Citation:
Zheng Manman, Zhu Zhenzhong, Geng Jiajia. Determination of Oxidation Induction Time of Oil with Screen Printed Modified Electrode[J]. Chemistry,
;2017, 80(6): 589-592, 562.
-
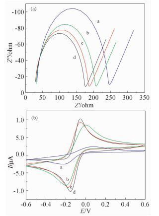
Screen printed electrodes were modified with reduced oxide graphene (rGO), 1-butyl-3-methylimidazolium hexafluorophosphate (BMIMPF6) and graphite phase carbon nitride (g-C3N4). The SPME modification conditions were optimized and the electrochemical properties of the SPME were characterized by cyclic voltammetry and electrochemical impedance spectroscopy (EIS). The oxidation induction time of safflower seed oil, almond oil, wheat germ oil and olive oil were determined by EIS in the mixture of 1.0×10-3mol/L LiCl-ethanol and chloroform (V:V=20:3) which was used as supporting electrolyte. F-test and t-test results showed that there was no significant difference of oxidation induction time between the proposed method and the national standard method. Moreover, the proposed method is more simple, rapid and sensitive than that of the national standard method.
-
-
-
[1]
-
[2]
-
[3]
-
[4]
N A Botsoglou, D J Fletouris, G E Papageorgiou et al. J. Agric. Food. Chem., 1994, 42(9):1931~1937.
-
[5]
M C Dobarganes, J Velasco. Eur. J. Lipid Sci. Technol., 2002, 104(7):420~428.
-
[6]
TSato, G Masuda, K Takagi. Electrochim. Acta, 2004, 49(21):3603~3611.
- [7]
-
[8]
-
[9]
-
[10]
-
[11]
W Song, L Zhang, L Shi et al. Microchimi. Acta, 2010, 169(3/4):321~326.
-
[12]
A Ghozatloo, M Hosseini, M Shariaty-Niassar. J. Nat. Gas. Sci. Eng., 2015, 27(2):1229~1233.
-
[13]
D Wang, Z Xu, Q Luo et al. J. Membr. Sci., 2016, 51(2):893~902.
-
[14]
-
[15]
- [16]
-
[17]
-
[1]
-
-
-
[1]
Wentao Xu , Xuyan Mo , Yang Zhou , Zuxian Weng , Kunling Mo , Yanhua Wu , Xinlin Jiang , Dan Li , Tangqi Lan , Huan Wen , Fuqin Zheng , Youjun Fan , Wei Chen . Bimetal Leaching Induced Reconstruction of Water Oxidation Electrocatalyst for Enhanced Activity and Stability. Acta Physico-Chimica Sinica, 2024, 40(8): 2308003-0. doi: 10.3866/PKU.WHXB202308003
-
[2]
Yang Meiqing , Lu Wang , Haozi Lu , Yaocheng Yang , Song Liu . Recent Advances of Functional Nanomaterials for Screen-Printed Photoelectrochemical Biosensors. Acta Physico-Chimica Sinica, 2025, 41(2): 100018-0. doi: 10.3866/PKU.WHXB202310046
-
[3]
Yue Zhang , Bao Li , Lixin Wu . GO-Assisted Supramolecular Framework Membrane for High-Performance Separation of Nanosized Oil-in-Water Emulsions. Acta Physico-Chimica Sinica, 2024, 40(5): 2305038-0. doi: 10.3866/PKU.WHXB202305038
-
[4]
Chengqian Mao , Yanghan Chen , Haotong Bai , Junru Huang , Junpeng Zhuang . Photodimerization of Styrylpyridinium Salt and Its Application in Silk Screen Printing. University Chemistry, 2024, 39(5): 354-362. doi: 10.3866/PKU.DXHX202312014
-
[5]
Xiaomei Ning , Liang Zhan , Xiaosong Zhou , Jin Luo , Xunfu Zhou , Cuifen Luo . Preparation and Electro-Oxidation Performance of PtBi Supported on Carbon Cloth: A Recommended Comprehensive Chemical Experiment. University Chemistry, 2024, 39(11): 217-224. doi: 10.3866/PKU.DXHX202401085
-
[6]
Qianwen Han , Tenglong Zhu , Qiuqiu Lü , Mahong Yu , Qin Zhong . Performance and Electrochemical Asymmetry Optimization of Hydrogen Electrode Supported Reversible Solid Oxide Cell. Acta Physico-Chimica Sinica, 2025, 41(1): 100005-0. doi: 10.3866/PKU.WHXB202309037
-
[7]
Chunyang Zheng , Shiyu Liu , Nuo Yi , Hong Shang . The Adventures in the Kingdom of Plant Pigments. University Chemistry, 2024, 39(9): 170-176. doi: 10.3866/PKU.DXHX202308085
-
[8]
Ruoxi RUN , Jikai ZHU , Lixia HAN , Zhiyin XIAO , Xiujuan JIANG , Jing JIN . Red light-induced CO-release from manganese carbonyl complexes. Chinese Journal of Inorganic Chemistry, 2025, 41(12): 2575-2583. doi: 10.11862/CJIC.20250132
-
[9]
Lingbang Qiu , Jiangmin Jiang , Libo Wang , Lang Bai , Fei Zhou , Gaoyu Zhou , Quanchao Zhuang , Yanhua Cui . In Situ Electrochemical Impedance Spectroscopy Monitoring of the High-Temperature Double-Discharge Mechanism of Nb12WO33 Cathode Material for Long-Life Thermal Batteries. Acta Physico-Chimica Sinica, 2025, 41(5): 100040-0. doi: 10.1016/j.actphy.2024.100040
-
[10]
Shengbiao Zheng , Liang Li , Nini Zhang , Ruimin Bao , Ruizhang Hu , Jing Tang . Metal-Organic Framework-Derived Materials Modified Electrode for Electrochemical Sensing of Tert-Butylhydroquinone: A Recommended Comprehensive Chemistry Experiment for Translating Research Results. University Chemistry, 2024, 39(7): 345-353. doi: 10.3866/PKU.DXHX202310096
-
[11]
Dingwen CHEN , Siheng YANG , Haiyan FU , Hua CHEN , Xueli ZHENG , Weichao XUE , Jiaqi XU , Ruixiang LI . NiOOH-mediated synthesis of gold nanoaggregates for electrocatalytic performance for selective oxidation of glycerol to glycolate. Chinese Journal of Inorganic Chemistry, 2025, 41(11): 2317-2326. doi: 10.11862/CJIC.20250053
-
[12]
Ruyan Liu , Zhenrui Ni , Olim Ruzimuradov , Khayit Turayev , Tao Liu , Luo Yu , Panyong Kuang . Ni-induced modulation of Pt 5d-H 1s antibonding orbitals for enhanced hydrogen evolution and urea oxidation. Acta Physico-Chimica Sinica, 2025, 41(12): 100159-0. doi: 10.1016/j.actphy.2025.100159
-
[13]
Tong Zhou , Jun Li , Zitian Wen , Yitian Chen , Hailing Li , Zhonghong Gao , Wenyun Wang , Fang Liu , Qing Feng , Zhen Li , Jinyi Yang , Min Liu , Wei Qi . Experiment Improvement of “Redox Reaction and Electrode Potential” Based on the New Medical Concept. University Chemistry, 2024, 39(8): 276-281. doi: 10.3866/PKU.DXHX202401005
-
[14]
Ji-Quan Liu , Huilin Guo , Ying Yang , Xiaohui Guo . Calculation and Discussion of Electrode Potentials in Redox Reactions of Water. University Chemistry, 2024, 39(8): 351-358. doi: 10.3866/PKU.DXHX202401031
-
[15]
Ruoxi Sun , Yiqian Xu , Shaoru Rong , Chunmiao Han , Hui Xu . The Enchanting Collision of Light and Time Magic: Exploring the Footprints of Long Afterglow Lifetime. University Chemistry, 2024, 39(5): 90-97. doi: 10.3866/PKU.DXHX202310001
-
[16]
Zhuoya WANG , Le HE , Zhiquan LIN , Yingxi WANG , Ling LI . Multifunctional nanozyme Prussian blue modified copper peroxide: Synthesis and photothermal enhanced catalytic therapy of self-provided hydrogen peroxide. Chinese Journal of Inorganic Chemistry, 2024, 40(12): 2445-2454. doi: 10.11862/CJIC.20240194
-
[17]
Bo YANG , Gongxuan LÜ , Jiantai MA . Nickel phosphide modified phosphorus doped gallium oxide for visible light photocatalytic water splitting to hydrogen. Chinese Journal of Inorganic Chemistry, 2024, 40(4): 736-750. doi: 10.11862/CJIC.20230346
-
[18]
Xiaotian ZHU , Fangding HUANG , Wenchang ZHU , Jianqing ZHAO . Layered oxide cathode for sodium-ion batteries: Surface and interface modification and suppressed gas generation effect. Chinese Journal of Inorganic Chemistry, 2025, 41(2): 254-266. doi: 10.11862/CJIC.20240260
-
[19]
Meiran Li , Yingjie Song , Xin Wan , Yang Li , Yiqi Luo , Yeheng He , Bowen Xia , Hua Zhou , Mingfei Shao . Nickel-Vanadium Layered Double Hydroxides for Efficient and Scalable Electrooxidation of 5-Hydroxymethylfurfural Coupled with Hydrogen Generation. Acta Physico-Chimica Sinica, 2024, 40(9): 2306007-0. doi: 10.3866/PKU.WHXB202306007
-
[20]
Yuying JIANG , Jia LUO , Zhan GAO . Development status and prospects of solid oxide cell high entropy electrode catalysts. Chinese Journal of Inorganic Chemistry, 2025, 41(9): 1719-1730. doi: 10.11862/CJIC.20250124
-
[1]
Metrics
- PDF Downloads(3)
- Abstract views(645)
- HTML views(117)
Login In
DownLoad: