Citation: Nandenha J., Fontes E.H., Piasentin R.M., Fonseca F.C., Neto A.O.. Direct oxidation of methane at low temperature using Pt/C, Pd/C, Pt/C-ATO and Pd/C-ATO electrocatalysts prepared by sodium borohydride reduction process[J]. Journal of Fuel Chemistry and Technology, ;2018, 46(9): 1137-1145. shu

Direct oxidation of methane at low temperature using Pt/C, Pd/C, Pt/C-ATO and Pd/C-ATO electrocatalysts prepared by sodium borohydride reduction process

  • Corresponding author: Neto A.O., aolivei@ipen.br; neto.almir@bol.com.br
  • Received Date: 17 May 2018
    Revised Date: 24 July 2018

    Fund Project: the FAPESP 2014/50279-4the FAPESP 2014/09087-4The project was supported by the FAPESP (2014/09087-4, 2014/50279-4)

Figures(7)

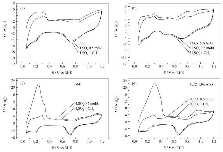
  • The main objective of this paper was to characterize the voltammetric profiles of the Pt/C, Pt/C-ATO, Pd/C and Pd/C-ATO electrocatalysts and study their catalytic activities for methane oxidation in an acidic electrolyte at 25℃ and in a direct methane proton exchange membrane fuel cell at 80℃. The electrocatalysts prepared also were characterized by X-ray diffraction (XRD) and transmission electron microscopy (TEM). The diffractograms of the Pt/C and Pt/C-ATO electrocatalysts show four peaks associated with Pt face-centered cubic (fcc) structure, and the diffractograms of Pd/C and Pd/C-ATO show four peaks associated with Pd face-centered cubic (fcc) structure. For Pt/C-ATO and Pd/C-ATO, characteristic peaks of cassiterite (SnO2) phase are observed, which are associated with Sb-doped SnO2 (ATO) used as supports for electrocatalysts. Cyclic voltammograms (CV) of all electrocatalysts after adsorption of methane show that there is a current increase during the anodic scan. However, this effect is more pronounced for Pt/C-ATO and Pd/C-ATO. This process is related to the oxidation of the adsorbed species through the bifunctional mechanism, where ATO provides oxygenated species for the oxidation of CO or HCO intermediates adsorbed in Pt or Pd sites. From in situ ATR-FTIR (Attenuated Total Reflectance-Fourier Transform Infrared) experiments for all electrocatalysts prepared the formation of HCO or CO intermediates are observed, which indicates the production of carbon dioxide. Polarization curves at 80℃ in a direct methane fuel cell (DMEFC) show that Pd/C and Pt/C electroacatalysts have superior performance to Pd/C-ATO and Pt/C-ATO in methane oxidation.
  • 加载中
    1. [1]

      JACQUINATA P, MÜLLER B, WEHRLI B, HAUSER P C. Determination of methane and other small hydrocarbons with a platinum-Nafion electrode by stripping voltammetry[J]. Anal Chim Acta, 2001,432(1):1-10. doi: 10.1016/S0003-2670(00)01359-3

    2. [2]

      ZHANG Y, ZHANG L, SHUANG S, FENG F, QIAO J, GUO Y, CHOI Y, MARTIN M F, DONG C. Electro-oxidation of methane on roughened palladium electrode in acidic electrolytes at ambient temperatures[J]. Anal Lett, 2010,43(6):1055-1065. doi: 10.1080/00032710903492508

    3. [3]

      HAHN F, MELENDRES C A. Anodic oxidation of methane at noble metal electrodes:An 'in situ' surface enhanced infrared spectroelectrochemical study[J]. Electrochim Acta, 2001,46(23):3525-3534. doi: 10.1016/S0013-4686(01)00649-1

    4. [4]

      TYAGIA S, GANESH A, AGHALAYAM P. Direct methane proton exchange membrane fuel cell[J]. ECS Trans, 2008,6(25):371-378.  

    5. [5]

      HWANG D Y, MEBEL A M. Activation of methane by neutral transition metal oxides (ScO, NiO, and PdO):A Theoretical Study[J]. J Phys Chem A, 2002,106(50):12072-12083. doi: 10.1021/jp026414r

    6. [6]

      SCHRÖDER D, SCHWARZ H. FeO⊕ activates methane[J]. Angew Chem, Int Ed Eng, 1990,29(12):1433-1434. doi: 10.1002/(ISSN)1521-3773

    7. [7]

      SCHRÖDER D, SCHWARZ H. C-H and C-C bond activation by bare transition-metal oxide cations in the gas phase[J]. Angew Chem, Int Ed Eng, 1995,34(18):1973-1995. doi: 10.1002/(ISSN)1521-3773

    8. [8]

      CLEMMER D E, CHEN Y M, KAHN F A, ARMENTROUT P B. State-specific reactions of Fe+(a6D, a4F) with D2O and reactions of FeO+ with D2[J]. J Phys Chem, 1994,98(26):6522-6529. doi: 10.1021/j100077a017

    9. [9]

      SIEGBAHN P E M. Comparison of the C-H activation of methane by M(C5H5)(CO) for M=cobalt, rhodium, and iridium[J]. J Am Chem Soc, 1996,118(6):1487-1496. doi: 10.1021/ja952338c

    10. [10]

      WITTBORN A M C, COSTAS M, BLOMBERG M R A, SIEGBAHN P E M. The C-H activation reaction of methane for all transition metal atoms from the three transition rows[J]. J Chem Phys, 1997,107(11):4318-4328. doi: 10.1063/1.474772

    11. [11]

      BERTHELOT S, GEHAIN E, HAHN F, LÉGER J M, SRINIVASAN S, LAMY C. Extended Abstracts, Electrochemical Society Meeting, Boston, 98-2, 1998, Abstract 1090.

    12. [12]

      BENSEBAA F, FARAH A A, WANG D, BOCK C, DU X, KUNG J, PAGE Y L. Microwave synthesis of polymer-embedded Pt-Ru catalyst for direct methanol fuel cell[J]. J Phys Chem B, 2005,109(32):15339-15344. doi: 10.1021/jp0519870

    13. [13]

      SAVADOGO O, LEE K, OISHI K, MITSUSHIMA S, KAMIYA N, OTA K I. New palladium alloys catalyst for the oxygen reduction reaction in an acid medium[J]. Electrochem Commun, 2004,6(2):105-109. doi: 10.1016/j.elecom.2003.10.020

    14. [14]

      JOGLEKAR M, NGUYEN V, PYLYPENKO S, NGO C, LI Q, O'REILLY M E, GRAY T S, HUBBARD W A, GUNNOE T B, HERRING A M, TREWYN B G. Organometallic complexes anchored to conductive carbon for electrocatalytic oxidation of methane at low temperature[J]. J Am Chem Soc, 2016,138(1):116-125. doi: 10.1021/jacs.5b06392

    15. [15]

      NETO A O, BRANDALISE M, DIAS R R, AYOUB J M S, SILVA A C, PENTEADO J C, LINARDI M, SPINACÉ E V. The performance of Pt nanoparticles supported on Sb2O5·SnO2, on carbon and on physical mixtures of Sb2O5·SnO2 and carbon for ethanol electro-oxidation[J]. Int J Hydrogen Energy, 2010,35(17):9177-9181. doi: 10.1016/j.ijhydene.2010.06.028

    16. [16]

      LI Z, GAO J, XING X, WU S, SHUANG S, DONG C, PAAU M C, CHOI M M F. Synthesis and characterization of n-alkylamine-stabilized palladium nanoparticles for electrochemical oxidation of methane[J]. J Phys Chem C, 2010,114(2):723-733. doi: 10.1021/jp907745v

    17. [17]

      AGARWAL N, FREAKLEY S J, MCVICKER R U, ALTHAHBAN S M, DIMITRATOS N, HE Q, MORGAN D J, JENKINS R L, WILLOCK D J, TAYLOR S H, KIELY=C J, HUTCHINGS G J. Aqueous Au-Pd colloids catalyze selective CH4 oxidation to CH3OH with O2 under mild conditions[J]. Science, 2017,358(6360):223-227. doi: 10.1126/science.aan6515

    18. [18]

      DA SILVA S G, FONTES E H, ASSUMP O M H M T, LINARDI M, SPINACÉ E V, SILVA J C M, NETO A O. Fuel cell and electrochemical studies of the ethanol electro-oxidation in alkaline media using PtAuIr/C as anodes[J]. Ionics, 2017,23(9):2367-2376. doi: 10.1007/s11581-017-2088-8

    19. [19]

      MAYA-CORNEJO J, CARRERA-CERRITOS R, SEBASTÍAN D, LEDESMA-GARCÍA J, ARRIAGA L G, ARICÒ A S, BAGLIO V. PtCu catalyst for the electro-oxidation of ethanol in an alkaline direct alcohol fuel cell[J]. Int J Hydrogen Energy, 2017,42(46):27919-27928. doi: 10.1016/j.ijhydene.2017.07.226

    20. [20]

      GUO J, CHEN R, ZHU F C, SUN S G, VILLULLAS H M. New understandings of ethanol oxidation reaction mechanism on Pd/C and Pd2Ru/C catalysts in alkaline direct ethanol fuel cells[J]. Appl Catal B:Environ, 2018,224(5):602-611.  

    21. [21]

      OTTONI C A, DE SOUZA R R, DA SILVA S G, SPINACÉ E V, DE SOUZA R F B, NETO A O. Performance of Pd electrocatalyst supported on a physical mixture indium tin oxide-carbon for glycerol electro-oxidation in alkaline media[J]. Electroanalysis, 2017,29(4):960-964. doi: 10.1002/elan.v29.4

    22. [22]

      SHIMANOUCHI T. National Bureau of Standards. 1972, 1-160.

    23. [23]

      HAHN F, MELENDRES C A. Anodic oxidation of methane at noble metal electrodes:An 'in situ' surface enhanced infrared spectroelectrochemical study[J]. Electrochimica Acta, 2001,46(23):3525-3534. doi: 10.1016/S0013-4686(01)00649-1

    24. [24]

      MILLIGAN D E, JACOX M E. Matrix-isolation study of the infrared and ultraviolet spectra of the free radical HCO. The hydrocarbon flame bands[J]. J Chem Phys, 1969,51(1):277-288. doi: 10.1063/1.1671720

    25. [25]

      COOL T A, SONG X M. Resonance ionization spectroscopy of HCO and DCO. Ⅱ. The B2A' state[J]. J Chem Phys, 96(12): 8675-8683.

  • 加载中
    1. [1]

      Junhua WangXin LianXichuan CaoQiao ZhaoBaiyan LiXian-He Bu . Dual polarization strategy to enhance CH4 uptake in covalent organic frameworks for coal-bed methane purification. Chinese Chemical Letters, 2024, 35(8): 109180-. doi: 10.1016/j.cclet.2023.109180

    2. [2]

      Liang Ma Zhou Li Zhiqiang Jiang Xiaofeng Wu Shixin Chang Sónia A. C. Carabineiro Kangle Lv . Effect of precursors on the structure and photocatalytic performance of g-C3N4 for NO oxidation and CO2 reduction. Chinese Journal of Structural Chemistry, 2024, 43(11): 100416-100416. doi: 10.1016/j.cjsc.2024.100416

    3. [3]

      Huixin ChenChen ZhaoHongjun YueGuiming ZhongXiang HanLiang YinDing Chen . Unraveling the reaction mechanism of high reversible capacity CuP2/C anode with native oxidation POx component for sodium-ion batteries. Chinese Chemical Letters, 2025, 36(1): 109650-. doi: 10.1016/j.cclet.2024.109650

    4. [4]

      Qinyao JiangBinhao WangZerui YanSicheng FanDafu TangBiwei XiaoQiulong Wei . Unraveling the pseudocapacitive sodium-ion storage mechanism of birnessite in organic electrolytes. Chinese Chemical Letters, 2025, 36(11): 110416-. doi: 10.1016/j.cclet.2024.110416

    5. [5]

      Qing LiYumei FengYingjie YuYazhou ChenYuhua XieFang LuoZehui Yang . Engineering eg filling of RuO2 enables a robust and stable acidic water oxidation. Chinese Chemical Letters, 2025, 36(3): 110612-. doi: 10.1016/j.cclet.2024.110612

    6. [6]

      Wenxiang ZhuKui YinMengjie MaQintao SunFan LiaoHui HuangJinxin ChenKun FengHao YangJun ZhongTao ChengMingwang ShaoYang LiuZhenhui Kang . Carbon-dots-facilitated oxygen migration in heterophase iridium oxide for enhanced acidic water oxidation. Chinese Chemical Letters, 2026, 37(4): 110749-. doi: 10.1016/j.cclet.2024.110749

    7. [7]

      Yanling YangZhenfa DingHuimin WangJianhui LiYanping ZhengHongquan GuoLi ZhangBing YangQingqing GuHaifeng XiongYifei Sun . Dynamic tracking of exsolved PdPt alloy/perovskite catalyst for efficient lean methane oxidation. Chinese Chemical Letters, 2024, 35(4): 108585-. doi: 10.1016/j.cclet.2023.108585

    8. [8]

      Sajid MahmoodHaiyan WangFang ChenYijun ZhongYong Hu . Recent progress and prospects of electrolytes for electrocatalytic nitrogen reduction toward ammonia. Chinese Chemical Letters, 2024, 35(4): 108550-. doi: 10.1016/j.cclet.2023.108550

    9. [9]

      Zimo Peng Quan Zhang Gaocan Qi Hao Zhang Qian Liu Guangzhi Hu Jun Luo Xijun Liu . Nanostructured Pt@RuOx catalyst for boosting overall acidic seawater splitting. Chinese Journal of Structural Chemistry, 2024, 43(1): 100191-100191. doi: 10.1016/j.cjsc.2023.100191

    10. [10]

      Fanxin Kong Hongzhi Wang Huimei Duan . Inhibition effect of sulfation on Pt/TiO2 catalysts in methane combustion. Chinese Journal of Structural Chemistry, 2024, 43(5): 100287-100287. doi: 10.1016/j.cjsc.2024.100287

    11. [11]

      Jiajun WangGuolin YiShengling GuoJianing WangShujuan LiKe XuWeiyi WangShulai Lei . Computational design of bimetallic TM2@g-C9N4 electrocatalysts for enhanced CO reduction toward C2 products. Chinese Chemical Letters, 2024, 35(7): 109050-. doi: 10.1016/j.cclet.2023.109050

    12. [12]

      Qin ChengMing HuangQingqing YeBangwei DengFan Dong . Indium-based electrocatalysts for CO2 reduction to C1 products. Chinese Chemical Letters, 2024, 35(6): 109112-. doi: 10.1016/j.cclet.2023.109112

    13. [13]

      Shuai Liu Wen Wu Peili Zhang Yunxuan Ding Chang Liu Yu Shan Ke Fan Fusheng Li . Mechanistic insights into acidic water oxidation by Mn(2,2′-bipyridine-6,6′-dicarboxylate)-based hydrogen-bonded organic frameworks. Chinese Journal of Structural Chemistry, 2025, 44(3): 100535-100535. doi: 10.1016/j.cjsc.2025.100535

    14. [14]

      Xiaoqian Wei Hanyu Gao Tiantian Wang Zijian Li Yanru Geng Guiping Zheng Min Gyu Kim Haeseong Jang Xien Liu Qing Qin . Neodymium-doped hollow Ir/IrO2 nanospheres with low geometric iridium density enable excellent acidic water oxidation performance. Chinese Journal of Structural Chemistry, 2025, 44(7): 100600-100600. doi: 10.1016/j.cjsc.2025.100600

    15. [15]

      Zhou Li Mengxue Yu Shixin Chang Zhibin Huang Zhenmin Cheng Weibin Zhang Sónia A. C. Carabineiro Zhigao Xu Kangle Lv . Enhancing the photocatalytic activity of crystalline g-C3N4 towards NO oxidation and CO2 reduction through K+-doping and cyano defect engineering. Chinese Journal of Structural Chemistry, 2026, 45(1): 100698-100698. doi: 10.1016/j.cjsc.2025.100698

    16. [16]

      Zonglin LiShihua ZouZining WangGeorgeta PostoleLiang HuHongying Zhao . Machine learning in electrochemical oxidation process: A mini-review. Chinese Chemical Letters, 2025, 36(8): 110526-. doi: 10.1016/j.cclet.2024.110526

    17. [17]

      Yi Herng ChanZhe Phak ChanSerene Sow Mun LockChung Loong YiinShin Ying FoongMee Kee WongMuhammad Anwar IshakVen Chian QuekShengbo GeSu Shiung Lam . Thermal pyrolysis conversion of methane to hydrogen (H2): A review on process parameters, reaction kinetics and techno-economic analysis. Chinese Chemical Letters, 2024, 35(8): 109329-. doi: 10.1016/j.cclet.2023.109329

    18. [18]

      Tinghui Yang Min Kuang Jianping Yang . Mesoporous CuCe dual-metal catalysts for efficient electrochemical reduction of CO2 to methane. Chinese Journal of Structural Chemistry, 2024, 43(8): 100350-100350. doi: 10.1016/j.cjsc.2024.100350

    19. [19]

      Shilong LiLiang DuanQiusheng GaoHengliang Zhang . Reduction of methane emission from microbial fuel cells during sulfamethoxazole wastewater treatment. Chinese Chemical Letters, 2025, 36(6): 110997-. doi: 10.1016/j.cclet.2025.110997

    20. [20]

      Qiyan WuRuixin ZhouZhangyi YaoTanyuan WangQing Li . Effective approaches for enhancing the stability of ruthenium-based electrocatalysts towards acidic oxygen evolution reaction. Chinese Chemical Letters, 2024, 35(10): 109416-. doi: 10.1016/j.cclet.2023.109416

Metrics
  • PDF Downloads(10)
  • Abstract views(1425)
  • HTML views(84)

通讯作者: 陈斌, bchen63@163.com
  • 1. 

    沈阳化工大学材料科学与工程学院 沈阳 110142

  1. 本站搜索
  2. 百度学术搜索
  3. 万方数据库搜索
  4. CNKI搜索
Address:Zhongguancun North First Street 2,100190 Beijing, PR China Tel: +86-010-82449177-888
Powered By info@rhhz.net

/

DownLoad:  Full-Size Img  PowerPoint
Return