Citation: ZHENG Hong-yan, WANG Yue-qing, CHANG Xi-liang, NIU Yu-lan, YANG Hong, SONG Yong-bo, YAO Ying, DING Guo-qiang, ZHU Yu-lei. Catalytic conversion of sweet sorghum stalk juice to furan compounds over Hβ zeolite[J]. Journal of Fuel Chemistry and Technology, ;2019, 47(5): 605-610. shu

Catalytic conversion of sweet sorghum stalk juice to furan compounds over Hβ zeolite

  • Corresponding author: NIU Yu-lan, 30863711@qq.com DING Guo-qiang, dingguoqiang@synfuelschina.com.cn
  • Received Date: 17 January 2019
    Revised Date: 20 February 2019

    Fund Project: The project was supported by the National Science Foundation of China 21875276The project was supported by the National Science Foundation of China (21875276)

Figures(2)

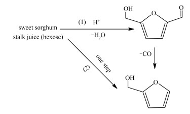
  • The conversion of sweet sorghum stalk juice rich in sucrose, glucose and fructose to furan compounds (5-hydroxymethylfurfural or furfural) was investigated over Hβ zeolite in γ-butyrolactone solvent. The results indicated that the main product for the conversion of sweet sorghum stalk juice (SSSJ) was 5-hydroxymethylfurfural; however, high yield of furfural was obtained in the conversion of model sweet sorghum stalk juice (MSSSJ) containing the same amount of hexose under the same conditions. The 27Al MAS NMR results showed that ion-exchange took place between the Hβ zeolite and alkaline ions (mainly potassium) in the sweet sorghum stalk juice, resulting in the transformation of octahedrally coordinated aluminum into tetrahedrally coordinated framework aluminum. As an appropriate configuration environment of aluminum for Hβ was necessary for the formation of furfural from hexose, high yield of 5-hydroxymethylfurfural was achieved for the conversion of sweet sorghum stalk juice (SSSJ) due to the ion-exchange of Hβ with alkaline ions.
  • 加载中
    1. [1]

      YUAN Zheng-qiu, LONG Jin-xing, ZHANG Xing-hua, XIA Ying, WANG Tie-jun, MA Long-long. Catalytic conversion of lignocellulose into energy platform chemicals[J]. Prog Chem, 2016,28(1):103-110.  

    2. [2]

      YU Jie, WANG Jing-yun, WANG Zhen, ZHOU Ming-dong, WANG Hai-yan. Catalytic performance of silicalite-1 modified HY zeolite in the hydrolysis of cellulose[J]. J Fuel Chem Technol, 2018,46(12):1447-1453. doi: 10.3969/j.issn.0253-2409.2018.12.005 

    3. [3]

      WANG Y Q, DING G Q, YANG X H, ZHENG H Y, ZHU Y L, LI Y W. Selectively convert fructose to furfural or hydroxymethylfurfural on Beta zeolite:The manipulation of solvent effects[J]. Appl Catal B:Environ, 2018,235:150-157. doi: 10.1016/j.apcatb.2018.04.043

    4. [4]

      LANGE J P, VAN DER HEIDE E, VAN BUIJTENEN J, PRICE R. Furfural-a promising platform for lignocellulosic biofuels[J]. ChemSusChem, 2012,5(1):150-166. doi: 10.1002/cssc.201100648

    5. [5]

      TAN Jin, WANG Chen-guang, CHEN Lun-gang, XU Ying, ZHANG Qi, MA Long-long. Progress on conversion of cellulosic carbohydrates into furfural[J]. Adv New Renew Energy, 2018,6(1):1-7. doi: 10.3969/j.issn.2095-560X.2018.01.001

    6. [6]

      DUTTA S, DE S, SAHA B, ALAM MD I. Advances in conversion of hemicellulosic biomass to furfural and upgrading to biofuels[J]. Catal Sci Technol, 2012,2(10):2025-2036. doi: 10.1039/c2cy20235b

    7. [7]

      YANG Y, HU C W, ABU-OMAR M M. Synthesis of furfural from xylose, xylan, and biomass using AlCl3·6H2O in biphasic media via xylose isomerization to xylulose[J]. ChemSusChem, 2012,5(2):405-410. doi: 10.1002/cssc.201100688

    8. [8]

      WANG C M, XU H M, DANIELA R, GHAFOURIANA A, HERREROSC J M, SHUAI S J, MA X. Combustion characteristics and emissions of 2-methylfuran compared to 2, 5-dimethylfuran, gasoline and ethanol in a DISI engine[J]. Fuel, 2013,103:200-211. doi: 10.1016/j.fuel.2012.05.043

    9. [9]

      GÜRBÜZ E I, GALLO J R, ALONSO D M, WETTSTEIN S G, LIM W Y, DUMESIC J A. Conversion of hemicellulose into furfural using solid acid catalysts in γ-valerolactone[J]. Angew Chem Int Ed, 2013,52(4):1270-1274. doi: 10.1002/anie.201207334

    10. [10]

      CUI J, TAN J, DENG T, CUI X, ZHU Y, LI Y. Conversion of carbohydrates to furfural via selective cleavage of the carbon-carbon bond:The cooperative effects of zeolite and solvent[J]. Green Chem, 2016,18(6):1619-1624. doi: 10.1039/C5GC01948F

    11. [11]

      LIU Rong-hou, LI Jin-xia, SHEN Fei, SUN Qing. Ethanol fermentation of sweet sorghum stalk juice by immobilized yeast[J]. Trans CSAE, 2005,21(9):137-140. doi: 10.3321/j.issn:1002-6819.2005.09.030

    12. [12]

      MEI Xiao-yan, LIU Rong-hou, SHEN Fei. Experimental research on storage of condensed stalk juice and composition analysis of juice of sweet sorghum Stalk[J]. Trans CSAE, 2008,24(1):218-223. doi: 10.3321/j.issn:1002-6819.2008.01.043

    13. [13]

      CHEN Chao-ru, WANG Zhi, MA Qiang, ZHANG Li-na, XI Ya-jun, DUN Bao-qing, LI Gui-ying, LU Ming, DU Feng-guang. Optimization of ethanol production from bagasse and juice of sweet sorghum stem by simultaneous saccharification and fermentation[J]. Trans CSAE, 2016,32(3):253-258.  

    14. [14]

      DEESUTH O, LAOPAIBOON P, LAOPAIBOON L. High ethanol production under optimal aeration conditions and yeast composition in a very high gravity fermentation from sweet sorghum juice by Saccharomyces cerevisiae[J]. Ind Crop Prod, 2016,92:263-270. doi: 10.1016/j.indcrop.2016.07.042

    15. [15]

      THANI A, LAOPAIBOON P, LAOPAIBOON L. Improvement of a continuous ethanol fermentation from sweet sorghumstem juice using a cell recycling system[J]. J Biotechnol, 2017,251:21-29. doi: 10.1016/j.jbiotec.2017.03.030

    16. [16]

      LI Tong-lin, LIU Xin-yao, PIAO Yu-ling, CAI Cun-fei, WANG Xiang-sheng. Alkylation of naphthalene with various alkylating agents over some zelolites[J]. Chin J Catal, 1998,19(2):181-183. doi: 10.3321/j.issn:0253-9837.1998.02.019

    17. [17]

      YANG Y, DU Z, MA J, LU F, ZHANG J, XU J. Biphasic catalytic conversion of fructose by continuous hydrogenation of HMF over a hydrophobic ruthenium catalyst[J]. ChemSusChem, 2014,7(5):1352-1356. doi: 10.1002/cssc.201301270

    18. [18]

      BOURGEAT-LAMI E, MASSIANI P, DI RENZO F, ESPIAU P, FAJULA F. Study of the state of aluminium in zeolite-β[J]. Appl Catal, 1991,72(1):139-152. doi: 10.1016/0166-9834(91)85034-S

    19. [19]

      MENG Q, QIU C, ZHENG H, LI X, ZHU Y, LI Y. Efficient decarbonylation of 5-hydroxymethylfurfural over an Pd/Al2O3 catalyst:Preparation via electrostatic attraction between Pd(Ⅱ) complex and anionic Al2O3[J]. Mol Catal, 2017,433:111-121. doi: 10.1016/j.mcat.2017.02.035

  • 加载中
    1. [1]

      Meiran LiYingjie SongXin WanYang LiYiqi LuoYeheng HeBowen XiaHua ZhouMingfei Shao . Nickel-Vanadium Layered Double Hydroxides for Efficient and Scalable Electrooxidation of 5-Hydroxymethylfurfural Coupled with Hydrogen Generation. Acta Physico-Chimica Sinica, 2024, 40(9): 2306007-0. doi: 10.3866/PKU.WHXB202306007

    2. [2]

      Ze LuoYukun ZhuYadan LuoGuangmin RenYonghong WangHua Tang . Photocatalytic selective oxidation of 5-hydroxymethylfurfural coupled with H2 evolution over In2O3/ZnIn2S4 S-scheme heterojunction. Acta Physico-Chimica Sinica, 2026, 42(3): 100166-0. doi: 10.1016/j.actphy.2025.100166

    3. [3]

      Yihao Zhao Jitian Rao Jie Han . Synthesis and Photochromic Properties of 3,3-Diphenyl-3H-Naphthopyran: Design and Teaching Practice of a Comprehensive Organic Experiment. University Chemistry, 2024, 39(10): 149-155. doi: 10.3866/PKU.DXHX202402050

    4. [4]

      Hao Wu Zhen Liu Dachang Bai1H NMR Spectrum of Amide Compounds. University Chemistry, 2024, 39(3): 231-238. doi: 10.3866/PKU.DXHX202309020

    5. [5]

      Qianlang Wang Jijun Sun Qian Chen Quanqin Zhao Baojuan Xi . The Appeal of Organophosphorus Compounds: Clearing Their Name. University Chemistry, 2025, 40(4): 299-306. doi: 10.12461/PKU.DXHX202405205

    6. [6]

      Zhiqiang XINGJinling LIUMingmin SULei ZHANGLijun YANG . CoNi dual-single-atom catalyst for electrocatalytic H2O2 production and in situ electro-Fenton degradation of pollutants. Chinese Journal of Inorganic Chemistry, 2025, 41(12): 2479-2490. doi: 10.11862/CJIC.20250181

    7. [7]

      Chi Li Jichao Wan Qiyu Long Hui Lv Ying XiongN-Heterocyclic Carbene (NHC)-Catalyzed Amidation of Aldehydes with Nitroso Compounds. University Chemistry, 2024, 39(5): 388-395. doi: 10.3866/PKU.DXHX202312016

    8. [8]

      Ying Xiong Guangao Yu Lin Wu Qingwen Liu Houjin Li Shuanglian Cai Zhanxiang Liu Xingwen Sun Yuan Zheng Jie Han Xin Du Chengshan Yuan Qihan Zhang Jianrong Zhang Shuyong Zhang . Basic Operations and Specification Suggestions for Determination of Physical Constants of Organic Compounds. University Chemistry, 2025, 40(5): 106-121. doi: 10.12461/PKU.DXHX202503079

    9. [9]

      Yongjian Zhang Fangling Gao Hong Yan Keyin Ye . Electrochemical Transformation of Organosulfur Compounds. University Chemistry, 2025, 40(5): 311-317. doi: 10.12461/PKU.DXHX202407035

    10. [10]

      Nan Xiao Fang Sun . 二芳基硫醚化合物的构建及应用. University Chemistry, 2025, 40(6): 360-363. doi: 10.12461/PKU.DXHX202407099

    11. [11]

      Yerong Chen Bingbin Yang Xinglei He Yuqi Lin Keyin Ye . Enzyme-Directed Evolution Enables Bioconversion of Organosilicon Compounds. University Chemistry, 2025, 40(10): 121-129. doi: 10.12461/PKU.DXHX202411054

    12. [12]

      Qiwen Chen Baolei Wang . Research Progress on One-Electron σ-Bond of Organic Compounds. University Chemistry, 2025, 40(11): 191-198. doi: 10.12461/PKU.DXHX202412136

    13. [13]

      Jiaxi Xu Yuan Ma . Stable Conformation of Several Common Aromatic Compounds. University Chemistry, 2025, 40(12): 183-186. doi: 10.12461/PKU.DXHX202508007

    14. [14]

      Jingzhao ChengShiyu GaoBei ChengKai YangWang WangShaowen Cao . Construction of 4-Amino-1H-imidazole-5-carbonitrile Modified Carbon Nitride-Based Donor-Acceptor Photocatalyst for Efficient Photocatalytic Hydrogen Evolution. Acta Physico-Chimica Sinica, 2024, 40(11): 2406026-0. doi: 10.3866/PKU.WHXB202406026

    15. [15]

      Geyang Song Dong Xue Gang Li . Recent Advances in Transition Metal-Catalyzed Synthesis of Anilines from Aryl Halides. University Chemistry, 2024, 39(2): 321-329. doi: 10.3866/PKU.DXHX202308030

    16. [16]

      Jiaming Xu Yu Xiang Weisheng Lin Zhiwei Miao . Research Progress in the Synthesis of Cyclic Organic Compounds Using Bimetallic Relay Catalytic Strategies. University Chemistry, 2024, 39(3): 239-257. doi: 10.3866/PKU.DXHX202309093

    17. [17]

      Aidang Lu Yunting Liu Yanjun Jiang . Comprehensive Organic Chemistry Experiment: Synthesis and Characterization of Triazolopyrimidine Compounds. University Chemistry, 2024, 39(8): 241-246. doi: 10.3866/PKU.DXHX202401029

    18. [18]

      Xilin Zhao Xingyu Tu Zongxuan Li Rui Dong Bo Jiang Zhiwei Miao . Research Progress in Enantioselective Synthesis of Axial Chiral Compounds. University Chemistry, 2024, 39(11): 158-173. doi: 10.12461/PKU.DXHX202403106

    19. [19]

      Hanxue LIUShijie LIMeng RENXuling XUEHongke LIU . Design and antitumor properties of dehydroabietic acid functionalized cyclometalated iridium(Ⅲ) complex. Chinese Journal of Inorganic Chemistry, 2025, 41(8): 1483-1494. doi: 10.11862/CJIC.20250031

    20. [20]

      Xiaodong Chen Yumin Zhang . An Improved Simulated Annealing Algorithm for Predicting the Molecular Formulas of Organic Compounds. University Chemistry, 2025, 40(9): 19-24. doi: 10.12461/PKU.DXHX202408095

Metrics
  • PDF Downloads(6)
  • Abstract views(1330)
  • HTML views(127)

通讯作者: 陈斌, bchen63@163.com
  • 1. 

    沈阳化工大学材料科学与工程学院 沈阳 110142

  1. 本站搜索
  2. 百度学术搜索
  3. 万方数据库搜索
  4. CNKI搜索
Address:Zhongguancun North First Street 2,100190 Beijing, PR China Tel: +86-010-82449177-888
Powered By info@rhhz.net

/

DownLoad:  Full-Size Img  PowerPoint
Return