Citation: WANG Ting-ting, LI Yang, JIN Li-jun, WANG De-chao, YAO De-meng, HU Hao-quan. Upgrading of coal tar with steam catalytic cracking over Al/Ce and Al/Zr co-doped Fe2O3 catalysts[J]. Journal of Fuel Chemistry and Technology, ;2019, 47(3): 287-296. shu

Upgrading of coal tar with steam catalytic cracking over Al/Ce and Al/Zr co-doped Fe2O3 catalysts

  • Corresponding author: HU Hao-quan, hhu@dlut.edu.cn
  • Received Date: 15 November 2018
    Revised Date: 17 January 2019

    Fund Project: The project was supported by the Joint Fund of Coal-based Low Carbon by NSFC and Shanxi Provincial Government of China (U1710105), and the National Key R&D Program of China (2016YFB0600301)the Joint Fund of Coal-based Low Carbon by NSFC and Shanxi Provincial Government of China U1710105the National Key R&D Program of China 2016YFB0600301

Figures(9)

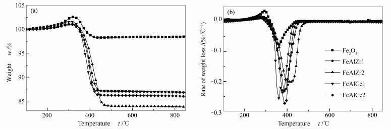
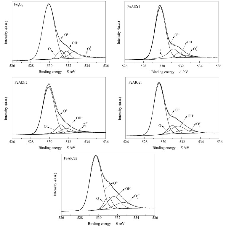
  • The upgrading of coal tar by means of steam catalytic cracking (SCC) is a promising method. In this study, Al/Ce and Al/Zr co-doped Fe2O3 catalysts were prepared and used for SCC of coal tar for improving the light tar yield. The SCC was conducted at 550 ℃ for 1 h. It was found that the crystal size decreased over doped Fe2O3 catalysts, and the pore volume and specific surface area increased. XPS analysis showed that lattice oxygen was the majority oxygen species and doping can increased the O- concentration. It was shown that Al/Ce and Al/Zr co-doped Fe2O3 could improve the catalytic activity of Fe2O3. The light tar yield over FeAlZr1, FeAlZr2, FeAlCe1 and FeAlCe2 were 63.2%, 58.1%, 60.2% and 55.1%, respectively, higher than that on Fe2O3 being 49.7%. The oxygen species from steam dissociation and Fe2O3 could take part in the upgrading of coal tar. It was revealed that the specific surface area and the O- on the Fe2O3 catalysts were the primary factors in determining the SCC performance.
  • 加载中
    1. [1]

      SONOYAMA N, NOBUTA K, KIMURA T, HOSOKAI S, HAYASHI J, TAGO T, MASUDA T. Production of chemicals by cracking pyrolytic tar from Loy Yang coal over iron oxide catalysts in a steam atmosphere[J]. Fuel Process Technol, 2011,92(4):771-775. doi: 10.1016/j.fuproc.2010.09.036

    2. [2]

      SCHOBERT H H, SONG C. Chemicals and materials from coal in the 21st century[J]. Fuel, 2002,81(1):15-32.  

    3. [3]

      ZHANG C, WU R C, XU G W. Coal pyrolysis for high-quality tar in a fixed-bed pyrolizer enhanced with internals[J]. Energy Fuels, 2014,28(1):236-244. doi: 10.1021/ef401546n

    4. [4]

      JIN L J, BAI X Y, YANG L, DONG C, HU H Q, LI X. In-situ catalytic upgrading of coal pyrolysis tar on carbon-based catalyst in a fixed-bed reactor[J]. Fuel Process Technol, 2016,147:41-46. doi: 10.1016/j.fuproc.2015.12.028

    5. [5]

      ZHOU Q, ZOU T, ZHONG M, ZHANG Y M, WU R C, GAO S Q, XU G W. Lignite upgrading by multi-stage fluidized bed pyrolysis[J]. Fuel Process Technol, 2013,116:35-43. doi: 10.1016/j.fuproc.2013.04.022

    6. [6]

      HAN L N, ZHANG R, BI J C. Upgrading of coal-tar pitch in supercritical water[J]. J Fuel Chem Technol, 2008,36(1):1-5.  

    7. [7]

      KHALIL U, MURAZA O, KONDOH H, WATANABE G, NAKASAKA Y, AL-AMER A, MASUDA T. Production of lighter hydrocarbons by steam-assisted catalytic cracking of heavy oil over Silane-treated Beta Zeolite[J]. Energy Fuels, 2016,30(2):1304-1309.  

    8. [8]

      KONDOH H, TANAKA K, NAKASAKA Y, TAGO T, MASUDA T. Catalytic cracking of heavy oil over TiO2-ZrO2 catalysts under superheated steam conditions[J]. Fuel, 2016,167:288-294. doi: 10.1016/j.fuel.2015.11.075

    9. [9]

      LEE H S, NGUYEN-HUY C, PHAM T T, SHIN E W. ZrO2-impregnated red mud as a novel catalyst for steam catalytic cracking of vacuum residue[J]. Fuel, 2016,165:462-467. doi: 10.1016/j.fuel.2015.10.083

    10. [10]

      KONDOH H, NAKASAKA Y, KITAGUCHI T, YOSHIKAWA T, TAGO T, MASUDA T. Upgrading of oil sand bitumen over an iron oxide catalyst using sub-and super-critical water[J]. Fuel Process Technol, 2016,145:96-101. doi: 10.1016/j.fuproc.2016.01.030

    11. [11]

      GONG X M, WANG Z, LI S G, SONG W L, LIN W G. Coal pyrolysis in a laboratory-scale two-stage reactor:Catalytic upgrading of pyrolytic vapors[J]. Chem Eng Technol, 2014,37(12):2135-2142. doi: 10.1002/ceat.201300748

    12. [12]

      FUNAI S, FUMOTO E, TAGO T, MASUDA T. Recovery of useful lighter fuels from petroleum residual oil by oxidative cracking with steam using iron oxide catalyst[J]. Chem Eng Sci, 2010,65(1):60-65. doi: 10.1016/j.ces.2009.03.028

    13. [13]

      YAMAMOTO S, KENDELEWICZ T, NEWBERG J T, KETTELER G, STARR D E, MYSAK E R, ANDERSSON K J, OGASAWARA H, BLUHM H, SALMERON M, JR BROWN G E, NILSSON A. Water adsorption on α-Fe2O3 (0001) at near ambient conditions[J]. J Phys Chem C, 2010,114:2256-2266. doi: 10.1021/jp909876t

    14. [14]

      FUMOTO E, MATSUMURA A, SATO S, TAKANOHASHI T. Recovery of lighter fuels by cracking heavy oil with zirconia-alumina-iron oxide catalysts in a steam atmosphere[J]. Energy Fuels, 2009,23(1):1338-1341.  

    15. [15]

      HUANG L, TANG M C, FAN M H, FAN M H, CHEN H S. Density functional theory study on the reaction between hematite and methane during chemical looping process[J]. Appl Energy, 2015,159:132-144. doi: 10.1016/j.apenergy.2015.08.118

    16. [16]

      WANG T T, LI Y, JIN L J, WANG D C, HU H Q. Steam catalytic cracking of coal tar over iron-containing mixed metal oxides[J]. Can J Chem Eng, 2019,97(3):702-708. doi: 10.1002/cjce.v97.3

    17. [17]

      DONG C, JIN L J, LI Y, ZHOU Y, ZOU L, HU H Q. Integrated process of coal pyrolysis with steam reforming of methane for improving the tar yield[J]. Energy Fuels, 2014,28(12):7377-7384. doi: 10.1021/ef501796a

    18. [18]

      WANG D C, JIN L J, LI Y, YAO D M, WANG J F, HU H Q. Upgrading of vacuum residue with chemical looping partial oxidation over Ce doped Fe2O3[J]. Energy, 2018,162:542-553. doi: 10.1016/j.energy.2018.08.038

    19. [19]

      NEWNHAM J, MANTRI K, AMIN M H, TARDIO J, BHARGAVA S K. Highly stable and active Ni-mesoporous alumina catalysts for dry reforming of methane[J]. Int J Hydrogen Energy, 2012,37(2):1454-1464. doi: 10.1016/j.ijhydene.2011.10.036

    20. [20]

      WANG D C, JIN L J, LI Y, HU H Q. Partial oxidation of vacuum residue over Al and Zr-doped α-Fe2O3 catalysts[J]. Fuel, 2017,210:803-810. doi: 10.1016/j.fuel.2017.09.008

    21. [21]

      STELMACHOWSKI P, KOPACZ A, LEGUTKO P, INDYKA P, WOJTASIK M, ZIEMIANSKI L, ZAK G, SOJKA Z, KOTARBA A. The role of crystallite size of iron oxide catalyst for soot combustion[J]. Catal Today, 2015,257:111-116. doi: 10.1016/j.cattod.2015.02.018

    22. [22]

      ZHU X, LI K Z, WEI Y G, WANG H, SUN L Y. Chemical-looping steam methane reforming over a CeO2-Fe2O3 oxygen carrier:Evolution of its structure and reducibility[J]. Energy Fuels, 2014,28(2):754-760. doi: 10.1021/ef402203a

    23. [23]

      LIU Y, WEN C, GUO Y, LU G Z, WANG Y Q. Modulated CO oxidation activity of M-doped Ceria (M=Cu, Ti, Zr, and Tb):Role of the Pauling electronegativity of M[J]. J Phys Chem C, 2010,114(21):9889-9897. doi: 10.1021/jp101939v

    24. [24]

      HAN X, YU Y B, HE H. Oxidative steam reforming of ethanol over Rh catalyst supported on Ce1-xLaxOy (x=0.3) solid solution prepared by urea co-precipitation method[J]. J Power Sources, 2013,238:57-64. doi: 10.1016/j.jpowsour.2013.03.032

    25. [25]

      TABATA K, KAWABE T, YAMAGUCHI Y, NAGASAWA Y. Chemisorbed oxygen species over the (110) face of SnO2[J]. Catal Surv Asia, 2003,7(4):251-259. doi: 10.1023/B:CATS.0000008164.21582.92

    26. [26]

      YAMAGUCHI Y, NAGASAWA Y, SHIMOMURA S, TABATA K, SUZUKI E. A density functional theory study of the interaction of oxygen with a reduced SnO2 (110) surface[J]. Chem Phys Lett, 2000,316(5/6):477-482.  

    27. [27]

      ARONNIEMI M, SAINIO J, LAHTINEN J. XPS study on the correlation between chemical state and oxygen-sensing properties of an iron oxide thin film[J]. Appl Surf Sci, 2007,253(24):9476-9482. doi: 10.1016/j.apsusc.2007.06.007

    28. [28]

      KAWABE T, SHIMOMURA S, KARASUDA T, TABATA K, SUZUKI E, YAMAGUCHI Y. Photoemission study of dissociatively adsorbed methane on a pre-oxidized SnO2 thin film[J]. Surf Sci, 2000,448(2):101-107.  

    29. [29]

      PURON H, ARRILLAGA P, CHIN K K, PINILLA J L, FIDALGO B, MILLA M. Kinetic analysis of vacuum residue hydrocracking in early reaction stages[J]. Fuel, 2014,117:408-414. doi: 10.1016/j.fuel.2013.09.053

    30. [30]

      CAPRARⅡS B, BRACCIALE M P, FILIPPIS P D, HERNANDEZ A D, PETRULLO A, SCARSELLA M. Steam reforming of tar model compounds over in supported on CeO2 and mayenite[J]. Can J Chem Eng, 2017,95:1745-1751. doi: 10.1002/cjce.v95.9

    31. [31]

      TOMISHIGE K, LI D L, TAMURA M, NAKAGAWA Y. Nickel-iron alloy catalysts for reforming of hydrocarbons:Preparation, structure, and catalytic properties[J]. Catal Sci Technol, 2017,7(18):3952-3979. doi: 10.1039/C7CY01300K

    32. [32]

      HUY C N, SHIN E W. Amelioration of catalytic activity in steam catalytic cracking of vacuum residue with ZrO2-impregnated macro-mesoporous red mud[J]. Fuel, 2016,179:17-24. doi: 10.1016/j.fuel.2016.03.062

  • 加载中
    1. [1]

      Haojie DuanHejingying NiuLina GanXiaodi DuanShuo ShiLi Li . Reinterpret the heterogeneous reaction of α-Fe2O3 and NO2 with 2D-COS: The role of SDS, UV and SO2. Chinese Chemical Letters, 2024, 35(6): 109038-. doi: 10.1016/j.cclet.2023.109038

    2. [2]

      Ruiying Liu Li Zhao Baishan Liu Jiayuan Yu Yujie Wang Wanqiang Yu Di Xin Chaoqiong Fang Xuchuan Jiang Riming Hu Hong Liu Weijia Zhou . Modulating pollutant adsorption and peroxymonosulfate activation sites on Co3O4@N,O doped-carbon shell for boosting catalytic degradation activity. Chinese Journal of Structural Chemistry, 2024, 43(8): 100332-100332. doi: 10.1016/j.cjsc.2024.100332

    3. [3]

      Kai Han Guohui Dong Ishaaq Saeed Tingting Dong Chenyang Xiao . Morphology and photocatalytic tetracycline degradation of g-C3N4 optimized by the coal gangue. Chinese Journal of Structural Chemistry, 2024, 43(2): 100208-100208. doi: 10.1016/j.cjsc.2023.100208

    4. [4]

      Cailiang YueNan SunYixing QiuLinlin ZhuZhiling DuFuqiang Liu . A direct Z-scheme 0D α-Fe2O3/TiO2 heterojunction for enhanced photo-Fenton activity with low H2O2 consumption. Chinese Chemical Letters, 2024, 35(12): 109698-. doi: 10.1016/j.cclet.2024.109698

    5. [5]

      Ning LiuMan TianYe ZhangJinming YangZhihao WangWangxi DaiGuixiang QuanJianqiu LeiXiaodong ZhangLiang Tang . Three-dimensional MIL-88A(Fe)-derived α-Fe2O3 and graphene composite for efficient photo-Fenton-like degradation of ciprofloxacin. Chinese Chemical Letters, 2025, 36(12): 111063-. doi: 10.1016/j.cclet.2025.111063

    6. [6]

      Qinwen ZhengXin LiuLintao TianYi ZhouLibing LiaoGuocheng Lv . Mechanism of Fenton catalytic degradation of Rhodamine B induced by microwave and Fe3O4. Chinese Chemical Letters, 2025, 36(4): 109771-. doi: 10.1016/j.cclet.2024.109771

    7. [7]

      Huyi Yu Renshu Huang Qian Liu Xingfa Chen Tianqi Yu Haiquan Wang Xincheng Liang Shibin Yin . Te-doped Fe3O4 flower enabling low overpotential cycling of Li-CO2 batteries at high current density. Chinese Journal of Structural Chemistry, 2024, 43(3): 100253-100253. doi: 10.1016/j.cjsc.2024.100253

    8. [8]

      Jun DongSenyuan TanSunbin YangYalong JiangRuxing WangJian AoZilun ChenChaohai ZhangQinyou AnXiaoxing Zhang . Spatial confinement of free-standing graphene sponge enables excellent stability of conversion-type Fe2O3 anode for sodium storage. Chinese Chemical Letters, 2025, 36(3): 110010-. doi: 10.1016/j.cclet.2024.110010

    9. [9]

      Yaping ZHANGTongchen WUYun ZHENGBizhou LIN . Z-scheme heterojunction β-Bi2O3 pillared CoAl layered double hydroxide nanohybrid: Fabrication and photocatalytic degradation property. Chinese Journal of Inorganic Chemistry, 2025, 41(3): 531-539. doi: 10.11862/CJIC.20240256

    10. [10]

      Xiaodan WangYingnan LiuZhibin LiuZhongjian LiTao ZhangYi ChengLecheng LeiBin YangYang Hou . Highly efficient electrosynthesis of H2O2 in acidic electrolyte on metal-free heteroatoms co-doped carbon nanosheets and simultaneously promoting Fenton process. Chinese Chemical Letters, 2024, 35(7): 108926-. doi: 10.1016/j.cclet.2023.108926

    11. [11]

      Xuehua SUNMin MAJianting LIURui TIANHongmei CHAIHuali CUILoujun GAO . Pr/N co-doped biomass carbon dots with enhanced fluorescence for efficient detection of 2,4-dinitrophenylhydrazine. Chinese Journal of Inorganic Chemistry, 2025, 41(3): 561-573. doi: 10.11862/CJIC.20240294

    12. [12]

      Ming XuTeng DengChenzhaosha LiHongyang ZhaoJuan WangYatao LiuJianan WangGuodong FengNa LiShujiang DingKai Xi . Oxygen deficient Eu2O3−δ synchronizes the shielding and catalytic conversion of polysulfides toward high-performance lithium sulfur batteries. Chinese Chemical Letters, 2025, 36(10): 110372-. doi: 10.1016/j.cclet.2024.110372

    13. [13]

      Guanyang Zeng Xingqiang Liu Liangqiao Wu Zijie Meng Debin Zeng Changlin Yu . Novel visible-light-driven I- doped Bi2O2CO3 nano-sheets fabricated via an ion exchange route for dye and phenol removal. Chinese Journal of Structural Chemistry, 2024, 43(12): 100462-100462. doi: 10.1016/j.cjsc.2024.100462

    14. [14]

      Yifen HeChao QuNa RenDawei Liang . Enhanced degradation of refractory organics in ORR-EO system with a blue TiO2 nanotube array modified Ti-based Ni-Sb co-doped SnO2 anode. Chinese Chemical Letters, 2024, 35(8): 109262-. doi: 10.1016/j.cclet.2023.109262

    15. [15]

      Tian TIANMeng ZHOUJiale WEIYize LIUYifan MOYuhan YEWenzhi JIABin HE . Ru-doped Co3O4/reduced graphene oxide: Preparation and electrocatalytic oxygen evolution property. Chinese Journal of Inorganic Chemistry, 2025, 41(2): 385-394. doi: 10.11862/CJIC.20240298

    16. [16]

      Xiping DongXuan WangZhixiu LuQinhao ShiZhengyi YangXuan YuWuliang FengXingli ZouYang LiuYufeng Zhao . Construction of Cu-Zn Co-doped layered materials for sodium-ion batteries with high cycle stability. Chinese Chemical Letters, 2024, 35(5): 108605-. doi: 10.1016/j.cclet.2023.108605

    17. [17]

      Junmei FANWei LIURuitao ZHUChenxi QINXiaoling LEIHaotian WANGJiao WANGHongfei HAN . High sensitivity detection of baicalein by N, S co-doped carbon dots and their application in biofluids. Chinese Journal of Inorganic Chemistry, 2024, 40(10): 2009-2020. doi: 10.11862/CJIC.20240120

    18. [18]

      Hangwen ZhengZiqian WangHuiJie ZhangJing LeiRihui LiJian YangHaiyan Wang . Synthesis and applications of B, N co-doped carbons for zinc-based energy storage devices. Chinese Chemical Letters, 2025, 36(3): 110245-. doi: 10.1016/j.cclet.2024.110245

    19. [19]

      Yanhui LuChengang PeiWenqiang LiQing LiuHuan PangXu Yu . Tailoring active sites of cerium and nitrogen Co-doped rhenium disulfide for enhanced hydrogen evolution reaction. Chinese Chemical Letters, 2025, 36(12): 111646-. doi: 10.1016/j.cclet.2025.111646

    20. [20]

      Junhua WangXin LianXichuan CaoQiao ZhaoBaiyan LiXian-He Bu . Dual polarization strategy to enhance CH4 uptake in covalent organic frameworks for coal-bed methane purification. Chinese Chemical Letters, 2024, 35(8): 109180-. doi: 10.1016/j.cclet.2023.109180

Metrics
  • PDF Downloads(4)
  • Abstract views(903)
  • HTML views(64)

通讯作者: 陈斌, bchen63@163.com
  • 1. 

    沈阳化工大学材料科学与工程学院 沈阳 110142

  1. 本站搜索
  2. 百度学术搜索
  3. 万方数据库搜索
  4. CNKI搜索
Address:Zhongguancun North First Street 2,100190 Beijing, PR China Tel: +86-010-82449177-888
Powered By info@rhhz.net

/

DownLoad:  Full-Size Img  PowerPoint
Return