Citation: CAO Yue-ling, WANG Jun-wei, KANG Mao-qing, ZHU Yu-lei. Catalytic conversion of glucose and cellobiose into ethylene glycol over various tungsten-based catalysts[J]. Journal of Fuel Chemistry and Technology, ;2016, 44(7): 845-852. shu

Catalytic conversion of glucose and cellobiose into ethylene glycol over various tungsten-based catalysts

  • Corresponding author: WANG Jun-wei, wangjw@sxicc.ac.cn
  • Received Date: 28 December 2015
    Revised Date: 28 April 2016

    Fund Project: The projeet was supporred by the Major State Basic Research Development Program of China 2012CB215305

Figures(2)

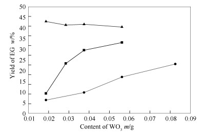
  • Glucose and cellobiose were used as model compounds to investigate the effect of retro-aldol condensation and hydrogenation rates on the product distribution of cellulose conversion. It was shown that the product distribution obtained over the physical mixture of Ni/SBA-15 and WO3/SBA-15 in the glucose and cellobiose conversions were different from that attained on the Ni-WO3/SBA-15 prepared by the co-impregnation method. The ethylene glycol (EG) yield depended on the structures of tungstic compounds, and it increased in the order of WO3 < WO3/SBA-15 < (NH4)6W7O24·6H2O (AMT), while the particle sizes of them decreased in such an order. Regardless of the types of tungstic compounds, the EG yield obtained in the glucose conversion is lower than that attained in the cellobiose conversion at the same amount of catalyst.
  • 加载中
    1. [1]

      HUBER G W, IBORRA S, CORMA A. Synthesis of transportation fuels from biomass: Chemistry, catalysts, and engineering[J]. Chem Rev, 2006,106(9):4044-4098. doi: 10.1021/cr068360d

    2. [2]

      CORMA A, IBORRA S, VELTY A. Chemical routes for the transformation of biomass into chemicals[J]. Chem Rev, 2007,107(6):2411-2502. doi: 10.1021/cr050989d

    3. [3]

      ONDA A, OCHI T, YANAGISAWA K. Selective hydrolysis of cellulose into glucose over solid acid catalysts[J]. Green Chem, 2008,10(10):1033-1037. doi: 10.1039/b808471h

    4. [4]

      FUKUOKA A, DHEPE P A. Catalytic conversion of cellulose into sugar alcohols[J]. Angew Chem Int Ed, 2006,45(31):5161-5163. doi: 10.1002/(ISSN)1521-3773

    5. [5]

      JI N, ZHANG T, ZHENG M Y, WANG A Q, WANG H, WANG X D, CHEN J G. Direct catalytic conversion of cellulose into ethylene glycol using nickel-promoted tungsten carbide catalysts[J]. Angew Chem, 2008,120(44):8638-8641. doi: 10.1002/ange.v120:44

    6. [6]

      SU Y, BROWN H M, HUANG X W, ZHOU X D, AMONETTE J E, ZHANG Z C. Single-step conversion of cellulose to 5-hydroxymethlfurfural (HMF), a versatile platform chemical[J]. Appl Catal A: Gen, 2009,361(1/2):117-122.  

    7. [7]

      KUO I J, SUZUKI N, YAMAUCHI Y, WU K C. W. Cellulose-to-HMF conversion using crystalline mesoporous titania and zirconia nanocatalysts in ionic liquid systems[J]. RSC Adv, 2013,3(6):2028-2034. doi: 10.1039/C2RA21805D

    8. [8]

      ZHANG J Z, LIU X, SUN M, MA X H, HAN Y. Direct conversion of cellulose to glycolic acid with a phosphomolybdic acid catalyst in a water medium[J]. ACS Catal, 2012,2(8):1698-1702. doi: 10.1021/cs300342k

    9. [9]

      AN D L, YE A H, DENG W P, ZHANG Q H, WANG Y. Selective conversion of cellobiose and cellulose into gluconic acid in water in the presence of oxygen, catalyzed by polyoxometalate-supported gold nanoparticles[J]. Chem Eur J, 2012,18(10):2938-2947. doi: 10.1002/chem.201103262

    10. [10]

      SERRANO-RUIZ J C, BRADEN D J, WEST R M, DUMESIC J A. Conversion of cellulose to hydrocarbon fuels by progressive removal of oxygen[J]. Appl Catal B: Environ, 2010,100(1/2):184-189.  

    11. [11]

      LIU Y, CHEN L G, WANG T J, ZHANG X H, LONG J X, ZHANG Q, MA L L. High yield of renewable hexanes by direct hydrolysis-hydrodeoxygenation of cellulose in an aqueous phase catalytic system[J]. RSC Adv, 2015,5(15):11649-11657. doi: 10.1039/C4RA14304C

    12. [12]

      REZAEI P S, SHAFAGHAT H, DAUD W M A W. Suppression of coke formation and enhancement of aromatic hydrocarbon production in catalytic fast pyrolysis of cellulose over different zeolites: Effects of pore structure and acidity[J]. RSC Adv, 2015,5(80):65408-65414. doi: 10.1039/C5RA11332F

    13. [13]

      YUE H R, ZHAO Y J, MA X B, GONG J L. Ethylene glycol: Properties, synthesis, and applications[J]. Chem Soc Rev, 2012,41(11):4218-4244. doi: 10.1039/c2cs15359a

    14. [14]

      ZHANG Y H, WANG A Q, ZHANG T. A new 3D mesoporous carbon replicated from commercial silica as a catalyst support for direct conversion of cellulose into ethylene glycol[J]. Chem Commun, 2010,46(6):862-864. doi: 10.1039/B919182H

    15. [15]

      ZHENG M Y, WANG A Q, JI N, PANG J F, WANG X D, ZHANG T. Transition metal-tungsten bimetallic catalysts for the conversion of cellulose into ethylene glycol[J]. ChemSusChem, 2010,3(1):63-66. doi: 10.1002/cssc.v3:1

    16. [16]

      BAEK I G, YOU S J, PARK E D. Direct conversion of cellulose into polyols over Ni/W/SiO2-Al2O3[J]. Bioresour Technol, 2012,114:684-690. doi: 10.1016/j.biortech.2012.03.059

    17. [17]

      CAO Y L, WANG J W, LI Q F, YIN N, LIU Z M, KANG M Q, ZHU Y L. Hydrolytic hydrogenation of cellulose over Ni-WO3/SBA-15 catalysts[J]. J Fuel Chem Technol, 2013,41(8):943-949. doi: 10.1016/S1872-5813(13)60041-9

    18. [18]

      CAO Y L, WANG J W, KANG M Q, ZHU Y L. Efficient synthesis of ethylene glycol from cellulose over Ni-WO3/SBA-15 catalysts[J]. J Mole Catal A: Gen, 2014,381:46-53. doi: 10.1016/j.molcata.2013.10.002

    19. [19]

      CAO Y L, WANG J W, KANG M Q, ZHU Y L. Catalytic conversion of glucose and cellobiose to ethylene glycol over Ni-WO3/SBA-15 catalysts[J]. RSC Adv, 2015,5(110):90904-90912. doi: 10.1039/C5RA15400F

    20. [20]

      LIU Y, LUO C, LIU H C. Tungsten trioxide promoted selective conversion of cellulose into propylene glycol and ethylene glycol on a ruthenium catalyst[J]. Angew Chem, 2012,124(13):3303-3307. doi: 10.1002/ange.v124.13

    21. [21]

      TAI Z J, ZHANG J Y, WANG A Q, ZHENG M Y, ZHANG T. Temperature-controlled phase-transfer catalysis for ethylene glycol production from cellulose[J]. Chem Commun, 2012,48(56):7052-7054. doi: 10.1039/c2cc32305b

    22. [22]

      ZHAO G H, ZHENG M Y, ZHANG J Y, WANG A Q, ZHANG T. Catalytic conversion of concentrated glucose to ethylene glycol with semicontinuous reaction system[J]. Ind Eng Chem Res, 2013,52(28):9566-9572. doi: 10.1021/ie400989a

    23. [23]

      ZHANG J Y, HOU B L, WANG A Q, LI Z L, WANG H, ZHANG T. Kinetic study of the competitive hydrogenation of glycolaldehyde and glucose on Ru/C with or without AMT[J]. AIChE J, 2014,61(1):224-238.  

    24. [24]

      ZHANG J Y, YANG X F, HOU B L, WANG A Q, LI Z L, WANG H, ZHANG T. Comparison of cellobiose and glucose transformation to ethylene glycol[J]. Chin J Catal, 2014,35(11):1811-1817. doi: 10.1016/S1872-2067(14)60151-0

    25. [25]

      ZHANG J Y, HOU B L, WANG X F, LI Z L, WANG A Q, ZHANG T. Inhibiting effect of tungstic compounds on glucose hydrogenation over Ru/C catalyst[J]. J Energ Chem, 2015,24(1):9-14. doi: 10.1016/S2095-4956(15)60278-9

    26. [26]

      WANG A Q, ZHANG T. One-pot conversion of cellulose to ethylene glycol with multifunctional tungsten-based catalysts[J]. Acc Chem Res, 2013,46(7):1377-1386. doi: 10.1021/ar3002156

    27. [27]

      LUO C, WANG S, LIU H C. Cellulose conversion into polyols catalyzed by reversibly formed acids and supported ruthenium clusters in hot water[J]. Angew Chem Int Eng, 2007,46(40):7636-7639. doi: 10.1002/(ISSN)1521-3773

    28. [28]

      RINALDI R, SCHÜTH F. Design of solid catalysts for the conversion of biomass[J]. Energy Environ Sci, 2009,2(6):610-626. doi: 10.1039/b902668a

    29. [29]

      TAI Z J, ZHANG J Y, WANG A Q, PANG J F, ZHENG M Y, ZHANG T. Catalytic conversion of cellulose to ethylene glycol over a low-cost binary catalyst of Raney Ni and tungstic acid[J]. Chem Sus Chem, 2013,6(4):652-658. doi: 10.1002/cssc.201200842

  • 加载中
    1. [1]

      Bin SUNHeyan JIANG . Glucose-modified bis-Schiff bases: Synthesis and bio-activities in Alzheimer′s disease therapy. Chinese Journal of Inorganic Chemistry, 2025, 41(7): 1338-1350. doi: 10.11862/CJIC.20240428

    2. [2]

      Weidan MengYanbo ZhouYi Zhou . Green innovation unleashed: Harnessing tungsten-based nanomaterials for catalyzing solar-driven carbon dioxide conversion. Chinese Chemical Letters, 2025, 36(2): 109961-. doi: 10.1016/j.cclet.2024.109961

    3. [3]

      Kezuo DiJie WeiLijun DingZhiying ShaoJunling ShaXilong ZhouHuadong HengXujing FengKun Wang . A wearable sensor device based on screen-printed chip with biofuel cell-driven electrochromic display for noninvasive monitoring of glucose concentration. Chinese Chemical Letters, 2025, 36(2): 109911-. doi: 10.1016/j.cclet.2024.109911

    4. [4]

      Xiaoxiao HuangZhi-Long HeYangpeng ChenLei LiZhenyu YangChunyang ZhaiMingshan Zhu . Novel P-doping-tuned Pd nanoflowers/S,N-GQDs photo-electrocatalyst for high-efficient ethylene glycol oxidation. Chinese Chemical Letters, 2024, 35(6): 109271-. doi: 10.1016/j.cclet.2023.109271

    5. [5]

      Mengjin Li Tian Xia Mengyu Wang Yujie Peng Sihan Zhang Xueliang Jiang Huan Yang . Biocarbon-Confined Bimetallic FeCo Metal-Organic Framework Orthogonal Nanosheet Arrays for Industry-level Ethylene Glycol Oxidation. Chinese Journal of Structural Chemistry, 2025, 44(8): 100627-100627. doi: 10.1016/j.cjsc.2025.100627

    6. [6]

      Yun-Fei ZhangChun-Hui ZhangJian-Hui XuLei LiDan LiJin-Hong FanJiale GaoXin QuanQi WuYue ZouYan-Ling Liu . Enhanced degradation of florfenicol by microscale SiC/Fe: Dechlorination via hydrogenolysis. Chinese Chemical Letters, 2024, 35(7): 109385-. doi: 10.1016/j.cclet.2023.109385

    7. [7]

      Jingfeng YueZhenxin TangYuxing ZhangZhongbao Jian . Oligomeric α-diimine nickel catalysts for enhanced ethylene polymerization. Chinese Chemical Letters, 2026, 37(1): 111930-. doi: 10.1016/j.cclet.2025.111930

    8. [8]

      Pengwei TanShuyang ShenYuanyuan LuoGuotao DuanIn-situ growth of high-crystallinity M3(hexaaminotriphenylene)2 (M = Co, Ni) thin film for field-effect transistor-based glucose biosensor. Chinese Chemical Letters, 2026, 37(4): 111636-. doi: 10.1016/j.cclet.2025.111636

    9. [9]

      Hailong HeWenbing WangWenmin PangChen ZouDan Peng . Double stimulus-responsive palladium catalysts for ethylene polymerization and copolymerization. Chinese Chemical Letters, 2024, 35(7): 109534-. doi: 10.1016/j.cclet.2024.109534

    10. [10]

      Erzhuo ChengYunyi LiWei YuanWei GongYanjun CaiYuan GuYong JiangYu ChenJingxi ZhangGuangquan MoBin Yang . Galvanostatic method assembled ZIFs nanostructure as novel nanozyme for the glucose oxidation and biosensing. Chinese Chemical Letters, 2024, 35(9): 109386-. doi: 10.1016/j.cclet.2023.109386

    11. [11]

      Junying LIXinyan CHENXihui DIAOMuhammad YaseenChao CHENHao WANGChuansong QIWei LI . Chiral fluorescent sensor Tb3+@Cd-CP based on camphoric acid for the enantioselective recognition of R- and S-propylene glycol. Chinese Journal of Inorganic Chemistry, 2024, 40(12): 2497-2504. doi: 10.11862/CJIC.20240084

    12. [12]

      Jiahui LiQiao ShiYing XueMingde ZhengLong LiuTuoyu GengDaoqing GongMinmeng Zhao . The effects of in ovo feeding of selenized glucose on liver selenium concentration and antioxidant capacity in neonatal broilers. Chinese Chemical Letters, 2024, 35(6): 109239-. doi: 10.1016/j.cclet.2023.109239

    13. [13]

      Yue SunYingnan ZhuJiahang SiRuikang ZhangYalan JiJinjie FanYuze Dong . Glucose-activated nanozyme hydrogels for microenvironment modulation via cascade reaction in diabetic wound. Chinese Chemical Letters, 2025, 36(4): 110012-. doi: 10.1016/j.cclet.2024.110012

    14. [14]

      Heng GaoZhaocong ChengGuangshui TuZonglin QiuXieyi XiaoHaotian ZhouHandou ZhengHaiyang Gao . Thermally robust bis(imino)pyridyl iron catalysts for ethylene polymerization: Synergy effects of weak π-π interaction, steric bulk, and electronic tuning. Chinese Chemical Letters, 2025, 36(5): 110762-. doi: 10.1016/j.cclet.2024.110762

    15. [15]

      Chen-Xin WangGuang-Lei LiYu HangDan-Feng LuJian-Qi YeHao SuBing HouTao SuoDan Wen . Shock-resistant wearable pH sensor based on tungsten oxide aerogel. Chinese Chemical Letters, 2025, 36(7): 110502-. doi: 10.1016/j.cclet.2024.110502

    16. [16]

      Mingyue LuoXin XueKehui ZhangHonghong RaoBaodui WangZhentong ZhuJinhai FanZhonghua Xue . Hollow mesoporous Prussian blue nanozymes with intrinsic self-chromogenicity and photothermal amplification as a pH-adaptive dual-modal biosensor for one-step glucose monitoring. Chinese Chemical Letters, 2026, 37(3): 111496-. doi: 10.1016/j.cclet.2025.111496

    17. [17]

      Xiaojian YanSaijin HuangWenfeng LiuLi-Li TanGaobin WangLiping CaoLi Shang . Tungsten oxide quantum dot-based supramolecular assembly with tunable photochromic kinetics towards time-encoded anti-counterfeiting. Chinese Chemical Letters, 2026, 37(3): 111427-. doi: 10.1016/j.cclet.2025.111427

    18. [18]

      Xinyu LiuJialin YangZonglin HeJiaoyan AiLina SongBaohua Liu . Linear polyurethanes with excellent comprehensive properties from poly(ethylene carbonate) diol. Chinese Chemical Letters, 2025, 36(1): 110236-. doi: 10.1016/j.cclet.2024.110236

    19. [19]

      Lei ZhangChenyang KouKun NiYiwen ChenTongchuan ZhangBaoliang Zhang . Microenvironment regulation of copper sites by chelating hydrophobic polymer for electrosynthesis of ethylene. Chinese Chemical Letters, 2025, 36(6): 110836-. doi: 10.1016/j.cclet.2025.110836

    20. [20]

      Junying ZhangRuochen LiHaihua WangWenbing KangXing-Dong Xu . Photo-induced tunable luminescence from an aggregated amphiphilic ethylene-pyrene derivative in aqueous media. Chinese Chemical Letters, 2024, 35(6): 109216-. doi: 10.1016/j.cclet.2023.109216

Metrics
  • PDF Downloads(5)
  • Abstract views(1054)
  • HTML views(57)

通讯作者: 陈斌, bchen63@163.com
  • 1. 

    沈阳化工大学材料科学与工程学院 沈阳 110142

  1. 本站搜索
  2. 百度学术搜索
  3. 万方数据库搜索
  4. CNKI搜索
Address:Zhongguancun North First Street 2,100190 Beijing, PR China Tel: +86-010-82449177-888
Powered By info@rhhz.net

/

DownLoad:  Full-Size Img  PowerPoint
Return