Citation: LI Mei, JIN Quan, SUN Gong-cheng, CHENG Xue-yun, LI Jia-jia, XU Rong-sheng. Removal mechanism of organic sulfur in coal assisted by microwave irradiation[J]. Journal of Fuel Chemistry and Technology, ;2019, 47(10): 1153-1162. shu

Removal mechanism of organic sulfur in coal assisted by microwave irradiation

  • Corresponding author: LI Mei, echolimei@126.com
  • Received Date: 20 May 2019
    Revised Date: 9 July 2019

    Fund Project: Graduate Innovation Project of North Minzu University YCX19114Research Platform Project of North Minzu University 201707the National Science Foundation of China 21666001The project was supported by the National Science Foundation of China (21666001), Scientific Research Project of North Minzu University (2017HG04), Major Research Project of North Minzu University (ZDZX201803), Research Platform Project of North Minzu University (201707) and Graduate Innovation Project of North Minzu University (YCX19114)Scientific Research Project of North Minzu University 2017HG04Major Research Project of North Minzu University ZDZX201803

Figures(9)

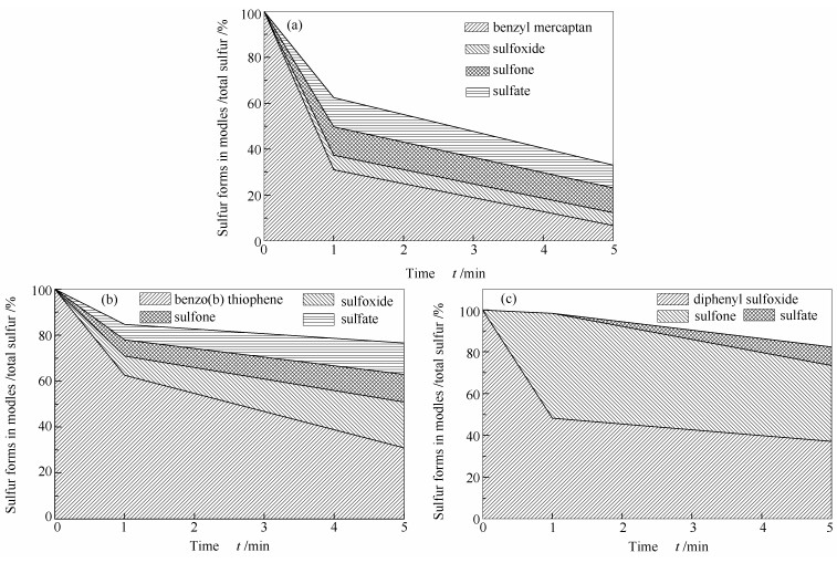
  • In order to clarify the effect of microwave field combined with peracetic acid (PAA) on the removal of organic sulfur in coal, four demineralized coals including Shanxi Linfeng (LF), Ningxia Ningdong (ND), Shanxi Lingshi (LS) and Henan Luoyang (LY) coal were selected, and three sulfur-containing model compounds including benzyl mercaptan (BM), benzo(b) thiophene (BT) and diphenyl sulfoxide (DS) were used as well. Each test, the microwave with the power of 100 W irradiated coal for 1-5 min combined with PAA. The change of sulfur form in the solid phase was analyzed by X-ray photoelectron spectroscopy (XPS). The concentration of SO42- in the liquid phase after desulfurization was analyzed by ion chromatography (IC), and the change of sulfur form in the extract was analyzed by gas chromatography/mass spectrometry (GC/MS). The results show that the higher the organic sulfur content, the greater the desulfurization rate. The maximum desulfurization rates of LY and LS are as high as 55.06% and 45.78%, respectively, and the maximum desulfurization rates of ND and LF are 31.24% and 28.21%, respectively. It is found that the organic sulfur as mercaptan in coal is easier to remove than that as thiophene and sulfoxide, and the sulfur form gradually transforms to a high valence state during desulfurization. The sulfur-containing bond is broken in the microwave field and the sulfur can be oxidized to SO42- by PAA finally.
  • 加载中
    1. [1]

      SAIKIA B K, DUTTA A M, SAIKIA L, AHMED S, BARUAH B P. Ultrasonic assisted cleaning of high sulphur Indian coals in water and mixed alkal[J]. Fuel Process Technol, 2014,123:107-113. doi: 10.1016/j.fuproc.2014.01.037

    2. [2]

      SHINN J H. From coal to single-stage and two-stage products: A reactive model of coal structure[J]. Fuel, 1984,63(9):1187-1196. doi: 10.1016/0016-2361(84)90422-8

    3. [3]

      XIE Ke-chang. Structure and Reactivity of Coal[M]. Beijing: Science Press, 2002.

    4. [4]

      LI An, LI ping, CHEN Song-mei. Study on the technology of decreasing ash and sulfur in coking coal concentrate by deep-cleaning[J]. J China Coal Soc, 2007,32(6):639-642. doi: 10.3321/j.issn:0253-9993.2007.06.019

    5. [5]

      VACCARO S. Demineralization and desulfurization process to generate clean coal[J]. Chem Eng Trans, 2010,21:1489-1494.

    6. [6]

      WANG De-qiang, SHUI Heng-fu. Effect of Rhodococcus sp. on desulfurization, swelling and extraction of coal[J]. J Fuel Chem Technol, 2006,34(4):503-505. doi: 10.3969/j.issn.0253-2409.2006.04.025 

    7. [7]

      JORJANI E, REZAI B, VOSSOUGHI M, OSANLOO M. Desulfurization of Tabas coal with microwave irradiation/peroxyacetic acid washing at 25, 55 and 85 ℃[J]. Fuel, 2004,83(7/8):943-949.  

    8. [8]

      MESROGHLI S, YPERMAN J, JORJANI E, JORJANI E, CARLEER R, NOAPARAST M. Evaluation of microwave treatment on coal structure and sulfur species by reductive pyrolysis-mass spectrometry method[J]. Fuel Process Technol, 2015,131:193-202. doi: 10.1016/j.fuproc.2014.11.005

    9. [9]

      ELSAMAK G G, ÖZTAS N A, YÜRÜM Y. Chemical desulfurization of turkish cayirhan lignite with HI using microwave and thermal energy[J]. Fuel, 2003,82(5):531-537. doi: 10.1016/S0016-2361(02)00334-4

    10. [10]

      TAO X X, TANG L F, XIE M H, HE H, XU N, FENG L, YANG Y C, LUO L Q. Dielectric properties analysis of sulfur-containing models in coal and energy evaluation of their sulfur-containing bond dissociation in microwave field[J]. Fuel, 2016,181:1027-1033. doi: 10.1016/j.fuel.2016.05.005

    11. [11]

      MA X M, ZHANG M X, MIN F F, GE T, CAI C C. Fundamental study on removal of organic sulfur from coal by microwave irradiation[J]. Int J Miner Process, 2015,139:31-35. doi: 10.1016/j.minpro.2015.04.009

    12. [12]

      CHELGANI S C, JORJANI E. Microwave irradiation pretreatment and peroxyacetic acid desulfurization of coal and application of GRNN simultaneous predictor[J]. Fuel, 2011,90(11):3156-3163. doi: 10.1016/j.fuel.2011.06.045

    13. [13]

      HONG Y D, LIN B Q, LI H, DAI H M, ZHU C J, YAO H. Three-dimensional simulation of microwave heating coal sample with varying parameters[J]. Appl Therm Eng, 2016,93:1145-1154. doi: 10.1016/j.applthermaleng.2015.10.041

    14. [14]

      ISHAK M, AZLAN M, ISMAIL K, AHMAD F I. The effect of peroxyacetic acid treatment at elevated temperature onto the Indonesian coal microstructure[J]. Sci Lett, 2004,1(1):1-7.  

    15. [15]

      BORAH D, BARUAH M K, HAQUE I. Oxidation of high sulphur coal. 9 3. Desulphurisation of organic sulphur by peroxyacetic acid (produced in situ) in presence of metal ions[J]. Fuel Process Technol, 2005,86(9):959-976. doi: 10.1016/j.fuproc.2004.11.015

    16. [16]

      MESROGHLI S, YPERMAN J, JORJANI E, VANDEWIJNGAARDEN J, REGGERS G, CARLEER R, NOAPARAST M. Changes and removal of different sulfur forms after chemical desulfurization by peroxyacetic acid on microwave treated coals[J]. Fuel, 2015,154:59-70. doi: 10.1016/j.fuel.2015.03.058

    17. [17]

      BORAH D. Desulphurization of organic sulphur from coal by electron transfer process with Co2+ ion[J]. Fuel Process Technol, 2005,86(5):509-522. doi: 10.1016/j.fuproc.2004.04.004

    18. [18]

      BORAH D. Electron-transfer-induced desulfurization of organic sulfur from sub-bituminous Coal[J]. Energy Fuels, 2004,18(5):1463-1471. doi: 10.1021/ef030157n

    19. [19]

      TANG L F, CHENG S J, WANG S W, TAO X X. Exploration on the action mechanism of microwave with peroxyacetic acid in the process of coal desulfurization[J]. Fuel, 2018,214:554-560. doi: 10.1016/j.fuel.2017.10.087

    20. [20]

      LING L X, Zhang R G, WANG B J, XIE K C. DFT study on the sulfur migration during benzenethiol pyrolysis in coal[J]. Theochem, 2010,952(1/3):31-35.  

    21. [21]

      ACHOLLA F V, ORR W L. Pyrite removal from kerogen without altering organic matter: the chromous chloride method[J]. Energy Fuels, 1993,7(3):406-410. doi: 10.1021/ef00039a012

    22. [22]

      LI Mei, YANG Jun-he, ZHANG Qi-feng, CHANG Hai-zhou, SUN Hui. XPS study on transformation of N-and S-functional groups during pyrolysis of high sulfur New Zealand coal[J]. J Fuel Chem Technol, 2013,41(11):1287-1293.  

    23. [23]

      GORBATY M L, KELEMEN S R. Characterization and reactivity of organically bound sulfur and nitrogen fossil fuels[J]. Fuel Process Technol, 2001,71(1/3):71-78.  

    24. [24]

      HU H, FANG Y, LIU H, YU R, LUO G, LIU W, LI A, YAO H. The fate of sulfur during rapid pyrolysis of scrap tires[J]. Chemosphere, 2014,97:102-107. doi: 10.1016/j.chemosphere.2013.10.037

    25. [25]

      TAO X X, XU N, XIE M H, TANG L F. Progress of the technique of coal microwave desulfurization[J]. Int J Coal Sci Technol, 2014,1(1):113-128. doi: 10.1007/s40789-014-0006-5

    26. [26]

      ZHANG M H, DU C M, MIN F F. Quantum chemistry investigation on influence of the external energy fields to the organic structure characteristics in coal[J]. J China Coal Soc, 2014,39:1478-1484.  

    27. [27]

      LI Mei. Transformation of sulfur during pyrolysis of coking colas[D]. Shanghai: University of Shanghai for Science & Technology, 2015.

  • 加载中
    1. [1]

      Qianlang Wang Jijun Sun Qian Chen Quanqin Zhao Baojuan Xi . The Appeal of Organophosphorus Compounds: Clearing Their Name. University Chemistry, 2025, 40(4): 299-306. doi: 10.12461/PKU.DXHX202405205

    2. [2]

      Nan Xiao Fang Sun . 二芳基硫醚化合物的构建及应用. University Chemistry, 2025, 40(6): 360-363. doi: 10.12461/PKU.DXHX202407099

    3. [3]

      Hong CAIJiewen WUJingyun LILixian CHENSiqi XIAODan LI . Synthesis of a zinc-cobalt bimetallic adenine metal-organic framework for the recognition of sulfur-containing amino acids. Chinese Journal of Inorganic Chemistry, 2025, 41(1): 114-122. doi: 10.11862/CJIC.20240382

    4. [4]

      Yongjian Zhang Fangling Gao Hong Yan Keyin Ye . Electrochemical Transformation of Organosulfur Compounds. University Chemistry, 2025, 40(5): 311-317. doi: 10.12461/PKU.DXHX202407035

    5. [5]

      Yerong Chen Bingbin Yang Xinglei He Yuqi Lin Keyin Ye . Enzyme-Directed Evolution Enables Bioconversion of Organosilicon Compounds. University Chemistry, 2025, 40(10): 121-129. doi: 10.12461/PKU.DXHX202411054

    6. [6]

      Yijing GUHuan PANGRongmei ZHU . Applications of nickel-based metal-organic framework compounds in supercapacitors. Chinese Journal of Inorganic Chemistry, 2025, 41(10): 2029-2038. doi: 10.11862/CJIC.20250186

    7. [7]

      Xiaofeng ZhuBingbing XiaoJiaxin SuShuai WangQingran ZhangJun Wang . Transition Metal Oxides/Chalcogenides for Electrochemical Oxygen Reduction into Hydrogen Peroxides. Acta Physico-Chimica Sinica, 2024, 40(12): 2407005-0. doi: 10.3866/PKU.WHXB202407005

    8. [8]

      Yan KongWei WeiLekai XuChen Chen . Electrochemical Synthesis of Organonitrogen Compounds from N-integrated CO2 Reduction Reaction. Acta Physico-Chimica Sinica, 2024, 40(8): 2307049-0. doi: 10.3866/PKU.WHXB202307049

    9. [9]

      Ying Xiong Guangao Yu Lin Wu Qingwen Liu Houjin Li Shuanglian Cai Zhanxiang Liu Xingwen Sun Yuan Zheng Jie Han Xin Du Chengshan Yuan Qihan Zhang Jianrong Zhang Shuyong Zhang . Basic Operations and Specification Suggestions for Determination of Physical Constants of Organic Compounds. University Chemistry, 2025, 40(5): 106-121. doi: 10.12461/PKU.DXHX202503079

    10. [10]

      Qiwen Chen Baolei Wang . Research Progress on One-Electron σ-Bond of Organic Compounds. University Chemistry, 2025, 40(11): 191-198. doi: 10.12461/PKU.DXHX202412136

    11. [11]

      Jiaming Xu Yu Xiang Weisheng Lin Zhiwei Miao . Research Progress in the Synthesis of Cyclic Organic Compounds Using Bimetallic Relay Catalytic Strategies. University Chemistry, 2024, 39(3): 239-257. doi: 10.3866/PKU.DXHX202309093

    12. [12]

      Aidang Lu Yunting Liu Yanjun Jiang . Comprehensive Organic Chemistry Experiment: Synthesis and Characterization of Triazolopyrimidine Compounds. University Chemistry, 2024, 39(8): 241-246. doi: 10.3866/PKU.DXHX202401029

    13. [13]

      Xiaodong Chen Yumin Zhang . An Improved Simulated Annealing Algorithm for Predicting the Molecular Formulas of Organic Compounds. University Chemistry, 2025, 40(9): 19-24. doi: 10.12461/PKU.DXHX202408095

    14. [14]

      Jinmei Zhou Huamin Li Yiru Wang Wenwei Zhang Xiuqiong Zeng Juanjuan Song Yongxian Fan Dongcheng Liu Yanping Ren Faqiong Zhao Mei Shi Min Hu Wan Li Xiuyun Wang Weihong Li Xiaohang Qiu Yong Fan Jianrong Zhang Shuyong Zhang . Suggestions on Operational Standards for Heating and Heating Instruments (Part IV): Microwave Heating and the Use of Microwave Ovens, Microwave Reactor and Microwave Digester. University Chemistry, 2026, 41(3): 172-181. doi: 10.12461/PKU.DXHX202507043

    15. [15]

      Tianyun Chen Ruilin Xiao Xinsheng Gu Yunyi Shao Qiujun Lu . Synthesis, Crystal Structure, and Mechanoluminescence Properties of Lanthanide-Based Organometallic Complexes. University Chemistry, 2024, 39(5): 363-370. doi: 10.3866/PKU.DXHX202312017

    16. [16]

      Feng Han Fuxian Wan Ying Li Congcong Zhang Yuanhong Zhang Chengxia Miao . Comprehensive Organic Chemistry Experiment: Phosphotungstic Acid-Catalyzed Direct Conversion of Triphenylmethanol for the Synthesis of Oxime Ethers. University Chemistry, 2025, 40(3): 342-348. doi: 10.12461/PKU.DXHX202405181

    17. [17]

      Siwen Yuan Qilin Wu TianpengYin . NMR Spectroscopy Teaching Design Using the Mosher Method for Stereochemistry of Organic Compounds Based on BOPPPS Teaching Model. University Chemistry, 2025, 40(7): 161-168. doi: 10.12461/PKU.DXHX202502073

    18. [18]

      Wendian XIEYuehua LONGJianyang XIELiqun XINGShixiong SHEYan YANGZhihao HUANG . Preparation and ion separation performance of oligoether chains enriched covalent organic framework membrane. Chinese Journal of Inorganic Chemistry, 2024, 40(8): 1528-1536. doi: 10.11862/CJIC.20240050

    19. [19]

      Xilin Zhao Xingyu Tu Zongxuan Li Rui Dong Bo Jiang Zhiwei Miao . Research Progress in Enantioselective Synthesis of Axial Chiral Compounds. University Chemistry, 2024, 39(11): 158-173. doi: 10.12461/PKU.DXHX202403106

    20. [20]

      Jingjing QINGFan HEZhihui LIUShuaipeng HOUYa LIUYifan JIANGMengting TANLifang HEFuxing ZHANGXiaoming ZHU . Synthesis, structure, and anticancer activity of two complexes of dimethylglyoxime organotin. Chinese Journal of Inorganic Chemistry, 2024, 40(7): 1301-1308. doi: 10.11862/CJIC.20240003

Metrics
  • PDF Downloads(4)
  • Abstract views(1500)
  • HTML views(71)

通讯作者: 陈斌, bchen63@163.com
  • 1. 

    沈阳化工大学材料科学与工程学院 沈阳 110142

  1. 本站搜索
  2. 百度学术搜索
  3. 万方数据库搜索
  4. CNKI搜索
Address:Zhongguancun North First Street 2,100190 Beijing, PR China Tel: +86-010-82449177-888
Powered By info@rhhz.net

/

DownLoad:  Full-Size Img  PowerPoint
Return