Citation: LI Bao-ru, YIN Xue-mei, WU Xu, AN Xia, XIE Xian-mei. Montmorillonite supported Ni-Fe catalysts for hydrogen production from steam reforming of ethanol[J]. Journal of Fuel Chemistry and Technology, ;2016, 44(8): 993-1000. shu

Montmorillonite supported Ni-Fe catalysts for hydrogen production from steam reforming of ethanol

  • Corresponding author: XIE Xian-mei, yxm6686@yeah.net
  • Received Date: 4 February 2016
    Revised Date: 12 May 2016

Figures(8)

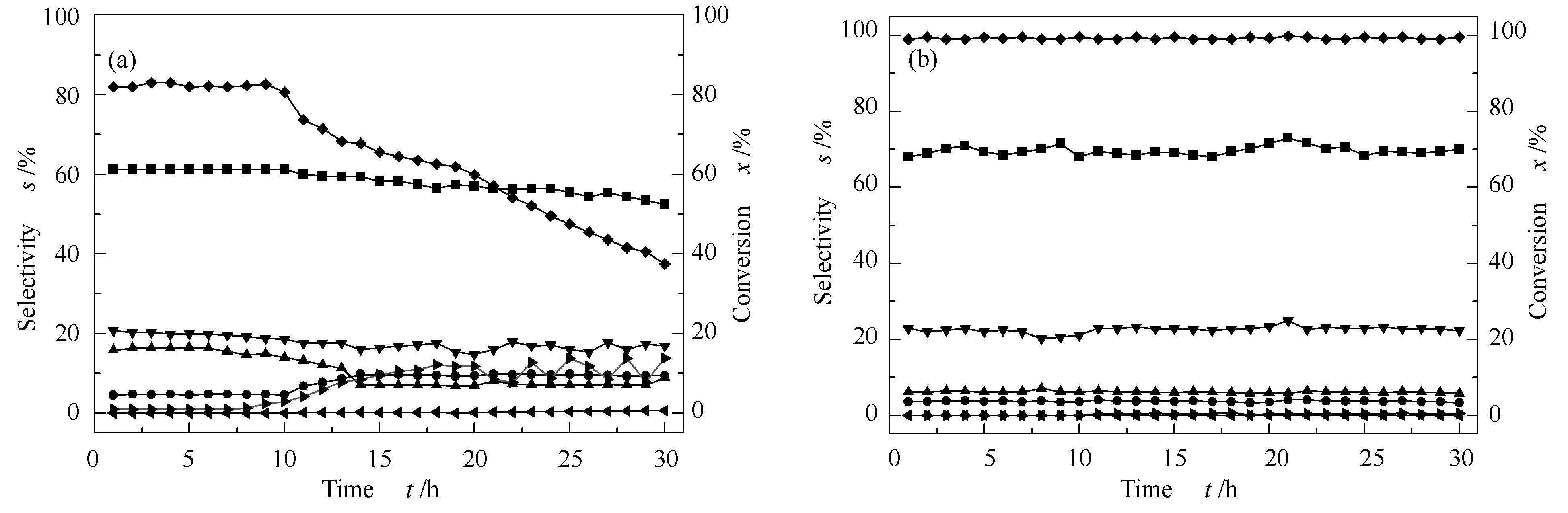
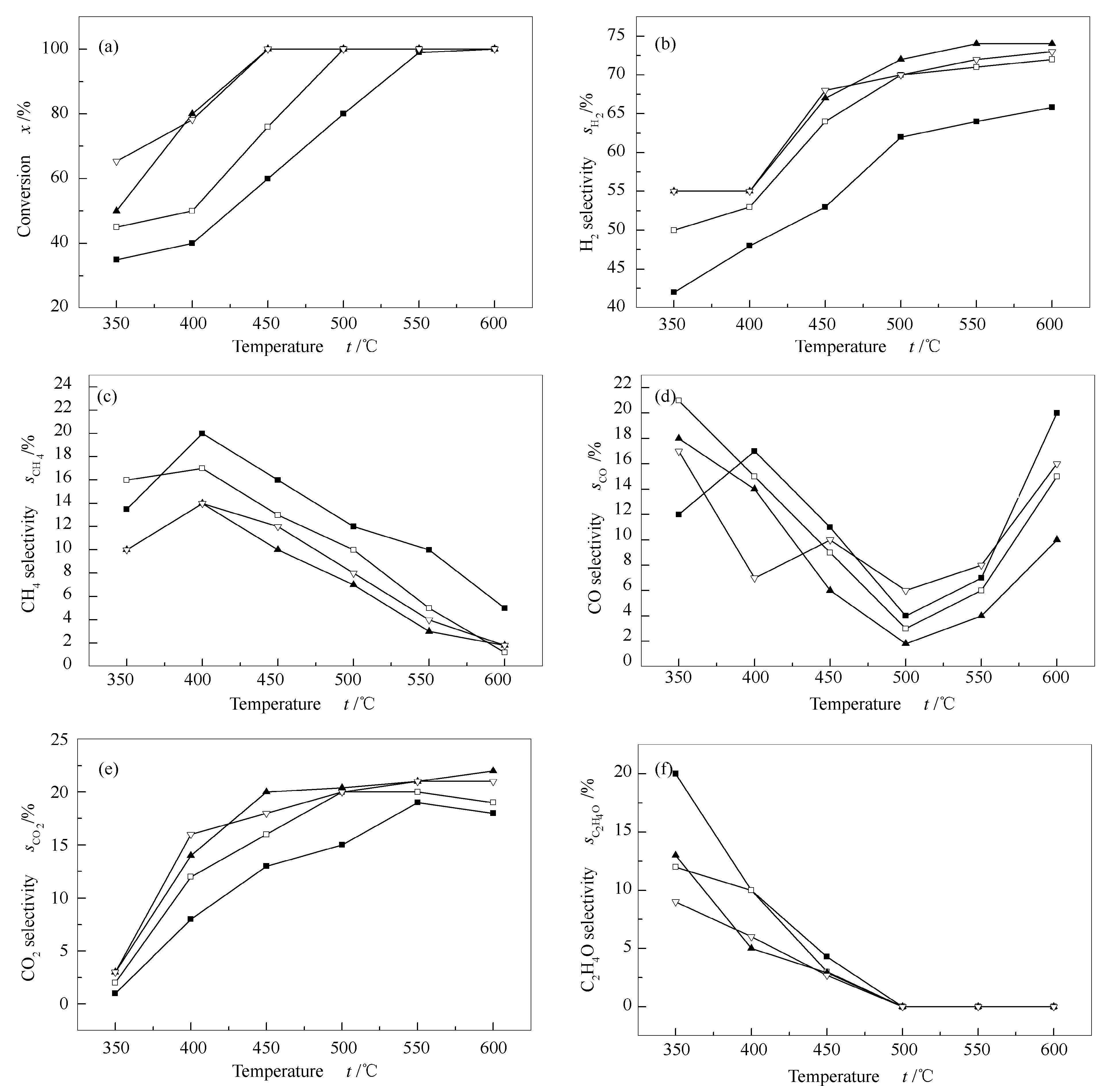
  • Ni-Fe/montmorillonite (MMT) catalysts were prepared by impregnation method for hydrogen production via ethanol steam reforming. The catalysts were characterized by XRD, H2-TPR, and N2 adsorption-desorption. It was found that Ni-Fe bimetallic catalysts exhibited higher activities and stability than single metallic catalysts due to the well dispersed Ni-Fe, small nickel crystallites and stronger interaction between Ni2+ and carrier. The conversion and selectivity were affected by the ratio of Ni to Fe. The 10Ni5Fe/MMT catalyst showed the optimum catalytic performance, its ethanol conversion was 100%, the selectivity of hydrogen gas remained at 72%, and selectivity of CO and CH4 were significantly decreased at 500℃ during 30h testing. This could be attributed to the promoter Fe, which improves the dispersion of Ni and results in a good ESR activity at low reaction temperature. Small Ni particles can suppress methane formation and Fe addition can enhance the methane reforming with water and water gas shift reaction, resulting in higher selectivity of hydrogen.
  • 加载中
    1. [1]

      MOMIRLAN M, VEZIROGLU T N. The properties of hydrogen as fuel tomorrow in sustainable energy system for a cleaner planet[J]. Int J Hydrogen Energy, 2005,30(7):795-802. doi: 10.1016/j.ijhydene.2004.10.011

    2. [2]

      GUO Kun, ZHANG Jing-jing, LI Hao-ran, DU Zhu-wei. Hydrogen production by microbial electrolysis cells[J]. Prog Chem, 2010,22(4):748-753.  

    3. [3]

      WEN Fu-yu, YANG Jin-hui, ZONG Xu, MA Yi, XU Qian, MA Bao-jun, LI Can. Photocatalytic hydrogen production utilizing solar energy[J]. Prog Chem, 2009,21(11):2285-2302.  

    4. [4]

      LI Hui-qing, ZOU Ji-jun, LIU Chang-jun. Progress in hydrogen generation using plasmas[J]. Prog Chem, 2005,17(1):69-77.  

    5. [5]

      WU Chuan, ZHANG Hua-min, YI Bao-lian. Recent advances in hydrogen generation with chemical methods[J]. Prog Chem, 2005,17(3):423-429.  

    6. [6]

      QI Ai-du.Study on hydrogen for methanol oxidation reforming[D].Dalian:Dalian Institute of Chemical Physics, Chinese Academy of Sciences, 1999.

    7. [7]

      DELUGA G A, SALGE J R, SCHMIDT L D, VERYKIOS X E. Renewable hydrogen from ethanol by auto-thermal reforming[J]. Science, 2004,303(5660):993-997. doi: 10.1126/science.1093045

    8. [8]

      CAVALLARO S, CHIODO V, FRENI S, MONDELLOA N, FRUSTERI F. Performance of Rh/Al2O3 catalyst in the steam reforming of ethanol:H2 production for MCFC[J]. Appl Catal A:Gen, 2003,249(1):119-128. doi: 10.1016/S0926-860X(03)00189-3

    9. [9]

      FRUSTERI F, FRENI S, SPADARO L, CHIODOA V, BONURAA G, DONATOA S, CAVALLARO S. H2 production for MC fuel cell by steam reforming of ethanol over MgO supported Pd, Rh, Ni and Co catalysts[J]. Catal Commun, 2004,5(10):611-615. doi: 10.1016/j.catcom.2004.07.015

    10. [10]

      WU Y J, SANTOS J C, LI P, YU J G, CUNHA A F, RODRIGUES A E. Simplified kinetic model for steam reforming of ethanol on a Ni/Al2O3 catalyst[J]. Can J Chem Eng, 2014,92(1):116-130. doi: 10.1002/cjce.v92.1

    11. [11]

      SUN J M, KARIM A M, MEI D H, ENGELHARD M, BAO X H, WANG Y. New insights into reaction mechanisms of ethanol steam reforming on Co-ZrO2[J]. App Catal B:Environ, 2015,162:141-148. doi: 10.1016/j.apcatb.2014.06.043

    12. [12]

      NI M, LEUNG D Y C, LEUNG M K H. A review on reforming bio-ethanol for hydrogen production[J]. Int J Hydrogen Energy, 2007,32(15):3238-3247. doi: 10.1016/j.ijhydene.2007.04.038

    13. [13]

      DAVDA R R, SHABAKER J W, HUBER G W, CORTRIGHT R D, DUMESIC J A. A review of catalytic issues and process conditions for renewable hydrogen and alkanes by aqueous-phase reforming of oxygenated hydrocarbons over supported metal catalysts[J]. App Catal B:Environ, 2005,56(1/2):171-186.

    14. [14]

      LIU Shao-wen, LI Yong-dan. Research proceeding for methane reforming for hydrogen[J]. J Wuhan Inst Chem Technol, 2005,27(1):20-24.  

    15. [15]

      CHEN Xing-quan, ZHAO Tian-sheng. Catalyst progress for CH4 reforming and CO2[J]. Ningxia Pet Chem Ind, 2003,22(1):15-17.  

    16. [16]

      ZHANG Bing-bing.Preparation, properties and applications of several eco-materials based on montmorillonite mineral[D].Inner Mongolia:Inner Mongolia University, 2013.

    17. [17]

      HU Z W, HE F H, LIU Y F, DONG C X, WU X M, ZHAO W. Effects of surfactant concentration on alkyl chain arrangements in dry and swollen organic montmorillonite[J]. Appl Clay Sci, 2013,75-76(5):134-140.

    18. [18]

      HUO Zheng-wen.Modification of montmorillonite and intercalated proton exchange membrane[D].Dalian:Dalian University of Technology, 2013.

    19. [19]

      KIM Y, WEI T, STULTZ J, GOODMAN D. Dissociation of water on a flat, ordered silica surface[J]. Langmuir, 2003,19(4):1140-1142. doi: 10.1021/la020734k

    20. [20]

      KIM S H, CHUNG J H, KIM Y T, HAN J, YOON S P, NAM S W, LIM T H, LEE H I. SiO2/Ni and CeO2/Ni catalysts for single-stage water gas shift reaction[J]. Int J Hydrogen Energy, 2010,35(7):3136-3140. doi: 10.1016/j.ijhydene.2009.09.091

    21. [21]

      SING K S W, EVERETT D H, HAUL R A W, MOSCOU L, PIEROTTI R A, ROUQUEROL J, SIEMIENIEWSKA T. Reporting physisorption data for gas/solid systems with special reference to the determination of surface area and porosity[J]. Pure Appl Chem, 1985,57(4):603-619.

    22. [22]

      SHI Qiu-jie, MA Hong-bo, PENG Zi-qing, CHEN Wei-qing, ZHANG Ning. La2O2CO3 supported Ni-Fe catalysts for hydrogen production from steam reforming of ethanol[J]. J Chin Rare Earth Soc, 2012,30(1):21-27. doi: 10.1016/S1002-0721(10)60631-X

    23. [23]

      YUAN P, FAN M, YANG D, HE H, LIU D, YUAN A, ZHU J, CHEN T. Montmorillonite-supported magnetite nanoparticles for the removal of hexavalent chromium[Cr (VI)]from aqueous solutions[J]. J Hazard Mater, 2009,166(2/3):821-829.

    24. [24]

      WU X S, KAWI S. Steam reforming of ethanol to H2 over Rh/Y2O3:Crucial roles of Y2O3 oxidizing ability, space velocity, and H2/C[J]. Energy Environ Sci, 2010,3:334-342. doi: 10.1039/b923978m

    25. [25]

      SÁNCHEZ E A, D'ANGELO M A, COMELLI R A. Hydrogen production from glycerol on Ni/Al2O3 catalyst[J]. Int J Hydrogen Energy, 2010,35(11):5902-5907. doi: 10.1016/j.ijhydene.2009.12.115

    26. [26]

      LEE M S, LEE J Y, LEE D W, DONG J M, LEE K Y. The effect of Zn addition into NiFe2O4catalyst for high temperature shift reaction of natural gas reformate assuming no external steam addition[J]. Int J Hydrogen Energy, 2012,37(15):11218-11226. doi: 10.1016/j.ijhydene.2012.04.130

    27. [27]

      MENG N, LEUNG D Y C, LEUNG M K H. A review on reforming bio-ethanol for hydrogen production[J]. Int J Hydrogen Energy, 2007,32(15):3238-3247. doi: 10.1016/j.ijhydene.2007.04.038

  • 加载中
    1. [1]

      Lele FengXueying BaiJifeng PangHongchen CaoXiaoyan LiuWenhao LuoXiaofeng YangPengfei WuMingyuan Zheng . Single-atom Pd boosted Cu catalysts for ethanol dehydrogenation. Acta Physico-Chimica Sinica, 2025, 41(9): 100100-0. doi: 10.1016/j.actphy.2025.100100

    2. [2]

      Yifan ZHAOQiyun MAOMeijing GUOGuoying ZHANGTongliang HU . Z-scheme bismuth-based multi-site heterojunction: Synthesis and hydrogen production from photocatalytic hydrogen production. Chinese Journal of Inorganic Chemistry, 2025, 41(7): 1318-1330. doi: 10.11862/CJIC.20250001

    3. [3]

      Xin FengKexin GuoChunguang JiaBowen LiuSuqin CiJunxiang ChenZhenhai Wen . Hydrogen Generation Coupling with High-Selectivity Electrocatalytic Glycerol Valorization into Formate in an Acid-Alkali Dual-Electrolyte Flow Electrolyzer. Acta Physico-Chimica Sinica, 2024, 40(5): 2303050-0. doi: 10.3866/PKU.WHXB202303050

    4. [4]

      Tong Zhou Liyi Xie Chuyu Liu Xiyan Zheng Bao Li . Between Sobriety and Intoxication: The Fascinating Journey of Sauce-Flavored Latte. University Chemistry, 2024, 39(9): 55-58. doi: 10.12461/PKU.DXHX202312048

    5. [5]

      Siwei Lv Tantian Tan Xinyue Li Siyan Zhang Mingyuan Zhang Minghao Li Hangshuo Guo Zhaorong Li Liangjie Dong Fengshuo Zhang Junlong Zhao . Competition of the “King of Transboundary Medicine”. University Chemistry, 2024, 39(9): 102-108. doi: 10.12461/PKU.DXHX202403034

    6. [6]

      Mingjie LeiWenting HuKexin LinXiujuan SunHaoshen ZhangYe QianTongyue KangXiulin WuHailong LiaoYuan PanYuwei ZhangDiye WeiPing Gao . Accelerating the reconstruction of NiSe2 by Co/Mn/Mo doping for enhanced urea electrolysis. Acta Physico-Chimica Sinica, 2025, 41(8): 100083-0. doi: 10.1016/j.actphy.2025.100083

    7. [7]

      Xue LiuLipeng WangLuling LiKai WangWenju LiuBiao HuDaofan CaoFenghao JiangJunguo LiKe Liu . Research on Cu-Based and Pt-Based Catalysts for Hydrogen Production through Methanol Steam Reforming. Acta Physico-Chimica Sinica, 2025, 41(5): 100049-0. doi: 10.1016/j.actphy.2025.100049

    8. [8]

      Xiaogang Liu Mengyu Chen Yanyan Li Xiantao Ma . Experimental Reform in Applied Chemistry for Cultivating Innovative Competence: A Case Study of Catalytic Hydrogen Production from Liquid Formaldehyde Reforming at Room Temperature. University Chemistry, 2025, 40(7): 300-307. doi: 10.12461/PKU.DXHX202408007

    9. [9]

      Mianfeng LiHaozhi WangZijun YangZexiang YinYuan LiuYingmei BianYang WangXuerong ZhengYida Deng . Synergistic enhancement of alkaline hydrogen evolution reaction by role of Ni-Fe LDH introducing frustrated Lewis pairs via vacancy-engineered. Chinese Chemical Letters, 2025, 36(3): 110199-. doi: 10.1016/j.cclet.2024.110199

    10. [10]

      Xinnan XIEBoyu ZHANGJianxun YANGYi ZHONGYounis OsamaJianxiao YANGXinchun YANG . Ultrafine platinum clusters achieved by metal-organic framework derived cobalt nanoparticle/porous carbon: Remarkable catalytic performance in dehydrogenation of ammonia borane. Chinese Journal of Inorganic Chemistry, 2025, 41(10): 2095-2102. doi: 10.11862/CJIC.20250025

    11. [11]

      Lixing LUShaoxian LIUJian XUZiqi JINJiongjia CHENGJiyang ZHAOFubo WANGHaiying WANG . [FeFe]-hydrogenase-containing compound and its photocatalytic H2-production performance. Chinese Journal of Inorganic Chemistry, 2025, 41(12): 2584-2590. doi: 10.11862/CJIC.20250200

    12. [12]

      Dingwen CHENSiheng YANGHaiyan FUHua CHENXueli ZHENGWeichao XUEJiaqi XURuixiang LI . NiOOH-mediated synthesis of gold nanoaggregates for electrocatalytic performance for selective oxidation of glycerol to glycolate. Chinese Journal of Inorganic Chemistry, 2025, 41(11): 2317-2326. doi: 10.11862/CJIC.20250053

    13. [13]

      Hao GUOTong WEIQingqing SHENAnqi HONGZeting DENGZheng FANGJichao SHIRenhong LI . Electrocatalytic decoupling of urea solution for hydrogen production by nickel foam-supported Co9S8/Ni3S2 heterojunction. Chinese Journal of Inorganic Chemistry, 2024, 40(11): 2141-2154. doi: 10.11862/CJIC.20240085

    14. [14]

      Yuchen ZhouHuanmin LiuHongxing LiXinyu SongYonghua TangPeng Zhou . Designing thermodynamically stable noble metal single-atom photocatalysts for highly efficient non-oxidative conversion of ethanol into high-purity hydrogen and value-added acetaldehyde. Acta Physico-Chimica Sinica, 2025, 41(6): 100067-0. doi: 10.1016/j.actphy.2025.100067

    15. [15]

      Junqing WENRuoqi WANGJianmin ZHANG . Regulation of photocatalytic hydrogen production performance in GaN/ZnO heterojunction through doping with Li and Au. Chinese Journal of Inorganic Chemistry, 2025, 41(5): 923-938. doi: 10.11862/CJIC.20240243

    16. [16]

      Yiping HUANGLiqin TANGYufan JICheng CHENShuangtao LIJingjing HUANGXuechao GAOXuehong GU . Hollow fiber NaA zeolite membrane for deep dehydration of ethanol solvent by vapor permeation. Chinese Journal of Inorganic Chemistry, 2025, 41(2): 225-234. doi: 10.11862/CJIC.20240224

    17. [17]

      Juan WANGZhongqiu WANGQin SHANGGuohong WANGJinmao LI . NiS and Pt as dual co-catalysts for the enhanced photocatalytic H2 production activity of BaTiO3 nanofibers. Chinese Journal of Inorganic Chemistry, 2024, 40(9): 1719-1730. doi: 10.11862/CJIC.20240102

    18. [18]

      Qingqing SHENXiangbowen DUKaicheng QIANZhikang JINZheng FANGTong WEIRenhong LI . Self-supporting Cu/α-FeOOH/foam nickel composite catalyst for efficient hydrogen production by coupling methanol oxidation and water electrolysis. Chinese Journal of Inorganic Chemistry, 2024, 40(10): 1953-1964. doi: 10.11862/CJIC.20240028

    19. [19]

      Yongmei Liu Lisen Sun Yongmei Hao Zhanxiang Liu Shuyong Zhang . Innovative Design of Chemistry Experiment Courses with Ideological and Political Education: A Case Study of Catalytic Hydrogen Production Experiments. University Chemistry, 2025, 40(5): 224-229. doi: 10.12461/PKU.DXHX202412144

    20. [20]

      Asif Hassan RazaShumail FarhanZhixian YuYan Wu . Double S-Scheme ZnS/ZnO/CdS Heterostructure Photocatalyst for Efficient Hydrogen Production. Acta Physico-Chimica Sinica, 2024, 40(11): 2406020-0. doi: 10.3866/PKU.WHXB202406020

Metrics
  • PDF Downloads(1)
  • Abstract views(2654)
  • HTML views(1203)

通讯作者: 陈斌, bchen63@163.com
  • 1. 

    沈阳化工大学材料科学与工程学院 沈阳 110142

  1. 本站搜索
  2. 百度学术搜索
  3. 万方数据库搜索
  4. CNKI搜索
Address:Zhongguancun North First Street 2,100190 Beijing, PR China Tel: +86-010-82449177-888
Powered By info@rhhz.net

/

DownLoad:  Full-Size Img  PowerPoint
Return