Citation: Li Yongkun, Zheng Xi, Zhu Jiahong, Wang Si, Yang Linli, Mao Zewei. Syntheses and Biological Evaluations of 3-Aryl-5-(furan-2-yl)-4, 5-dihydro-1H-pyrazole Derivatives[J]. Chemistry, ;2018, 81(5): 461-465. shu

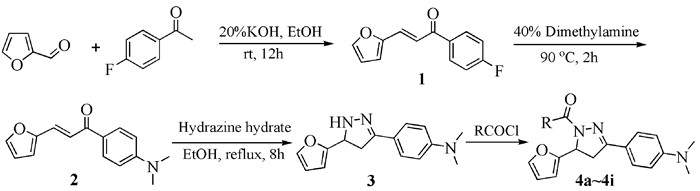
Syntheses and Biological Evaluations of 3-Aryl-5-(furan-2-yl)-4, 5-dihydro-1H-pyrazole Derivatives

  • Corresponding author: Mao Zewei, maozw@ynutcm.edu.cn
  • Received Date: 31 October 2017
    Accepted Date: 18 March 2018

Figures(1)

Metrics
  • PDF Downloads(4)
  • Abstract views(1197)
  • HTML views(126)

通讯作者: 陈斌, bchen63@163.com
  • 1. 

    沈阳化工大学材料科学与工程学院 沈阳 110142

  1. 本站搜索
  2. 百度学术搜索
  3. 万方数据库搜索
  4. CNKI搜索
Address:Zhongguancun North First Street 2,100190 Beijing, PR China Tel: +86-010-82449177-888
Powered By info@rhhz.net

/

DownLoad:  Full-Size Img  PowerPoint
Return