

      Qu ZHANGTao WANGYinying WANGBo LIDongling WU . Synthesis of amino acid-functionalized nitrogen-doped carbon dots/cuprous oxidecomposite material and its performance in aqueous zinc-ion batteries. Chinese Journal of Inorganic Chemistry, 2026, 42(3): 488-498. doi: 10.11862/CJIC.20250272

    20. [20]

      Mengxiu LiJiahui MaoJiangfeng NiLiang Li . Three birds with one stone: modification of Li5FeO4 with thermal induction of Lewis acid. Acta Physico-Chimica Sinica, 2026, 42(4): 100189-0. doi: 10.1016/j.actphy.2025.100189

Metrics
  • PDF Downloads(7)
  • Abstract views(1435)
  • HTML views(154)

通讯作者: 陈斌, bchen63@163.com
  • 1. 

    沈阳化工大学材料科学与工程学院 沈阳 110142

  1. 本站搜索
  2. 百度学术搜索
  3. 万方数据库搜索
  4. CNKI搜索
Address:Zhongguancun North First Street 2,100190 Beijing, PR China Tel: +86-010-82449177-888
Powered By info@rhhz.net

/

DownLoad:  Full-Size Img  PowerPoint
Return