Citation:
Yu Xiang, Chen Yafang. Microwave-Assisted Synthesis of 5-Arylienne-2, 3-diphenylthiazolidin-4-one Derivatives[J]. Chemistry,
;2018, 81(7): 657-659.
-
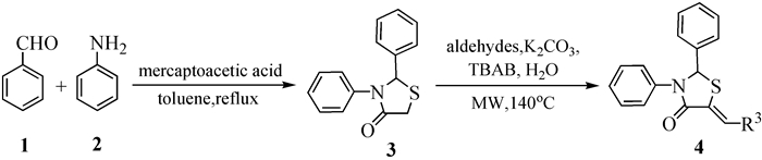
A new and efficient Knoevenagel reaction via microwave irradiation to form 5-arylidene-2, 3-diphenylthiazolidin-4-ones is described. Using K2CO3 as dehydrogenase reagents, H2O as solvent, TBAB as the catalyst, a series of 5-arylidene-2, 3-diphenyl-thiazolidin-4-ones were successfully obtained in excellent yields from 2, 3-diphenylthiazolidin-4-ones.
-
-
-
[1]
D V Kamins'kyi, D V Khylyuk, R B Lesyk. Farmatsevtichnii Zhurnal (Kiev, Ukraine), 2010, 6:36-43.
-
[2]
R Ottana, R Maccari, M L Barreca et al. Bioorg. Med. Chem., 2005, 13:4243-4252.
- [3]
-
[4]
A P Krishchishin, D V Kaminskii, N I Zelisko et al. Zhurnal Organichnoi ta Farmatsevtichnoi Khimii, 2013, 11(2):57-62.
-
[5]
R Lakhan, R L Singh. J. Agr. Food Chem., 1991, 39(3):580-583
-
[6]
O Nuket, A Feray, T Zuhal. J. Heterocycl. Chem., 2003, 40(4):721-724.
-
[7]
-
[8]
-
[9]
Z P Che, N Huang, X Yu et al. Comb. Chem. High T. Scr., 2013, 16(5):400-407.
-
[1]
-
-
-
[1]
Zhongyan Cao , Shengnan Jin , Yuxia Wang , Yiyi Chen , Xianqiang Kong , Yuanqing Xu . Advances in Highly Selective Reactions Involving Phenol Derivatives as Aryl Radical Precursors. University Chemistry, 2025, 40(4): 245-252. doi: 10.12461/PKU.DXHX202405186
-
[2]
Xiaofei Liu , He Wang , Li Tao , Weimin Ren , Xiaobing Lu , Wenzhen Zhang . Electrocarboxylation of Benzylic Phosphates and Phosphinates with Carbon Dioxide. Acta Physico-Chimica Sinica, 2024, 40(9): 2307008-0. doi: 10.3866/PKU.WHXB202307008
-
[3]
Min LI , Xianfeng MENG . Preparation and microwave absorption properties of ZIF-67 derived Co@C/MoS2 nanocomposites. Chinese Journal of Inorganic Chemistry, 2024, 40(10): 1932-1942. doi: 10.11862/CJIC.20240065
-
[4]
Jianfeng Yan , Yating Xiao , Xin Zuo , Caixia Lin , Yaofeng Yuan . Comprehensive Chemistry Experimental Design of Ferrocenylphenyl Derivatives. University Chemistry, 2024, 39(4): 329-337. doi: 10.3866/PKU.DXHX202310005
-
[5]
Siran Wang , Yinuo Wang , Yilong Zhao , Dazhen Xu . Advances in the Application and Preparation of Rhodanine and Its Derivatives. University Chemistry, 2025, 40(5): 318-327. doi: 10.12461/PKU.DXHX202407033
-
[6]
Lixing ZHANG , Yaowen WANG , Xu HAN , Junhong ZHOU , Jinghui WANG , Liping LI , Guangshe LI . Research progress in the synthesis of fluorine-containing perovskites and their derivatives. Chinese Journal of Inorganic Chemistry, 2025, 41(9): 1689-1701. doi: 10.11862/CJIC.20250007
-
[7]
Jia-He Li , Yu-Ze Liu , Jia-Hui Ma , Qing-Xiao Tong , Jian-Ji Zhong , Jing-Xin Jian . 洛芬碱衍生物的合成、化学发光与重金属离子检测. University Chemistry, 2025, 40(6): 230-237. doi: 10.12461/PKU.DXHX202407080
-
[8]
Tengyue ZHANG , Jingjing FENG , Zili LIANG , Jia′nan DAI , Jing MA . Optimization of C-doped BiVO4 performance for tetracycline degradation using response surface methodology-assisted orthogonal experiments. Chinese Journal of Inorganic Chemistry, 2025, 41(12): 2561-2574. doi: 10.11862/CJIC.20250104
-
[9]
Tianze Wang , Junyi Ren , Dongxiang Zhang , Huan Wang , Jianjun Du , Xin-Dong Jiang , Guiling Wang . Development of functional dye with redshifted absorption based on Knoevenagel condensation at 1-site in phenyl[b]-fused BODIPY. Chinese Chemical Letters, 2024, 35(6): 108862-. doi: 10.1016/j.cclet.2023.108862
-
[10]
Xiyuan Zhang , Rui Dong , Yang Yang , Jiapeng Ding , Zhiwei Miao . Palladium-Catalyzed Tandem Cyclization of 4-Vinylbenzoxazinone and Indene-2-carbaldehyde: A Comprehensive Organic Chemistry Experiment. University Chemistry, 2025, 40(9): 361-367. doi: 10.12461/PKU.DXHX202410062
-
[11]
Jianjun LI , Mingjie REN , Lili ZHANG , Lingling ZENG , Huiling WANG , Xiangwu MENG . UV-assisted degradation of tetracycline hydrochloride by MnFe2O4@activated carbon activated persulfate. Chinese Journal of Inorganic Chemistry, 2024, 40(10): 1869-1880. doi: 10.11862/CJIC.20240187
-
[12]
Chengyan Ge , Jiawei Hu , Xingyu Liu , Yuxi Song , Chao Liu , Zhigang Zou . Self-integrated black NiO clusters with ZnIn2S4 microspheres for photothermal-assisted hydrogen evolution by S-scheme electron transfer mechanism. Acta Physico-Chimica Sinica, 2026, 42(1): 100154-0. doi: 10.1016/j.actphy.2025.100154
-
[13]
Yuena Yu , Fang Fang . Microwave-Assisted Synthesis of Safinamide Methanesulfonate. University Chemistry, 2024, 39(11): 210-216. doi: 10.3866/PKU.DXHX202401076
-
[14]
Yonghui ZHOU , Rujun HUANG , Dongchao YAO , Aiwei ZHANG , Yuhang SUN , Zhujun CHEN , Baisong ZHU , Youxuan ZHENG . Synthesis and photoelectric properties of fluorescence materials with electron donor-acceptor structures based on quinoxaline and pyridinopyrazine, carbazole, and diphenylamine derivatives. Chinese Journal of Inorganic Chemistry, 2024, 40(4): 701-712. doi: 10.11862/CJIC.20230373
-
[15]
Yikai Wang , Xiaolin Jiang , Haoming Song , Nan Wei , Yifan Wang , Xinjun Xu , Cuihong Li , Hao Lu , Yahui Liu , Zhishan Bo . Thickness-Insensitive, Cyano-Modified Perylene Diimide Derivative as a Cathode Interlayer Material for High-Efficiency Organic Solar Cells. Acta Physico-Chimica Sinica, 2025, 41(3): 100027-0. doi: 10.3866/PKU.WHXB202406007
-
[16]
Tianlong Zhang , Rongling Zhang , Hongsheng Tang , Yan Li , Hua Li . Online Monitoring and Mechanistic Analysis of 3,5-diamino-1,2,4-triazole (DAT) Synthesis via Raman Spectroscopy: A Recommendation for a Comprehensive Instrumental Analysis Experiment. University Chemistry, 2024, 39(6): 303-311. doi: 10.3866/PKU.DXHX202312006
-
[17]
Liuxie Liu , Jing He , Jiali Du , Shuang Mao , Qianggen Li . Extension of Computational Chemical-Assisted Dipole Moment Measurement Experiment. University Chemistry, 2025, 40(3): 363-370. doi: 10.12461/PKU.DXHX202407108
-
[18]
Haotong Ma , Mingyu Heng , Yang Xu , Wei Bi , Yingchun Miao , Shuning Xiao . Synergistic carbon doping and Cu loading on boron nitride via microwave synthesis for enhanced atmospheric CO2 photoreduction. Acta Physico-Chimica Sinica, 2025, 41(11): 100132-0. doi: 10.1016/j.actphy.2025.100132
-
[19]
Meifeng Zhu , Jin Cheng , Kai Huang , Cheng Lian , Shouhong Xu , Honglai Liu . Classical Density Functional Theory for Understanding Electrochemical Interface. University Chemistry, 2025, 40(3): 148-152. doi: 10.12461/PKU.DXHX202405166
-
[20]
Lina Guo , Ruizhe Li , Chuang Sun , Xiaoli Luo , Yiqiu Shi , Hong Yuan , Shuxin Ouyang , Tierui Zhang . Effect of Interlayer Anions in Layered Double Hydroxides on the Photothermocatalytic CO2 Methanation of Derived Ni-Al2O3 Catalysts. Acta Physico-Chimica Sinica, 2025, 41(1): 100002-0. doi: 10.3866/PKU.WHXB202309002
-
[1]
Metrics
- PDF Downloads(4)
- Abstract views(560)
- HTML views(82)
Login In
DownLoad: