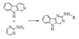
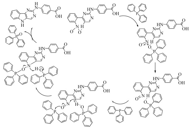
Design and Synthesis of 4-(5H-Pyrimido[5, 4-b]indol-2-yl-amino)Benzamide Derivatives as Antitumor Agents
- Corresponding author: Wan Li, wanli8801@163.com
Citation:
Wen Qianwen, Li Yong, Su Zhengying, Wan Li. Design and Synthesis of 4-(5H-Pyrimido[5, 4-b]indol-2-yl-amino)Benzamide Derivatives as Antitumor Agents[J]. Chemistry,
;2019, 82(4): 350-358.
Y X Fan, A Patima, Y Chen et al. Int. J. Clin. Exp. Med., 2015, 8(8): 12977~12982.
C Li, Y H Wang, C H Wang et al. Phytomedicine, 2017, 28: 10~18.
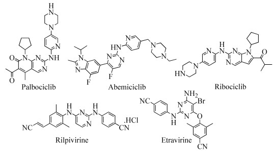
U Asghar, A K Witkiewicz, N C Turner et al. Nat. Rev. Drug Discov., 2015, 14(2): 130~146.
A Argade, S Bhamidipati, H Li et al. Bioorg. Med. Chem. Lett., 2015, 25(10): 2122~2126.
R L Siegel, K D Miller, A Jemal. CA: Cancer. J. Clin., 2018, 68(1): 7~30.
Q Yan, Y Z Chen, B Y Tang et al. Eur. J. Med. Chem., 2018, 152: 298~306.
Jing WU , Puzhen HUI , Huilin ZHENG , Pingchuan YUAN , Chunfei WANG , Hui WANG , Xiaoxia GU . Synthesis, crystal structures, and antitumor activities of transition metal complexes incorporating a naphthol-aldehyde Schiff base ligand. Chinese Journal of Inorganic Chemistry, 2024, 40(12): 2422-2428. doi: 10.11862/CJIC.20240278
Xinting XIONG , Zhiqiang XIONG , Panlei XIAO , Xuliang NIE , Xiuying SONG , Xiuguang YI . Synthesis, crystal structures, Hirshfeld surface analysis, and antifungal activity of two complexes Na(Ⅰ)/Cd(Ⅱ) assembled by 5-bromo-2-hydroxybenzoic acid ligands. Chinese Journal of Inorganic Chemistry, 2024, 40(9): 1661-1670. doi: 10.11862/CJIC.20240145
Bin SUN , Heyan JIANG . Glucose-modified bis-Schiff bases: Synthesis and bio-activities in Alzheimer′s disease therapy. Chinese Journal of Inorganic Chemistry, 2025, 41(7): 1338-1350. doi: 10.11862/CJIC.20240428
Lifang HE , Wenjie TANG , Yaoze LUO , Mingsheng LIANG , Jianxin TANG , Yuxuan WU , Fuxing ZHANG , Xiaoming ZHU . Synthesis, structure, and anticancer activity of two dialkyltin complexes constructed based on 2, 2′-bipyridin-6, 6′-dicarboxylic acid. Chinese Journal of Inorganic Chemistry, 2025, 41(8): 1601-1609. doi: 10.11862/CJIC.20250012
Lixing ZHANG , Yaowen WANG , Xu HAN , Junhong ZHOU , Jinghui WANG , Liping LI , Guangshe LI . Research progress in the synthesis of fluorine-containing perovskites and their derivatives. Chinese Journal of Inorganic Chemistry, 2025, 41(9): 1689-1701. doi: 10.11862/CJIC.20250007
Ying Chen , Ronghua Yan , Weiyan Yin . Research Progress on the Synthesis of Metal Single-Atom Catalysts and Their Applications in Electrocatalytic Hydrogen Evolution Reactions. University Chemistry, 2025, 40(9): 344-353. doi: 10.12461/PKU.DXHX202503066
Jiaming Xu , Yu Xiang , Weisheng Lin , Zhiwei Miao . Research Progress in the Synthesis of Cyclic Organic Compounds Using Bimetallic Relay Catalytic Strategies. University Chemistry, 2024, 39(3): 239-257. doi: 10.3866/PKU.DXHX202309093
Xinyi Zhang , Kai Ren , Yanning Liu , Zhenyi Gu , Zhixiong Huang , Shuohang Zheng , Xiaotong Wang , Jinzhi Guo , Igor V. Zatovsky , Junming Cao , Xinglong Wu . Progress on Entropy Production Engineering for Electrochemical Catalysis. Acta Physico-Chimica Sinica, 2024, 40(7): 2307057-0. doi: 10.3866/PKU.WHXB202307057
Lei Feng , Ze-Min Zhu , Ying Yang , Zongbin He , Jiafeng Zou , Man-Bo Li , Yan Zhao , Zhikun Wu . Long-Pursued Structure of Au23(S-Adm)16 and the Unexpected Doping Effects. Acta Physico-Chimica Sinica, 2024, 40(5): 2305029-0. doi: 10.3866/PKU.WHXB202305029
Chunling Qin , Shuang Chen , Hassanien Gomaa , Mohamed A. Shenashen , Sherif A. El-Safty , Qian Liu , Cuihua An , Xijun Liu , Qibo Deng , Ning Hu . Regulating HER and OER Performances of 2D Materials by the External Physical Fields. Acta Physico-Chimica Sinica, 2024, 40(9): 2307059-0. doi: 10.3866/PKU.WHXB202307059
Ping Song , Nan Zhang , Jie Wang , Rui Yan , Zhiqiang Wang , Yingxue Jin . Experimental Teaching Design on Synthesis and Antitumor Activity Study of Cu-Pyropheophorbide-a Methyl Ester. University Chemistry, 2024, 39(6): 278-286. doi: 10.3866/PKU.DXHX202310087
Aidang Lu , Yunting Liu , Yanjun Jiang . Comprehensive Organic Chemistry Experiment: Synthesis and Characterization of Triazolopyrimidine Compounds. University Chemistry, 2024, 39(8): 241-246. doi: 10.3866/PKU.DXHX202401029
Xiaotong LU , Pan ZHANG , Zijie ZHAO , Lei HUANG , Hongwei ZUO , Lili LIANG . Antitumor and antibacterial activities of pyridyl Schiff base indium and dysprosium complexes. Chinese Journal of Inorganic Chemistry, 2025, 41(8): 1523-1532. doi: 10.11862/CJIC.20250073
Caixia Lin , Zhaojiang Shi , Yi Yu , Jianfeng Yan , Keyin Ye , Yaofeng Yuan . Ideological and Political Design for the Electrochemical Synthesis of Benzoxathiazine Dioxide Experiment. University Chemistry, 2024, 39(2): 61-66. doi: 10.3866/PKU.DXHX202309005
Yinuo Wang , Ziyu Liu , Hongxia Tan , Jun Tong , Dazhen Xu . Synthesis of Bromobenzoxazine: Introduce a Comprehensive Organic Chemistry Experiment Transformed from Undergraduate Research Innovation. University Chemistry, 2025, 40(10): 208-216. doi: 10.12461/PKU.DXHX202411077
Liping GUO . Synthesis and crystal structure characterization of yttrium imido complex: The reactivity of 2-substituted-1-amino-o-carborane with yttrium dialkyl complex. Chinese Journal of Inorganic Chemistry, 2025, 41(7): 1409-1415. doi: 10.11862/CJIC.20250065
Jichao XU , Ming HU , Xichang CHEN , Chunhui WANG , Leichen WANG , Lingyi ZHOU , Xing HE , Xiamin CHENG , Su JING . Construction and hydrogen peroxide-activated chemodynamic activity of ferrocene?benzoselenadiazole conjugate. Chinese Journal of Inorganic Chemistry, 2025, 41(8): 1495-1504. doi: 10.11862/CJIC.20250144
Chi Li , Jichao Wan , Qiyu Long , Hui Lv , Ying Xiong . N-Heterocyclic Carbene (NHC)-Catalyzed Amidation of Aldehydes with Nitroso Compounds. University Chemistry, 2024, 39(5): 388-395. doi: 10.3866/PKU.DXHX202312016
Yuena Yu , Fang Fang . Microwave-Assisted Synthesis of Safinamide Methanesulfonate. University Chemistry, 2024, 39(11): 210-216. doi: 10.3866/PKU.DXHX202401076
Xinghai Li , Zhisen Wu , Lijing Zhang , Shengyang Tao . Machine Learning Enables the Prediction of Amide Bond Synthesis Based on Small Datasets. Acta Physico-Chimica Sinica, 2025, 41(2): 100010-0. doi: 10.3866/PKU.WHXB202309041