Citation: XIAO Zhu-qian, MAO Jian-wei, JI Jian-bing, SHA Ru-yi, FAN Yu, XING Chuang. Preparation of nano-scale nickel-tungsten catalysts by pH value control and application in hydrogenolysis of cellulose to polyols[J]. Journal of Fuel Chemistry and Technology, ;2017, 45(6): 641-650. shu

Preparation of nano-scale nickel-tungsten catalysts by pH value control and application in hydrogenolysis of cellulose to polyols

  • Corresponding author: MAO Jian-wei, zjhzmjw@163.com
  • Received Date: 10 February 2017
    Revised Date: 7 April 2017

    Fund Project: Scientific Research Project of Zhejiang Provincial Collaborative Innovation Center of Agricultural Biological Resources Biochemical Manufacturing 2016KF0035Science and Technology Project of Zhejiang Province 2017C37049

Figures(9)

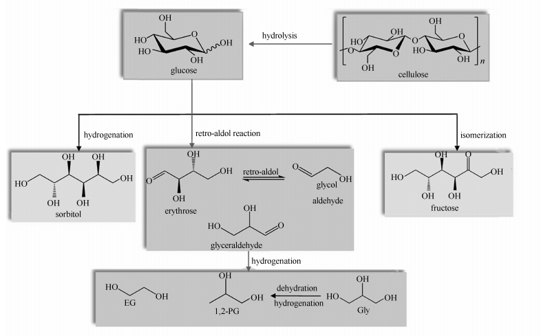
  • The Ni-W/SBA-15 catalysts prepared by incipient-wetness impregnation method and controlled by the pH value were developed. Potassium hydroxide and citric acid regarded as the pH value regulators were added to the solution before impregnation to provide an acidic or basic condition at different pH values (0.83, 1.00, 3.09, 5.00, 7.03, 8.97 and 11.0). The 74.5% yield of total low carbon (C2, 3) polyols including ethylene glycol (EG), 1, 2-propylene glycol (1, 2-PG) and glycerol (Gly) was obtained over 10%Ni-20%W/SBA-15 catalyst prepared at pH value of 1.00 and 518 K under H2 pressure of 5.0 MPa. Furthermore, the physical properties of this series of nickel-tungsten catalysts were characterized by BET and SEM. The results demonstrated that the catalysts showed excellent thermal stability and the surface area was mainly in range of 330-450 m2/g. The particles had a good dispersion on the surface of SBA-15 but some aggregations were existed which could be characterized by TEM and SEM-EDX. However, the reduction of metallic oxides especially for NiO was obviously influenced by pH value control and some metallic species characterized by XRD. According to XRD results, the impregnation pH value influenced the reduction of NiO and the phase states of nickel and tungsten species.
  • 加载中
    1. [1]

      JUBEN N C, GEORGE W H, JAMES A D. Liquid-phase catalytic processing of biomass-derived oxygenated hydrocarbon to fuels and chemicals[J]. Angew Chem Int Ed, 2007,46(38):7164-7183. doi: 10.1002/(ISSN)1521-3773

    2. [2]

      YABUSHITA M, KOBAYASHI H, FUKUOKA A. Catalytic transformation into platform chemicals[J]. Appl Catal B:Environ, 2014,145(1):1-9.  

    3. [3]

      SCHWARTZ T J, O'NEILL B J, SHANKS B H, DUMESIC J A. Bridging the chemical and biological catalysis gap:Challenges and outlook for producing sustainable chemicals[J]. ChemInform, 2014,45(31):2060-2069.  

    4. [4]

      WANGA Q, ZHANG T. One-pot conversion of cellulose to ethylene glycol with multi-functional tungsten-based catalysts[J]. Accounts Chem Res, 2013,46(7):1377-1386. doi: 10.1021/ar3002156

    5. [5]

      JI N, ZHENG M Y, WANG A Q, ZHANG T, CHEN J G. Ni-promoted tungsten carbide for cellulose conversion:Effect of preparation methods[J]. ChemSusChem, 2012,5(5):939-944. doi: 10.1002/cssc.201100575

    6. [6]

      PANG J F, ZHENG M Y, WANG A Q, ZHANG T. Catalytic hydrogenation of corn stalk to ethylene glycol and 1, 2-propylene glycol[J]. Ind Eng Chem Res, 2011,50(11):6601-6608. doi: 10.1021/ie102505y

    7. [7]

      ABDEL-AZIM S M, ABOUL-GHEIT A K, AHMED S M, EL-DSOUKI D S, ABDEL-MOTTALEB M S. Preparation and application of mesoporous nanotitania photocatalysts using different templates and pH media[J]. Int J Photoenergy, 2014,2014(5):1-6.  

    8. [8]

      BAE J W, LEE Y J, PARK J Y, JUN K W. Influence of pH of the impregnation solution on the catalytic properties of Co/γ-alumina for Fischer-Tropsch synthesis[J]. Energy Fuels, 2008,22(5):2885-2891. doi: 10.1021/ef800155v

    9. [9]

      HUANG Y P, DONG X Q, YU Y Z. The influence of surface xygen and hydroxyl groups on the dehydrogenation of ethylene, acetic acid and hydrogenated vinyl acetate on pure Pd(100):A DET study[J]. Appl Surf Sci, 2016,388(12):455-460.  

    10. [10]

      LI G N, PIDKO E A, HENSEN J M. A periodic DFT study of glucose to fructose isomerization on tungstite (WO3 center dot H2O):Influence of group Ⅳ-Ⅳ dopants and cooperativity with hydroxyl groups[J]. ACS Catal, 2016,6(7):4162-4169. doi: 10.1021/acscatal.6b00869

    11. [11]

      ENGELBREKT C, MALCHO P, ANDERSEN J, ZHANG L J, STAHL K, LI B, HU J, ZHANG J D. Selective synthesis of clinoatacammite Cu2(OH)3Cl and tenorite CuO nanoparticle by pH control[J]. J Nanopart Res, 2014,16(8):2562-2574. doi: 10.1007/s11051-014-2562-4

    12. [12]

      LIU Q Y, LIAO Y H, WANG T J, CAI C L, ZHANG Q, TSUBAKI N, MA L L. One-pot transformation of cellulose to sugar alcohols over acidic metal phosphates combined with Ru/C[J]. Ind Eng Chem Res, 2014,53(32):12655-12664. doi: 10.1021/ie5016238

    13. [13]

      SUN R Y, ZHENG M Y, PANG J F, LIU X, WANG J H, PAN X L, WANG A Q, WANG X D, ZHANG T. Selectivity-switchable conversion of cellulose to glycols over Ni-Sn catalysts[J]. ACS Catal, 2016,6(1):191-201. doi: 10.1021/acscatal.5b01807

    14. [14]

      XIAO Z Q, GE Q W, XING C, JIANG C J, FANG S, JI J B, MAO J W. Self-reducing bi-functional Ni-W/SBA-15 catalyst for cellulose hydrogenolysis to low carbon polyols[J]. J Energy Chem, 2015,25(3):434-444.  

    15. [15]

      KOSMULSKI M. The pH-dependent surface charging and points of zero charge[J]. J Colloid Interf Sci, 2011,353(1):1-5. doi: 10.1016/j.jcis.2010.08.023

    16. [16]

      NGUYEN VAN T D, SUFIAN S, MANSOR N, YAHYA N. Characterization of carbon nanofibers treated with thermal nitrogen as a catalyst support using point of zero charge analysis[J]. J Nanomater, 2014,2014(12):1-6.  

    17. [17]

      LI H, FANG Z, LUO J, YANG S. Direct conversion of biomass components to the bio-fuel methyl levulinate catalyzed by acid-base bi-functional zirconia-zeolites[J]. Appl Catal B:Environ, 2017,200:182-191. doi: 10.1016/j.apcatb.2016.07.007

    18. [18]

      ZHU S H, GAO X Q, ZHU Y L, ZHU Y F, ZHENG H Y, LI Y G. Promoting effect of boron oxide on Cu/SiO2 catalyst for glycerol hydrogenolysis to 1, 2-peopanediol[J]. J Catal, 2013,303(7):70-79.  

    19. [19]

      FABICOVICOVA K, LUCAS M, CLAUS P. From microcrystalline cellulose to hard-and softwood-based feedstocks:Their hydrogenolysis to polyols over a highly efficient ruthenium-tungsten catalyst[J]. Green Chem, 2015,17(5):3075-3083. doi: 10.1039/C5GC00421G

    20. [20]

      PAN G Y, MA Y L, MA X X, SUN Y G, LV J M, ZHANG J L. Catalytic hydrogenation of corn stalk into polyols over Ni-W/MCM-41 catalyst[J]. Chem Eng J, 2016,299(1):386-392.  

    21. [21]

      SUAREZ-TORILLO V A, SANTOLALLA-VARGAS C E, DE LOS REYES J A, VAZQUEZ-ZAVALA A, VRINAT M, GEANTET C. Influence of the solution pH in impregnation with citric acid and activity of Ni/W/Al2O3 catalysts[J]. J Mol Catal A:Chem, 2015,404-405(s):36-46.  

    22. [22]

      LI Y P, LIAO Y H, CAO X F, WANG T J, MA L L, LONG J X, LIU Q Y, XUA Y. Advances in hexitol and ethylene glycol production by one-pot hydrolytic hydrogenation and hydrogenolysis of cellulose[J]. Bio Bioenergy, 2015,74(1):148-161.  

    23. [23]

      LEE S, ZHANG Z T, WANG X M, PFEFFERLE L D, HALLER G L. Characterization of multi-walled carbon nanotubes catalyst supports by point of zero charge[J]. Catal Today, 2011,164(1):68-73. doi: 10.1016/j.cattod.2010.10.031

    24. [24]

      CAO Y L, WANG J W, KANG M Q, ZHU Y L. Efficient synthesis of ethylene glycol from cellulose over Ni-WO3/SBA-15 catalyst[J]. J Mol Catal A Chem, 2014,381:46-53. doi: 10.1016/j.molcata.2013.10.002

    25. [25]

      ZHENG M Y, WANG A Q, JI N, PANG J F, WANG X D, ZHANG T. Transition metal-tungsten bimetallic catalysts for the conversion of cellulose into ethylene glycol[J]. ChemSusChem, 2010,3(1):63-66. doi: 10.1002/cssc.v3:1

    26. [26]

      SUN R Y, ZHENG M Y, PANG J F, LIU X, WANG J H, PAN X L, WANG A Q, WANG X D, ZHANG T. Selectivity-switchable conversion of cellulose yo glycols over Ni-Sn catalysts[J]. ACS Catal, 2016,6(1):191-201. doi: 10.1021/acscatal.5b01807

  • 加载中
    1. [1]

      Yun-Fei ZhangChun-Hui ZhangJian-Hui XuLei LiDan LiJin-Hong FanJiale GaoXin QuanQi WuYue ZouYan-Ling Liu . Enhanced degradation of florfenicol by microscale SiC/Fe: Dechlorination via hydrogenolysis. Chinese Chemical Letters, 2024, 35(7): 109385-. doi: 10.1016/j.cclet.2023.109385

    2. [2]

      Xiaoning LiQuanyu ShiMeng LiNingxin SongYumeng XiaoHuining XiaoTony D. JamesLei Feng . Functionalization of cellulose carbon dots with different elements (N, B and S) for mercury ion detection and anti-counterfeit applications. Chinese Chemical Letters, 2024, 35(7): 109021-. doi: 10.1016/j.cclet.2023.109021

    3. [3]

      Siling ChenYang HuSijia ZhangXuesong LiuZhuqun ShiChuanxi XiongWeiwei WuRuizhi NingQuanling Yang . Enhancing the electroactivity of supercapacitors through nitrogen doping on cellulose-derived carbon materials. Chinese Chemical Letters, 2026, 37(2): 111301-. doi: 10.1016/j.cclet.2025.111301

    4. [4]

      Chen-Xin WangGuang-Lei LiYu HangDan-Feng LuJian-Qi YeHao SuBing HouTao SuoDan Wen . Shock-resistant wearable pH sensor based on tungsten oxide aerogel. Chinese Chemical Letters, 2025, 36(7): 110502-. doi: 10.1016/j.cclet.2024.110502

    5. [5]

      Jingyuan LuoLiping WuJinxi YanXintong LvYuqi LuoWei JiangZhiqiang XiongAnqi NiChongbo LiuRenchao Che . Radar-stealth and thermal-insulating MOF-derived cellulose-carbon aerogels for broadband electromagnetic wave absorption. Chinese Chemical Letters, 2025, 36(7): 111065-. doi: 10.1016/j.cclet.2025.111065

    6. [6]

      Yan LiuYang WangJiayi ZhuXuxian SuXudong LinLiang XuXiwen Xing . Employing pH-responsive RNA triplex to control CRISPR/Cas9-mediated gene manipulation in mammalian cells. Chinese Chemical Letters, 2024, 35(9): 109427-. doi: 10.1016/j.cclet.2023.109427

    7. [7]

      Jingfeng YueZhenxin TangYuxing ZhangZhongbao Jian . Oligomeric α-diimine nickel catalysts for enhanced ethylene polymerization. Chinese Chemical Letters, 2026, 37(1): 111930-. doi: 10.1016/j.cclet.2025.111930

    8. [8]

      Junyou DingXiaotong LiHongmin LinBochao YeXing ZhouFeihu CuiYingming PanHaitao Tang . Highly regioselective hydrogermylation of unsaturated C-C bonds over ligand-control single atom palladium catalysts. Chinese Chemical Letters, 2025, 36(11): 111286-. doi: 10.1016/j.cclet.2025.111286

    9. [9]

      Zhilin Meng Haiying Lu Weijie Li . A low-temperature strategy enables atomic-level control in noble metal-based high-entropy catalysts. Chinese Journal of Structural Chemistry, 2026, 45(3): 100800-100800. doi: 10.1016/j.cjsc.2025.100800

    10. [10]

      Xiao LiuHaiyan PangXinrui KouZheng TangBing CuiShihong CenYuechang Wei . Synergistic interaction of ternary Pd−Cu−Ni confined in nanoparticles as pH-universal catalysts for enhanced hydrogen evolution reaction. Chinese Chemical Letters, 2026, 37(4): 111567-. doi: 10.1016/j.cclet.2025.111567

    11. [11]

      Zhongjie LiXiangyue KongYuhao LiuHuayu QiuLingling ZhanShouchun Yin . Progress of additives for morphology control in organic photovoltaics. Chinese Chemical Letters, 2024, 35(6): 109378-. doi: 10.1016/j.cclet.2023.109378

    12. [12]

      Faqiong Zhao Xiaohang Qiu Yanping Ren Juanjuan Song Dongcheng Liu Xiuqiong Zeng Wenwei Zhang Mei Shi Min Hu Wan Li Yongxian Fan Yiru Wang Xiuyun Wang Weihong Li Yong Fan Jianrong Zhang Shuyong Zhang . The Use of pH Indicator Papers and pH Meters. University Chemistry, 2025, 40(5): 32-39. doi: 10.12461/PKU.DXHX202503099

    13. [13]

      Ming YangLin-Bo LiuShuo LiuYan LiBiao OuyangXian-Zhu FuJing-Li LuoYifei SunSubiao Liu . Electrosynthesizing high-value fuels from CO2 in solid oxide electrolysis cells: Fundamentals, advances, and perspectives. Chinese Chemical Letters, 2025, 36(12): 110603-. doi: 10.1016/j.cclet.2024.110603

    14. [14]

      Huangjie Lu Yingzhe Du Peng Lin Jian Lin . Separation of americium from lanthanides based on oxidation state control. Chinese Journal of Structural Chemistry, 2024, 43(10): 100344-100344. doi: 10.1016/j.cjsc.2024.100344

    15. [15]

      Yan-Rui Zhao Jin Zhang Shi-Kun Yan Guang-Zhi Zhou Ya-Hui Wang Qi-Yue Xin Ji-Xiang Hu . Solvent-coordination directed control of electron transfer dynamics in photoactive complexes. Chinese Journal of Structural Chemistry, 2025, 44(12): 100753-100753. doi: 10.1016/j.cjsc.2025.100753

    16. [16]

      Qiyan WuQing Li . Topologically close-packed intermetallic alloy electrocatalysts for CO2 reduction towards high value-added multi-carbon chemicals. Chinese Chemical Letters, 2025, 36(1): 110384-. doi: 10.1016/j.cclet.2024.110384

    17. [17]

      Xia Yin Huiling Geng Junru Wang . Innovative Reform Practice in Agriculture-Forestry Organic Chemistry Curriculum based on O-VALUE Model. University Chemistry, 2025, 40(7): 97-105. doi: 10.12461/PKU.DXHX202408031

    18. [18]

      Runzi CaoHeng ShaoXinjie WangJian WangEnxiang ShangYang Li . Photocatalytic production of high-value-added fuels from biodegradable PBAT by Nb2O5/GCN heterojunction catalyst: Performance and mechanism. Chinese Chemical Letters, 2025, 36(7): 111029-. doi: 10.1016/j.cclet.2025.111029

    19. [19]

      Yue LIZiqi LIUKe FENGYingdan LIYue NINGLi SHENJitao LUQingguo MENGMin WANGHaiying WANG . Advances in electrocatalytic and photocatalytic CO2 conversion to value-added chemicals using copper-based covalent organic frameworks. Chinese Journal of Inorganic Chemistry, 2026, 42(1): 1-22. doi: 10.11862/CJIC.20250197

    20. [20]

      Tianbo JiaLili WangZhouhao ZhuBaikang ZhuYingtang ZhouGuoxing ZhuMingshan ZhuHengcong Tao . Modulating the degree of O vacancy defects to achieve selective control of electrochemical CO2 reduction products. Chinese Chemical Letters, 2024, 35(5): 108692-. doi: 10.1016/j.cclet.2023.108692

Metrics
  • PDF Downloads(1)
  • Abstract views(1134)
  • HTML views(172)

通讯作者: 陈斌, bchen63@163.com
  • 1. 

    沈阳化工大学材料科学与工程学院 沈阳 110142

  1. 本站搜索
  2. 百度学术搜索
  3. 万方数据库搜索
  4. CNKI搜索
Address:Zhongguancun North First Street 2,100190 Beijing, PR China Tel: +86-010-82449177-888
Powered By info@rhhz.net

/

DownLoad:  Full-Size Img  PowerPoint
Return