Citation:
Wang Cairong, Wang Jinglin. Study on Coordination Mode of Tb(Ⅲ) with N, N-bis(carboxylphenyl)-2, 6-pyridinedicarboxamide[J]. Chemistry,
;2019, 82(2): 179-182.
-
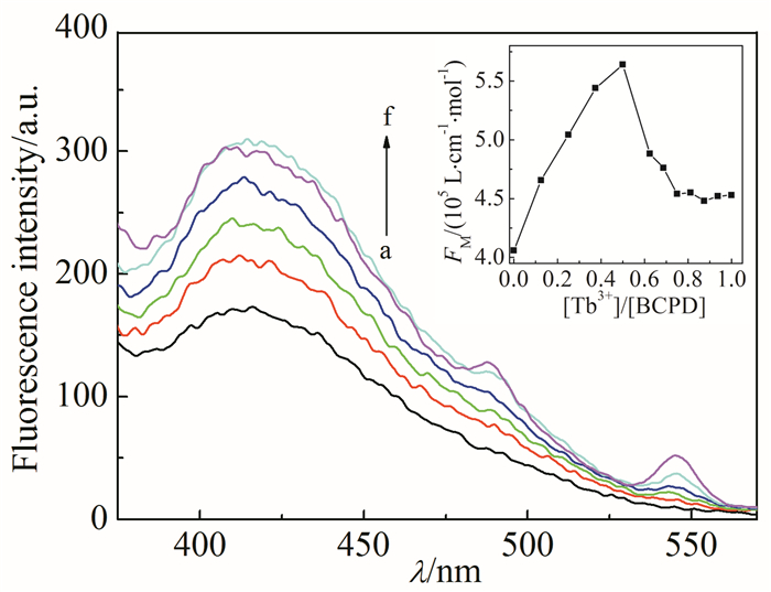
The studies on fluorescence titration of Tb(Ⅲ) to N, N-bis(carboxylphenyl)-2, 6-pyridinedicarboxamide (BCPD) showed that there are two coordination modes of Tb(Ⅲ) with BCPD:(BCPD)2Tb and (BCPD)Tb. The further study on emission fluorescence of BCPD and time scan intrinsic fluorescence of Tb(Ⅲ) proved that the two coordination modes were existed during the titration of Tb(Ⅲ) to BCPD. The results enriches the coordination theory and contributes to the preparation of fluorescent materials.
-
-
-
-
[1]
Hao XU , Ruopeng LI , Peixia YANG , Anmin LIU , Jie BAI . Regulation mechanism of halogen axial coordination atoms on the oxygen reduction activity of Fe-N4 site: A density functional theory study. Chinese Journal of Inorganic Chemistry, 2025, 41(4): 695-701. doi: 10.11862/CJIC.20240302
-
[2]
Xin MA , Ya SUN , Na SUN , Qian KANG , Jiajia ZHANG , Ruitao ZHU , Xiaoli GAO . A Tb2 complex based on polydentate Schiff base: Crystal structure, fluorescence properties, and biological activity. Chinese Journal of Inorganic Chemistry, 2024, 40(7): 1347-1356. doi: 10.11862/CJIC.20230357
-
[3]
Xiaorui Chen , Xuan Luo , Tongming Su , Xinling Xie , Liuyun Chen , Yuejing Bin , Zuzeng Qin , Hongbing Ji . Ga-doped Cu/γ-Al2O3 bifunctional interface sites promote the direct hydrogenation of CO2 to DME. Acta Physico-Chimica Sinica, 2025, 41(10): 100126-0. doi: 10.1016/j.actphy.2025.100126
-
[4]
Tiankai Sun , Hui Min , Zongsu Han , Liang Wang , Peng Cheng , Wei Shi . Rapid detection of nanoplastic particles by a luminescent Tb-based coordination polymer. Chinese Chemical Letters, 2024, 35(5): 108718-. doi: 10.1016/j.cclet.2023.108718
-
[5]
Ya-Ping Liu , Zhi-Rong Gui , Zhen-Wen Zhang , Sai-Kang Wang , Wei Lang , Yanzhu Liu , Qian-Yong Cao . A phenylphenthiazide anchored Tb(Ⅲ)-cyclen complex for fluorescent turn-on sensing of ClO−. Chinese Chemical Letters, 2025, 36(2): 109769-. doi: 10.1016/j.cclet.2024.109769
-
[6]
Ming Li , Zhaoyin Li , Mengzhu Liu , Shaoxiang Luo . Unveiling the Artistry of Mordant Dyeing: The Coordination Chemistry Beneath. University Chemistry, 2024, 39(5): 258-265. doi: 10.3866/PKU.DXHX202311085
-
[7]
Quanguo Zhai , Peng Zhang , Wenyu Yuan , Ying Wang , Shu'ni Li , Mancheng Hu , Shengli Gao . Reconstructing the “Fundamentals of Coordination Chemistry” in Inorganic Chemistry Course. University Chemistry, 2024, 39(11): 117-130. doi: 10.12461/PKU.DXHX202403065
-
[8]
Wen Jiang , Jieli Lin , Zhongshu Li . 低配位含磷官能团的研究进展. University Chemistry, 2025, 40(8): 138-151. doi: 10.12461/PKU.DXHX202409144
-
[9]
Dan PENG , Hao WANG , Yanyan WANG , Hongpeng YOU , Wuping LIAO . Synthesis and fluorescent properties of a one-dimensional Tb-calixarene complex as a luminescent thermometer material. Chinese Journal of Inorganic Chemistry, 2025, 41(9): 1859-1866. doi: 10.11862/CJIC.20250128
-
[10]
Wenke ZHENG , Ce LIU , Wei CHEN , Hongshan KE , Fanlong ZENG , Yibo LEI , Anyang LI , Wenyuan WANG . Synthesis and bonding analysis of low-coordinate Fe and Cr complexes with ultra-bulky silylamino groups. Chinese Journal of Inorganic Chemistry, 2025, 41(7): 1285-1293. doi: 10.11862/CJIC.20250095
-
[11]
Chengtian Liang , Boyuan Zheng , Ning Fang . 第38届中国化学奥林匹克(初赛)配位化学试题解析. University Chemistry, 2025, 40(8): 394-400. doi: 10.12461/PKU.DXHX202410054
-
[12]
Junying LI , Xinyan CHEN , Xihui DIAO , Muhammad Yaseen , Chao CHEN , Hao WANG , Chuansong QI , Wei LI . Chiral fluorescent sensor Tb3+@Cd-CP based on camphoric acid for the enantioselective recognition of R- and S-propylene glycol. Chinese Journal of Inorganic Chemistry, 2024, 40(12): 2497-2504. doi: 10.11862/CJIC.20240084
-
[13]
Lifang HE , Wenjie TANG , Yaoze LUO , Mingsheng LIANG , Jianxin TANG , Yuxuan WU , Fuxing ZHANG , Xiaoming ZHU . Synthesis, structure, and anticancer activity of two dialkyltin complexes constructed based on 2, 2′-bipyridin-6, 6′-dicarboxylic acid. Chinese Journal of Inorganic Chemistry, 2025, 41(8): 1601-1609. doi: 10.11862/CJIC.20250012
-
[14]
Tong WANG , Xuefang ZHU , Qi GAO , Hongbo ZHANG , Chao REN , Lixia GE . Luminescence and thermal stability of Tb3+-Eu3+ doped glass-ceramics containing Na8.12Y1.293Si6O18 crystal phase. Chinese Journal of Inorganic Chemistry, 2025, 41(11): 2237-2250. doi: 10.11862/CJIC.20250137
-
[15]
Aiyi Xin , Jiawei Li , Xinyang Ran , Chuanjiang Fu , Zhiguo Wang . Collaborative Science and Education Based Experimental Design in Organic Chemistry: A Case Study of the Nucleophilic Substitution Reaction of 2-Hydroxymethyl-4,6-Di-Tert-Butylphenol. University Chemistry, 2025, 40(5): 366-375. doi: 10.12461/PKU.DXHX202407031
-
[16]
Anqiu LIU , Long LIN , Dezhi ZHANG , Junyu LEI , Kefeng WANG , Wei ZHANG , Junpeng ZHUANG , Haijun HAO . Synthesis, structures, and catalytic activity of aluminum and zinc complexes chelated by 2-((2,6-dimethylphenyl)amino)ethanolate. Chinese Journal of Inorganic Chemistry, 2024, 40(4): 791-798. doi: 10.11862/CJIC.20230424
-
[17]
Caixia Lin , Ting Liu , Zhaojiang Shi , Hong Yan , Keyin Ye , Yaofeng Yuan . Innovative Experiment of Electrochemical Dearomative Spirocyclization of N-Acyl Sulfonamides. University Chemistry, 2025, 40(4): 359-366. doi: 10.12461/PKU.DXHX202406107
-
[18]
Cong-Bin Ji , Ding-Xiong Xie , Mei Chen , Ye-Ying Lan , Bao-Hua Zhang , Ji-Ying Yang , Zheng-Hui Kang , Shu-Jie Chen , Yu-Wei Zhang , Yun-Lin Liu . Green synthesis of 2-trifluoromethylquinoline skeletons via organocatalytic N-[(α-trifluoromethyl)vinyl]isatins CN bond activation. Chinese Chemical Letters, 2025, 36(7): 110598-. doi: 10.1016/j.cclet.2024.110598
-
[19]
Jianding LI , Junyang FENG , Huimin REN , Gang LI . Proton conductive properties of a Hf(Ⅳ)-based metal-organic framework built by 2,5-dibromophenyl-4,6-dicarboxylic acid. Chinese Journal of Inorganic Chemistry, 2025, 41(6): 1094-1100. doi: 10.11862/CJIC.20240464
-
[20]
Xiaofeng Xia , Jielian Zhu . Innovative Comprehensive Experimental Design: Synthesis of 6-Fluoro-N-benzoyl Tetrahydroquinoline. University Chemistry, 2024, 39(10): 344-352. doi: 10.12461/PKU.DXHX202405063
-
[1]
Metrics
- PDF Downloads(16)
- Abstract views(1154)
- HTML views(207)
Login In
DownLoad: