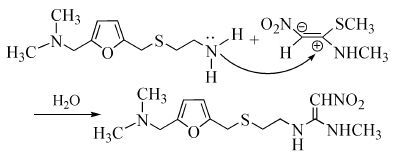
Study on the Synthesis and Its Process of Ranitidine
- Corresponding author: Lv Haijun, haijun_lv@126.com
Citation:
Liu Lei, Wang Lili, Lv Haijun, Kang Caihong. Study on the Synthesis and Its Process of Ranitidine[J]. Chemistry,
;2017, 80(2): 212-215.
M Mascal, S Dutta. Green Chem., 2011, 13(11):3101~3102.
doi: 10.1039/c1gc15537g
M T Daly. Drugs Today, 1982, 18:615.
H X He, M J Liu, Z B Zheng et al. Molecules, 2006, 11(6):393~402.
doi: 10.3390/11060393
A Deshmukh, A S Rakkeb, B M Bhawal et al. IN:172604, 1993.
Y Ootsuka, H Morita, H Mori. JNP:07157465, 1995.
A Deshmukh, A S Rakeeb, T Reddy et al. J. Chem. Soc., 1990, (4):1217~1218.
S Y Lu, X S Shao, Z Li et al. J. Agr. Food Chem., 2012, 60(1):322~330.
doi: 10.1021/jf203068a
M K Jag. US:5696275A, 1997.
F S John. GB:2160204A, 1985.
V VEmma, T Roberto, S Vitomir. GB:20759A, 1981.
Nan Xiao , Fang Sun . 二芳基硫醚化合物的构建及应用. University Chemistry, 2025, 40(6): 360-363. doi: 10.12461/PKU.DXHX202407099
Linbao Zhang , Weisi Guo , Shuwen Wang , Ran Song , Ming Li . Electrochemical Oxidation of Sulfides to Sulfoxides. University Chemistry, 2024, 39(11): 204-209. doi: 10.3866/PKU.DXHX202401009
Tao Wang , Qin Dong , Cunpu Li , Zidong Wei . Sulfur Cathode Electrocatalysis in Lithium-Sulfur Batteries: A Comprehensive Understanding. Acta Physico-Chimica Sinica, 2024, 40(2): 2303061-0. doi: 10.3866/PKU.WHXB202303061
Zhilian Liu , Wengui Wang , Hongxiao Yang , Yu Cui , Shoufeng Wang . Ideological and Political Education Design for the Synthesis of Irinotecan Drug Intermediate 7-Ethyl Camptothecin. University Chemistry, 2024, 39(2): 89-93. doi: 10.3866/PKU.DXHX202306012
Tingbo Wang , Yao Luo , Bingyan Hu , Ruiyuan Liu , Jing Miao , Huizhe Lu . Quantitative Computational Study on the Claisen Rearrangement Reaction of Allyl Phenyl Ethers: An Introduction to a Computational Chemistry Experiment. University Chemistry, 2024, 39(11): 278-285. doi: 10.12461/PKU.DXHX202403082
Weihan Zhang , Menglu Wang , Ankang Jia , Wei Deng , Shuxing Bai . Surface Sulfur Species Influence Hydrogenation Performance of Palladium-Sulfur Nanosheets. Acta Physico-Chimica Sinica, 2024, 40(11): 2309043-0. doi: 10.3866/PKU.WHXB202309043
Haozhe Hu , Haoyu Zhang , Changsheng Lu . Study on the Precipitation Process of Elemental Sulfur from the Decomposition Products of Thiosulfuric Acid: Is It an Unexpected Failed Experiment?. University Chemistry, 2025, 40(11): 409-415. doi: 10.12461/PKU.DXHX202412034
Hongyao Li , Youyan Liu , Luwei Dai , Min Yang , Qihui Wang . The Blessing of Indium Sulfide:Confronting the Narrow Path with Uric Acid. University Chemistry, 2024, 39(5): 325-335. doi: 10.3866/PKU.DXHX202311104
Ruiqing LIU , Wenxiu LIU , Kun XIE , Yiran LIU , Hui CHENG , Xiaoyu WANG , Chenxu TIAN , Xiujing LIN , Xiaomiao FENG . Three-dimensional porous titanium nitride as a highly efficient sulfur host. Chinese Journal of Inorganic Chemistry, 2024, 40(5): 867-876. doi: 10.11862/CJIC.20230441
Jinyao Du , Xingchao Zang , Ningning Xu , Yongjun Liu , Weisi Guo . Electrochemical Thiocyanation of 4-Bromoethylbenzene. University Chemistry, 2024, 39(6): 312-317. doi: 10.3866/PKU.DXHX202310039
Haitao Wang , Lianglang Yu , Jizhou Jiang , Arramel , Jing Zou . S-Doping of the N-Sites of g-C3N4 to Enhance Photocatalytic H2 Evolution Activity. Acta Physico-Chimica Sinica, 2024, 40(5): 2305047-0. doi: 10.3866/PKU.WHXB202305047
Chuan′an DING , Weibo YAN , Shaoying WANG , Hao XIN . Preparation of wide-band gap copper indium gallium sulfide solar cells by solution method. Chinese Journal of Inorganic Chemistry, 2025, 41(9): 1755-1764. doi: 10.11862/CJIC.20250198
Weikang Wang , Yadong Wu , Jianjun Zhang , Kai Meng , Jinhe Li , Lele Wang , Qinqin Liu . Green H2O2 synthesis via melamine-foam supported S-scheme Cd0.5Zn0.5In2S4/S-doped carbon nitride heterojunction: synergistic interfacial charge transfer and local photothermal effect. Acta Physico-Chimica Sinica, 2025, 41(8): 100093-0. doi: 10.1016/j.actphy.2025.100093
Yiming Liang , Ziyan Pan , Kin Shing Chan . One Drink, Two Tears in the Central Nervous System: The Perils of Disulfiram-Like Reactions. University Chemistry, 2025, 40(4): 322-325. doi: 10.12461/PKU.DXHX202406016
Yingtong Shi , Guotong Xu , Guizeng Liang , Di Lan , Siyuan Zhang , Yanru Wang , Daohao Li , Guanglei Wu . PEG-VN改性PP隔膜用于高稳定性高效率锂硫电池. Acta Physico-Chimica Sinica, 2025, 41(7): 100082-0. doi: 10.1016/j.actphy.2025.100082
Xue Xiao , Jiachun Li , Xiangtong Meng , Jieshan Qiu . Sulfur-Doped Carbon-Coated Fe0.95S1.05 Nanospheres as Anodes for High-Performance Sodium Storage. Acta Physico-Chimica Sinica, 2024, 40(6): 2307006-0. doi: 10.3866/PKU.WHXB202307006
Yan'e LIU , Shengli JIA , Yifan JIANG , Qinghua ZHAO , Yi LI , Xinshu CHANG . MoO3/cellulose derived carbon aerogel: Fabrication and performance as cathode for lithium-sulfur battery. Chinese Journal of Inorganic Chemistry, 2025, 41(8): 1565-1573. doi: 10.11862/CJIC.20250054
Hong CAI , Jiewen WU , Jingyun LI , Lixian CHEN , Siqi XIAO , Dan LI . Synthesis of a zinc-cobalt bimetallic adenine metal-organic framework for the recognition of sulfur-containing amino acids. Chinese Journal of Inorganic Chemistry, 2025, 41(1): 114-122. doi: 10.11862/CJIC.20240382
Qianli Ma , Tianbing Song , Tianle He , Xirong Zhang , Huanming Xiong . Sulfur-doped carbon dots: a novel bifunctional electrolyte additive for high-performance aqueous zinc-ion batteries. Acta Physico-Chimica Sinica, 2025, 41(9): 100106-0. doi: 10.1016/j.actphy.2025.100106
Xiaofeng Zhu , Bingbing Xiao , Jiaxin Su , Shuai Wang , Qingran Zhang , Jun Wang . Transition Metal Oxides/Chalcogenides for Electrochemical Oxygen Reduction into Hydrogen Peroxides. Acta Physico-Chimica Sinica, 2024, 40(12): 2407005-0. doi: 10.3866/PKU.WHXB202407005