Citation: Chen Wang, Hu Daihua, Feng Zili, Wang Yongji. Synthesis of 1α-Hydroxydehydroepiandrosterone[J]. Chemistry, ;2018, 81(1): 88-91. shu

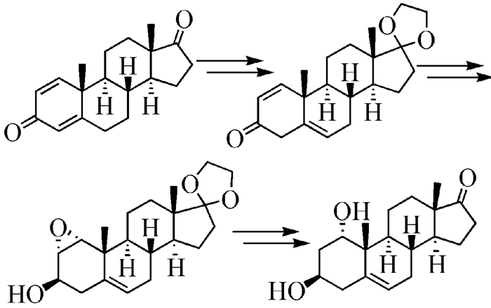
Synthesis of 1α-Hydroxydehydroepiandrosterone

  • Corresponding author: Chen Wang, chenwang0519@126.com
  • Received Date: 5 July 2017
    Accepted Date: 26 October 2017

Figures(1)

Metrics
  • PDF Downloads(5)
  • Abstract views(1589)
  • HTML views(266)

通讯作者: 陈斌, bchen63@163.com
  • 1. 

    沈阳化工大学材料科学与工程学院 沈阳 110142

  1. 本站搜索
  2. 百度学术搜索
  3. 万方数据库搜索
  4. CNKI搜索
Address:Zhongguancun North First Street 2,100190 Beijing, PR China Tel: +86-010-82449177-888
Powered By info@rhhz.net

/

DownLoad:  Full-Size Img  PowerPoint
Return