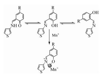
Syntheses and Properties of Three Schiff Bases Containing Salicylaldehyde Units
- Corresponding author: Lu Yun, yunlu@nju.edu.cn
Citation:
Cao Yi, Lu Yun. Syntheses and Properties of Three Schiff Bases Containing Salicylaldehyde Units[J]. Chemistry,
;2017, 80(6): 539-543.
C Niu, L Zhao, T Fang et al. Langmuir, 2014, 30(9):2351~2359.
V Béreau, C Duhayon, J P Sutter. Chem. Commun., 2014, 50(81):12061~12064.
I AAiad, N A Negm. J. Surfact. Deterg., 2009, 12(4):313~319.
S Dalapati, S Jana, M Alam et al. Sens. Actuat. B, 2011, 160(1):1106~1111.
R Martínez, A Espinosa, A Tárragaet al. Org. Lett., 2005, 7(26):5869~5872.
J T Yeh, W C Chen, S R Liu et al. New J. Chem., 2014, 38(9):4434~4439.
T Mutai, H Tomoda, T Ohkawa et al. Angew. Chem., 2008, 120:9664~9666.
S Park, S Kim, J Seo et al. Macromol. Res., 2008, 16(5):385~395.
J E Kwon, S Lee, Y You et al. Inorg. Chem., 2012, 51:8760~8774.
J Jayabharathi, V Kalaiarasi, V Thanikachalam et al. J. Fluoresc., 2014, 24(2):625~637.
G Liu, B L Li, J Shao. J. Incl. Phenom. Macrocycl. Chem., 2013, 78(1):97~102.
M B R Bastos, J C Moreira, P A M Farrias. J. Anal. Chim. Acta, 2000, 408:83.
J Wu, W Liu, J Ge et al. Chem. Soc. Rev., 2011, 40:3483~3495.
F Qi, Y Li, L Wang et al. Chem. Commun., 2016, 52:3123~3126.
Xiaotong LU , Pan ZHANG , Zijie ZHAO , Lei HUANG , Hongwei ZUO , Lili LIANG . Antitumor and antibacterial activities of pyridyl Schiff base indium and dysprosium complexes. Chinese Journal of Inorganic Chemistry, 2025, 41(8): 1523-1532. doi: 10.11862/CJIC.20250073
Qiaowen CHANG , Ke ZHANG , Guangying HUANG , Nuonan LI , Weiping LIU , Fuquan BAI , Caixian YAN , Yangyang FENG , Chuan ZUO . Syntheses, structures, and photo-physical properties of iridium phosphorescent complexes with phenylpyridine derivatives bearing different substituting groups. Chinese Journal of Inorganic Chemistry, 2025, 41(2): 235-244. doi: 10.11862/CJIC.20240311
Jinlong YAN , Weina WU , Yuan WANG . A simple Schiff base probe for the fluorescent turn-on detection of hypochlorite and its biological imaging application. Chinese Journal of Inorganic Chemistry, 2024, 40(9): 1653-1660. doi: 10.11862/CJIC.20240154
Qilin YU , Yifei XU , Pengjun ZHANG , Shuwei HAO , Chongqiang ZHU , Chunhui YANG . Effect of regulating K+/Na+ ratio on the structure and optical properties of double perovskite Cs2NaBiCl6: Mn2+. Chinese Journal of Inorganic Chemistry, 2025, 41(6): 1058-1067. doi: 10.11862/CJIC.20240418
Yanyang Li , Zongpei Zhang , Kai Li , Shuangquan Zang . Ideological and Political Design for the Comprehensive Experiment of the Synthesis and Aggregation-Induced Emission (AIE) Performance Study of Salicylaldehyde Schiff-Base. University Chemistry, 2024, 39(2): 105-109. doi: 10.3866/PKU.DXHX202307020
Jing WU , Puzhen HUI , Huilin ZHENG , Pingchuan YUAN , Chunfei WANG , Hui WANG , Xiaoxia GU . Synthesis, crystal structures, and antitumor activities of transition metal complexes incorporating a naphthol-aldehyde Schiff base ligand. Chinese Journal of Inorganic Chemistry, 2024, 40(12): 2422-2428. doi: 10.11862/CJIC.20240278
Maitri Bhattacharjee , Rekha Boruah Smriti , R. N. Dutta Purkayastha , Waldemar Maniukiewicz , Shubhamoy Chowdhury , Debasish Maiti , Tamanna Akhtar . Synthesis, structural characterization, bio-activity, and density functional theory calculation on Cu(Ⅱ) complexes with hydrazone-based Schiff base ligands. Chinese Journal of Inorganic Chemistry, 2024, 40(7): 1409-1422. doi: 10.11862/CJIC.20240007
Yuanyu YANG , Jianhua XUE , Yujia BAI , Lulu CUI , Dongdong YANG , Qi MA . Design, synthesis, and detection of Al3+ of two zinc complexes based on Schiff base ligands. Chinese Journal of Inorganic Chemistry, 2025, 41(6): 1207-1216. doi: 10.11862/CJIC.20250005
Xin MA , Ya SUN , Na SUN , Qian KANG , Jiajia ZHANG , Ruitao ZHU , Xiaoli GAO . A Tb2 complex based on polydentate Schiff base: Crystal structure, fluorescence properties, and biological activity. Chinese Journal of Inorganic Chemistry, 2024, 40(7): 1347-1356. doi: 10.11862/CJIC.20230357
Bin SUN , Heyan JIANG . Glucose-modified bis-Schiff bases: Synthesis and bio-activities in Alzheimer′s disease therapy. Chinese Journal of Inorganic Chemistry, 2025, 41(7): 1338-1350. doi: 10.11862/CJIC.20240428
Yaqin Zheng , Lian Zhuo , Meng Li , Chunying Rong . Enhancing Understanding of the Electronic Effect of Substituents on Benzene Rings Using Quantum Chemistry Calculations. University Chemistry, 2025, 40(3): 193-198. doi: 10.12461/PKU.DXHX202406119
Haitao Wang , Lianglang Yu , Jizhou Jiang , Arramel , Jing Zou . S-Doping of the N-Sites of g-C3N4 to Enhance Photocatalytic H2 Evolution Activity. Acta Physico-Chimica Sinica, 2024, 40(5): 2305047-0. doi: 10.3866/PKU.WHXB202305047
Zhiwen HUANG , Qi LIU , Jianping LANG . W/Cu/S cluster-based supramolecular macrocycles and their third-order nonlinear optical responses. Chinese Journal of Inorganic Chemistry, 2025, 41(1): 79-87. doi: 10.11862/CJIC.20240184
Yi DING , Peiyu LIAO , Jianhua JIA , Mingliang TONG . Structure and photoluminescence modulation of silver(Ⅰ)-tetra(pyridin-4-yl)ethene metal-organic frameworks by substituted benzoates. Chinese Journal of Inorganic Chemistry, 2025, 41(1): 141-148. doi: 10.11862/CJIC.20240393
Yujie WANG , Laobang WANG , Zheng ZHANG , Qi LIU , Jianping LANG . Construction of W/Cu/S cluster-based supramolecular compounds via alkynyl/sulfur cycloaddition and their third-order nonlinear optical properties. Chinese Journal of Inorganic Chemistry, 2025, 41(10): 2069-2077. doi: 10.11862/CJIC.20250129
Qi Wang , Yicong Gao , Feng Lu , Quli Fan . Preparation and Performance Characterization of the Second Near-Infrared Phototheranostic Probe: A New Design and Teaching Practice of Polymer Chemistry Comprehensive Experiment. University Chemistry, 2024, 39(11): 342-349. doi: 10.12461/PKU.DXHX202404141
Limei CHEN , Mengfei ZHAO , Lin CHEN , Ding LI , Wei LI , Weiye HAN , Hongbin WANG . Preparation and performance of paraffin/alkali modified diatomite/expanded graphite composite phase change thermal storage material. Chinese Journal of Inorganic Chemistry, 2024, 40(3): 533-543. doi: 10.11862/CJIC.20230312
Yuhao SUN , Qingzhe DONG , Lei ZHAO , Xiaodan JIANG , Hailing GUO , Xianglong MENG , Yongmei GUO . Synthesis and antibacterial properties of silver-loaded sod-based zeolite. Chinese Journal of Inorganic Chemistry, 2024, 40(4): 761-770. doi: 10.11862/CJIC.20230169
Yihan Xue , Xue Han , Jie Zhang , Xiaoru Wen . NCQDs修饰FeOOH基复合材料的制备及其电容脱盐性能. Acta Physico-Chimica Sinica, 2025, 41(7): 100072-0. doi: 10.1016/j.actphy.2025.100072
Doudou Qin , Junyang Ding , Chu Liang , Qian Liu , Ligang Feng , Yang Luo , Guangzhi Hu , Jun Luo , Xijun Liu . Addressing Challenges and Enhancing Performance of Manganese-based Cathode Materials in Aqueous Zinc-Ion Batteries. Acta Physico-Chimica Sinica, 2024, 40(10): 2310034-0. doi: 10.3866/PKU.WHXB202310034
(a) SB1, (b)SB2, (c)SB3; (d)SB1, λem=425nm; (e)SB2, λem=480nm; (f)SB3, λem=420nm
(a、b):SB1;(c、d):SB3