Citation: Wang Hao, Guo Shuai, Cao Yuekun, Lv Xuechuan, Li Guoke, Gao Xiaohan. Synthesis and Properties of the Epichlorohydrin Cationic Modified Flocculants[J]. Chemistry, ;2018, 81(12): 1132-1137. shu

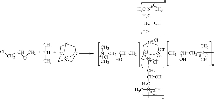
Synthesis and Properties of the Epichlorohydrin Cationic Modified Flocculants

  • Corresponding author: Gao Xiaohan, gaoxhan@163.com
  • Received Date: 7 March 2018
    Accepted Date: 5 September 2018

Figures(10)

Metrics
  • PDF Downloads(5)
  • Abstract views(554)
  • HTML views(59)

通讯作者: 陈斌, bchen63@163.com
  • 1. 

    沈阳化工大学材料科学与工程学院 沈阳 110142

  1. 本站搜索
  2. 百度学术搜索
  3. 万方数据库搜索
  4. CNKI搜索
Address:Zhongguancun North First Street 2,100190 Beijing, PR China Tel: +86-010-82449177-888
Powered By info@rhhz.net

/

DownLoad:  Full-Size Img  PowerPoint
Return