Citation: YAO Min, WANG Yan-di, LU Mei-zhen, JI Jian-bing, LIU Xue-jun. Hydrodeoxygenation of soybean oil methyl esters to alkane biodiesel over the PdMoP/γ-Al2O3 catalyst[J]. Journal of Fuel Chemistry and Technology, ;2019, 47(12): 1450-1457. shu

Hydrodeoxygenation of soybean oil methyl esters to alkane biodiesel over the PdMoP/γ-Al2O3 catalyst

  • Corresponding author: LIU Xue-jun, liuxuejun@zjut.edu.cn
  • Received Date: 25 July 2019
    Revised Date: 28 October 2019

Figures(8)

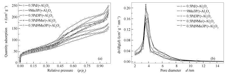
  • The PdMoP/γ-Al2O3 catalyst was prepraed through loading the Pd, Mo, and P elements on the γ-Al2O3 support by incipient impregnation method and characterized by XRD, NH3-TPD, XPS, Py-FTIR, nitrogen physisorption and STEM-EDS. The catalytic performance of PdMoP/γ-Al2O3 in the hydrodeoxygenation of soybean oil methyl ester to alkane biodiesel was invetigqated and the operation conditions were optimized. The results show that a combination of Pd, Mo and P elements can effectively adjust the catalyst acidity; Mo can reduce strong acidity, whereads P can enhance weak acidity, leading to a decrease in the B/L ratio of weak acid sites and a slight increase in the B/L ratio of strong acid sites. The optimized hydrodeoxygenation conditions are 315 ℃, 1.5 MPa, WHSV=0.5 h-1, and V(hydrogen)/V(esters)=1100; under such conditions, the conversion of soybean oil methyl esters reaches 98.4% and the C15-18 alkane yield is 91.5%.
  • 加载中
    1. [1]

      ZHAO X H, WEI L, CHENG S Y, JULSON J. Review of heterogeneous catalysts for catalytically upgrading vegetable oils into hydrocarbon biofuels[J]. Catalysts, 2017,7(12):1-25.  

    2. [2]

      KNOTHE G. Biodiesel and renewable diesel:A comparison[J]. Prog Energy Combust Sci, 2010,36(3):364-373. doi: 10.1016/j.pecs.2009.11.004

    3. [3]

      ÁLVAREZ-GALVÁN M C, CAMPOS-MARTÍN J M, FIERRO J L. Transition metal phosphides for the catalytic hydrodeoxygenation of waste oils into green diesel[J]. Catalysts, 2019,9293. doi: 10.3390/catal9030293

    4. [4]

      LI X, LUO X Y, JIN Y B, LI , JIN Y, ZHANG H D, ZHANG A P, XIE J. Heterogeneous sulfur-free hydrodeoxygenation catalysts for selectively upgrading the renewable bio-oils to second generation biofuels[J]. Renewable Sustainable Energy Rev, 2018,82:3762-3797. doi: 10.1016/j.rser.2017.10.091

    5. [5]

      KOUL R, KUMAR N, SINGH R C. A review on the production and physicochemical properties of renewable diesel and its comparison with biodiesel[J]. Energy Sources, Part A, 2019. doi: 10.1080/15567036.2019.1646355

    6. [6]

      WANG H, YAN S L, SALLEY S O, SIMON N K Y. Support effects on hydrotreating of soybean oil over NiMo carbide catalyst[J]. Fuel, 2013,111:81-87. doi: 10.1016/j.fuel.2013.04.066

    7. [7]

      HONGMANOROM P, LUENGNARUEMITCHAI A, CHOLLACOOP N, YOSHIMURA Y. Effect of the Pd/MCM-41 pore size on the catalytic activity and cis-trans selectivity for partial hydrogenation of canola biodiesel[J]. Energy Fuels, 2017,31(8):8202-8209. doi: 10.1021/acs.energyfuels.7b00832

    8. [8]

      OU Yang-qian, YANG Ni, YAO Jing-wen, HUANG Jin, ZHANG Yi, LIU Xue-jun. Research on the catalytic performance of supported Pt catalyst for hydrodeoxygenation of biodiesel[J]. J Fuel Chem Technol, 2018,46(10):61-68.  

    9. [9]

      DUAN H H, DONG J C, GU X R, PENG Y K, CHEN W X, ISSARIYAKUL T, MYERS W K, LI M J, YI N, KILPATRICK A F R, WANG Y, ZHENG X S, JI S F, WANG Q, FENG J T, CHEN D L, LI Y D, BUFFET J C, LIU H C, TSANG S C E, O'HARE D. Hydrodeoxygenation of water-insoluble bio-oil to alkanes using a highly dispersed Pd-Mo catalyst[J]. Nat Commun, 2017,8(1)591.  

    10. [10]

      HAN Lu, ZHOU Ya-song, WEI Qiang, LUO Yi, WANG Jing-yu. Effect of acidity and hydrogenation ability on the hydrodenitrogenation performance of NiW/Al2O3 catalyst[J]. J Fuel Chem Technol, 2014,42(10):1233-1239. doi: 10.3969/j.issn.0253-2409.2014.10.012 

    11. [11]

      SCALDAFERRI C A, PASA V M D. Production of jet fuel and green diesel range biohydrocarbons by hydroprocessing of soybean oil over niobium phosphate catalyst[J]. Fuel, 2019,245:458-466. doi: 10.1016/j.fuel.2019.01.179

    12. [12]

      OUYANG Q, YAO J W, YANG N, WANG Y W, YAO M, LIU X J. 0.7% Pt/beta-Al2O3 as a highly efficient catalyst for the hydrodeoxygenation of FAMEs to diesel-range alkanes[J]. Catal Commun, 2019,120:46-50. doi: 10.1016/j.catcom.2018.11.013

    13. [13]

      SERRANO D P, ESCOLA J M, BRIONES L, ARROYO M. Selective hydrodecarboxylation of fatty acids into long-chain hydrocarbons catalyzed by Pd/Al-SBA-15[J]. Microporous Mesoporous Mater, 2019,280:88-96. doi: 10.1016/j.micromeso.2019.01.045

    14. [14]

      CHEN S, ZHOU G L, MIAO C X. Green and renewable bio-diesel produce from oil hydrodeoxygenation:Strategies for catalyst development and mechanism[J]. Renewable Sustainable Energy Rev, 2019,101:568-589. doi: 10.1016/j.rser.2018.11.027

    15. [15]

      ETIENNE L, BERNARD D. Study of the hydrodeoxygenation of carbonyl, carboxylic and guaiacyl groups over sulfided CoMo/γ-Al2O3 and NiMo/γ-Al2O3 catalysts. Ⅰ. Catalytic reaction schemes[J]. Appl Catal A:Gen, 1994,109(1):77-96. doi: 10.1016/0926-860X(94)85004-6

    16. [16]

      COAN P D, GRIFFIN M B, CIESIELSKI P N, MEDLIN J W. Phosphonic acid modifiers for enhancing selective hydrodeoxygenation over Pt catalysts:The role of the catalyst support[J]. J Catal, 2019,372:311-320. doi: 10.1016/j.jcat.2019.03.011

    17. [17]

      FANG Q Y, JIANG Z C, GUO K, LIU X D, LI Z, LI G Y, HU G W. Low temperature catalytic conversion of oligomers derived from lignin in pubescens on Pd/NbOPO4[J]. Appl Catal B:Environ, 2019. doi: 10.1016/j.apcatb.2019.118325

    18. [18]

      MONDAL J, SHIT S C, SINGURU R, POLLASTRI S, JOSEPH B, RAO B S, LINGAIAH N. Cu-Pd bimetallic nanoalloy anchored on N-rich porous organic polymer for high-performance hydrodeoxygenation of biomass-derived vanillin[J]. Catal Sci Technol, 2018,8(8):2195-2210. doi: 10.1039/C8CY00325D

    19. [19]

      ADAMSKA K, OKAL J, TYLUS W. Stable bimetallic Ru-Mo/Al2O3 catalysts for the light alkane combustion:Effect of the Mo addition[J]. Appl Catal B:Environ, 2019,246:180-194. doi: 10.1016/j.apcatb.2019.01.059

    20. [20]

      AMEEN M, Azizan M T, RAMLI A, YUSUP S, ALNARABIJI M S. Catalytic hydrodeoxygenation of rubber seed oil over sonochemically synthesized Ni-Mo/γ-Al2O3 catalyst for green diesel Production[J]. Ultrason Sonochem, 2018,51:90-102.

    21. [21]

      YUAN G, BAI J, GAO B, REN L, MEI J, ZHANG L. The effect of crystal facet (312) exposure intensity of Ni12P5 nanoparticle on its hydrodechlorination catalytic activity[J]. Inorg Chem Commun, 2019. doi: 10.1016/j.inoche.2019.107595

    22. [22]

      ZHANG Z, BI G, ZHANG H D, ZHANG A P, LI X, XIE J. Highly active and selective hydrodeoxygenation of oleic acid to second generation bio-diesel over SiO2-supported CoxNi1-xP catalysts[J]. Fuel, 2019,247:26-35. doi: 10.1016/j.fuel.2019.03.021

    23. [23]

      XIN H, ZHOU W, ZHOU K, DU X, LI D, HU C. Controlling the growth of activated carbon supported nickel phosphide catalysts via adjustment of surface group distribution for hydrodeoxygenation of palmitic acid[J]. Catal Today, 2019,319:182-190. doi: 10.1016/j.cattod.2018.03.051

    24. [24]

      MIJAN N A, LEE H V, ALSULTAN G A. Production of green diesel via cleaner catalytic deoxygenation of Jatropha curcas oil[J]. J Clean Prod, 2016,167:1048-1059.  

    25. [25]

      CHEN J X, SHI H, LI L, LI K L. Deoxygenation of methyl laurate as a model compound to hydrocarbons on transition metal phosphide catalysts[J]. Appl Catal B:Environ, 2014,144:870-884. doi: 10.1016/j.apcatb.2013.08.026

    26. [26]

      SRIFA A, FAUNGNAWAKIJ K, ITTHIBENCHAPONG V, VIRIYA-EMPIKUL N, CHARINPANITKUL T, ASSABUMRUNGRAT S. Production of bio-hydrogenated diesel by catalytic hydrotreating of palm oil over NiMoS2/γ-Al2O3 catalyst[J]. Bioresour Technol, 2014,158:81-90. doi: 10.1016/j.biortech.2014.01.100

    27. [27]

      PATTANAIK B P, MISRA R D. Effect of reaction pathway and operating parameters on the deoxygenation of vegetable oils to produce diesel range hydrocarbon fuels:A review[J]. Renewable Sustainable Energy Rev, 2017,73:545-557. doi: 10.1016/j.rser.2017.01.018

  • 加载中
    1. [1]

      Liuyun ChenWenju WangTairong LuXuan LuoXinling XieKelin HuangShanli QinTongming SuZuzeng QinHongbing Ji . Soft template-induced deep pore structure of Cu/Al2O3 for promoting plasma-catalyzed CO2 hydrogenation to DME. Acta Physico-Chimica Sinica, 2025, 41(6): 100054-0. doi: 10.1016/j.actphy.2025.100054

    2. [2]

      Wenlong LIXinyu JIAJie LINGMengdan MAAnning ZHOU . Photothermal catalytic CO2 hydrogenation over a Mg-doped In2O3-x catalyst. Chinese Journal of Inorganic Chemistry, 2024, 40(5): 919-929. doi: 10.11862/CJIC.20230421

    3. [3]

      Xiaorui ChenXuan LuoTongming SuXinling XieLiuyun ChenYuejing BinZuzeng QinHongbing Ji . Ga-doped Cu/γ-Al2O3 bifunctional interface sites promote the direct hydrogenation of CO2 to DME. Acta Physico-Chimica Sinica, 2025, 41(10): 100126-0. doi: 10.1016/j.actphy.2025.100126

    4. [4]

      Xiaofang LiZhigang Wang . 调节金助催化剂的dz2占据轨道增强光催化合成H2O2. Acta Physico-Chimica Sinica, 2025, 41(7): 100080-0. doi: 10.1016/j.actphy.2025.100080

    5. [5]

      Yajin LiHuimin LiuLan MaJiaxiong LiuDehua He . Photothermal Synthesis of Glycerol Carbonate via Glycerol Carbonylation with CO2 over Au/Co3O4-ZnO Catalyst. Acta Physico-Chimica Sinica, 2024, 40(9): 2308005-0. doi: 10.3866/PKU.WHXB202308005

    6. [6]

      Yu Wang Shoulei Zhang Tianming Lv Yan Su Xianyu Liu Fuping Tian Changgong Meng . Introduce a Comprehensive Inorganic Synthesis Experiment: Synthesis of Nano Zinc Oxide via Microemulsion Using Waste Soybean Oil. University Chemistry, 2024, 39(7): 316-321. doi: 10.3866/PKU.DXHX202311035

    7. [7]

      Qinhui GuanYuhao GuoNa LiJing LiTingjiang Yan . Molecular sieve-mediated indium oxide catalysts for enhancing photocatalytic CO2 hydrogenation. Acta Physico-Chimica Sinica, 2025, 41(11): 100133-0. doi: 10.1016/j.actphy.2025.100133

    8. [8]

      Feifei YangWei ZhouChaoran YangTianyu ZhangYanqiang Huang . Enhanced Methanol Selectivity in CO2 Hydrogenation by Decoration of K on MoS2 Catalyst. Acta Physico-Chimica Sinica, 2024, 40(7): 2308017-0. doi: 10.3866/PKU.WHXB202308017

    9. [9]

      Chao WUQingxiu SHITao XUZhengxi PENGZhongping XIONGYinglin ZHANGYujun SIChaozhong GUO . Enhancement of oxygen reduction reaction performance of iron-nitrogen doped carbon based catalysts by sodium carboxymethyl cellulose pre-deoxygenation. Chinese Journal of Inorganic Chemistry, 2026, 42(4): 737-746. doi: 10.11862/CJIC.20250305

    10. [10]

      Lina GuoRuizhe LiChuang SunXiaoli LuoYiqiu ShiHong YuanShuxin OuyangTierui Zhang . Effect of Interlayer Anions in Layered Double Hydroxides on the Photothermocatalytic CO2 Methanation of Derived Ni-Al2O3 Catalysts. Acta Physico-Chimica Sinica, 2025, 41(1): 100002-0. doi: 10.3866/PKU.WHXB202309002

    11. [11]

      Bing LIUHuang ZHANGHongliang HANChangwen HUYinglei ZHANG . Visible light degradation of methylene blue from water by triangle Au@TiO2 mesoporous catalyst. Chinese Journal of Inorganic Chemistry, 2024, 40(5): 941-952. doi: 10.11862/CJIC.20230398

    12. [12]

      Xingyang LITianju LIUYang GAODandan ZHANGYong ZHOUMeng PAN . A superior methanol-to-propylene catalyst: Construction via synergistic regulation of pore structure and acidic property of high-silica ZSM-5 zeolite. Chinese Journal of Inorganic Chemistry, 2024, 40(7): 1279-1289. doi: 10.11862/CJIC.20240026

    13. [13]

      Haotian ZhangShengfa FengMufan CaoXiong Xiong LiuPengcheng YuanYaping WangMin GaoLong PanZhengming Sun . Al2O3 coated polyimide porous films enable thin yet strong polymer-in-salt solid-state electrolytes for dendrite-free lithium metal batteries. Chinese Chemical Letters, 2025, 36(8): 111096-. doi: 10.1016/j.cclet.2025.111096

    14. [14]

      Chuanming GUOKaiyang ZHANGYun WURui YAOQiang ZHAOJinping LIGuang LIU . Performance of MnO2-0.39IrOx composite oxides for water oxidation reaction in acidic media. Chinese Journal of Inorganic Chemistry, 2024, 40(6): 1135-1142. doi: 10.11862/CJIC.20230459

    15. [15]

      Yadan LuoHao ZhengXin LiFengmin LiHua TangXilin She . Modulating reactive oxygen species in O, S co-doped C3N4 to enhance photocatalytic degradation of microplastics. Acta Physico-Chimica Sinica, 2025, 41(6): 100052-0. doi: 10.1016/j.actphy.2025.100052

    16. [16]

      Dan Li Hui Xin Xiaofeng Yi . Comprehensive Experimental Design on Ni-based Catalyst for Biofuel Production. University Chemistry, 2024, 39(8): 204-211. doi: 10.3866/PKU.DXHX202312046

    17. [17]

      Hailian TangSiyuan ChenQiaoyun LiuGuoyi BaiBotao QiaoLiu Fei . Stabilized Rh/hydroxyapatite Catalyst for Furfuryl Alcohol Hydrogenation: Application of Oxidative Strong Metal-Support Interactions in Reducing Conditions. Acta Physico-Chimica Sinica, 2025, 41(4): 100036-0. doi: 10.3866/PKU.WHXB202408004

    18. [18]

      Xueqi YangJuntao ZhaoJiawei YeDesen ZhouTingmin DiJun Zhang . 调节NNU-55(Fe)的d带中心以增强CO2吸附和光催化活性. Acta Physico-Chimica Sinica, 2025, 41(7): 100074-0. doi: 10.1016/j.actphy.2025.100074

    19. [19]

      Jiangyuan QiuTao YuJunxin ChenWenxuan LiXiaoxuan Zhangjinsheng LiRui GuoZaiyin HuangXuanwen Liu . Modulate surface potential well depth of Bi12O17Cl2 by FeOOH in Bi12O17Cl2@FeOOH heterojunction to boost piezoelectric charge transfer and piezo-self-Fenton catalysis. Acta Physico-Chimica Sinica, 2026, 42(1): 100157-0. doi: 10.1016/j.actphy.2025.100157

    20. [20]

      Jingyi XieQianxi LüWeizhen QiaoChenyu BuYusheng ZhangXuejun ZhaiRenqing LüYongming ChaiBin Dong . Enhancing Cobalt―Oxygen Bond to Stabilize Defective Co2MnO4 in Acidic Oxygen Evolution. Acta Physico-Chimica Sinica, 2024, 40(3): 2305021-0. doi: 10.3866/PKU.WHXB202305021

Metrics
  • PDF Downloads(4)
  • Abstract views(1403)
  • HTML views(75)

通讯作者: 陈斌, bchen63@163.com
  • 1. 

    沈阳化工大学材料科学与工程学院 沈阳 110142

  1. 本站搜索
  2. 百度学术搜索
  3. 万方数据库搜索
  4. CNKI搜索
Address:Zhongguancun North First Street 2,100190 Beijing, PR China Tel: +86-010-82449177-888
Powered By info@rhhz.net

/

DownLoad:  Full-Size Img  PowerPoint
Return