Citation: MA Cai-lian, DONG Guang-hua, LIU Xia, CHEN Jian-gang. Effect of Cu promoter on polyvinyl alcohol-assisted preparation of iron catalyst for Fischer-Tropsch synthesis[J]. Journal of Fuel Chemistry and Technology, ;2018, 46(7): 835-840. shu

Effect of Cu promoter on polyvinyl alcohol-assisted preparation of iron catalyst for Fischer-Tropsch synthesis

  • Corresponding author: CHEN Jian-gang, chenjg@sxicc.ac.cn
  • Received Date: 25 January 2018
    Revised Date: 28 April 2018

    Fund Project: the Foundation of Shanxi Institute of Energy ZY2017008the Autonomous Research Project of State Key Laboratory of Coal Conversion SKLCC2018BWZ001The project was supported by the National Natural Science Foundation of China (21373254), the Autonomous Research Project of State Key Laboratory of Coal Conversion (SKLCC2018BWZ001), the State Key Laboratory of Biomass Thermal Chemistry Technology (Wuhan) and the Foundation of Shanxi Institute of Energy(ZY2017008)the National Natural Science Foundation of China 21373254the State Key Laboratory of Biomass Thermal Chemistry Technology (Wuhan)  

Figures(8)

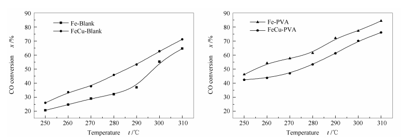
  • Fe2O3 or FeCu catalysts were prepared by co-precipitation method with or without the assistance of polyvinyl alcohol (PVA). The effect of Cu promoter on the structure and catalytic behaviour of the catalysts were investigated. The catalysts were characterized by BET, SEM, XRD, H2-TPR and FT-IR techniques. The results showed that the addition of Cu promoter could enhance the crystal growth of α-Fe2O3, decrease BET surface area and pore volume and increase pore size and promote the reduction of the catalysts in H2. In addition, Cu promoter remarkably influenced the surface morphology. In Fischer-Tropsch synthesis (FTS) reaction, the catalytic activity was increased when Cu promoter was added only. The addition of Cu promoter and PVA decreased the FTS activity, and shifted the hydrocarbon products to lighter molecular weight.
  • 加载中
    1. [1]

      YANG J, MA W, CHEN D, HOLMEN A, DAVIS B H. Fischer-Tropsch synthesis:A review of the effect of CO conversion on methane selectivity[J]. Appl Catal A:Gen, 2014,470(0):250-260.  

    2. [2]

      WANG T, WANG S G, LUO Q Q, LI Y W, WANG J G, BELLER M, JIAO H J. Hydrogen adsorption structures and energetics on iron surfaces at high coverage[J]. J Phys Chem C, 2014,118(8):4181-4188. doi: 10.1021/jp410635z

    3. [3]

      SUO H Y, WANG S G, ZHANG C H, XU J, WU B S, YANG Y, XIANG H W, LI Y W. Chemical and structural effects of silica in iron-based Fischer-Tropsch synthesis catalysts[J]. J Catal, 2012,286(0):111-123.  

    4. [4]

      DRY M E. Present and future applications of the Fischer-Tropsch process[J]. Appl Catal A:Gen, 2004,276(1/2):1-3.  

    5. [5]

      DRY M E, HOOGENDOORN J. Technology of the Fischer-Tropsch process[J]. Cat Rev-Sci Eng, 1981,23(1/2):265-278.  

    6. [6]

      LI S, LI A, KRISHNAMOORTHY S, IGLESIA E. Effects of Zn, Cu, and K promoters on the structure and on the reduction, carburization, and catalytic behavior of iron-based Fischer-Tropsch synthesis catalysts[J]. Catal Lett, 2001,77(4):197-205. doi: 10.1023/A:1013284217689

    7. [7]

      de SMIT E, de GROOT F M, BLUME R, HÄVECKER M, KNOP-GERICKE A, WECKHUYSEN B M. The role of Cu on the reduction behavior and surface properties of Fe-based Fischer-Tropsch catalysts[J]. PCCP, 2010,12(3):667-680. doi: 10.1039/B920256K

    8. [8]

      WIELERS A, KOEBRUGGE G, GEUS J. On the properties of silica-supported bimetallic Fe-Cu catalysts Part Ⅱ. Reactivity in the Fischer-Tropsch synthesis[J]. J Catal, 1990,121(2):375-385. doi: 10.1016/0021-9517(90)90246-G

    9. [9]

      WIELERS A, HOP C, VAN BEIJNUM J, VAN der KRAAN A, GEUS J. On the properties of silica-supported bimetallic Fe-Cu catalysts Part Ⅰ. Preparation and characterization[J]. J Catal, 1990,121(2):364-374. doi: 10.1016/0021-9517(90)90245-F

    10. [10]

      WAN H J, WU B S, ZHANG C H, XIANG H W, LI Y W. Promotional effects of Cu and K on precipitated iron-based catalysts for Fischer-Tropsch synthesis[J]. J Mol Catal A:Chem, 2008,283(1/2):33-42.  

    11. [11]

      MA C L, DONG G H, CHEN J G. Effect of PVA concentration on structure and performance of precipitated iron-based catalyst for Fischer-Tropsch synthesis[J]. J Braz Chem Soc, 2017,28(8):1564-1572.  

    12. [12]

      MA Cai-lian. Preparation chemistry and Fischer-Tropsch synthesis performance of a novel iron catalyst[D]. Shanxi: Institute of Coal Chemistry, Chinese Academy of Sciences, 2015. 

    13. [13]

      SUO H Y, ZHANG C H, WU B S, XU J, YANG Y, XIANG H W, LI Y W. A comparative study of Fe/SiO2 Fischer-Tropsch synthesis catalysts using tetraethoxysilane and acidic silica sol as silica sources[J]. Catal Today, 2012,183(1):88-95. doi: 10.1016/j.cattod.2011.08.047

    14. [14]

      YANG Y, XIANG H W, XU Y Y, BAI L, LI Y W. Effect of potassium promoter on precipitated iron-manganese catalyst for Fischer-Tropsch synthesis[J]. Appl Catal A:Gen, 2004,266(2):181-194. doi: 10.1016/j.apcata.2004.02.018

    15. [15]

      QIN S D, ZHANG C H, XU J, WU B S, XIANG H W, LI Y W. Effect of Mo addition on precipitated Fe catalysts for Fischer-Tropsch synthesis[J]. J Mol Catal A:Chem, 2009,304(1/2):128-134.  

    16. [16]

      MOGOROSI R P, FISCHER N, CLAEYS M, VAN STEEN E. Strong-metal-support interaction by molecular design:Fe-silicate interactions in Fischer-Tropsch catalysts[J]. J Catal, 2012,289:140-150. doi: 10.1016/j.jcat.2012.02.002

    17. [17]

      COZAR O, LEOPOLD N, JELIC C, CHIS V, DAVID L, MOCANU A, TOMOAIA-COTISEL M. IR, Raman and surface-enhanced Raman study of desferrioxamine B and its Fe (Ⅲ) complex, ferrioxamine B[J]. J Mol Struct, 2006,788(1):1-6.  

    18. [18]

      LI S, ZHU H Q, QIN Z F, WANG G F, ZHANG Y G, WU Z W, LI Z K, CHEN G, DONG W W, WU Z H. Morphologic effects of nano CeO2-TiO2 on the performance of Au/CeO2-TiO2 catalysts in low-temperature CO oxidation[J]. Appl Catal B:Environ, 2014,144:498-506. doi: 10.1016/j.apcatb.2013.07.049

  • 加载中
    1. [1]

      Wenhao Dong Qin Ma Xiaocan Wu . Large Unit Teaching Design in Physical Chemistry from the Perspective of Curriculum Ideological and Political Educaiton: A Case of the “Coal-to-Liquids Project in Ningxia”. University Chemistry, 2025, 40(11): 134-140. doi: 10.12461/PKU.DXHX202501017

    2. [2]

      Siyu HOUWeiyao LIJiadong LIUFei WANGWensi LIUJing YANGYing ZHANG . Preparation and catalytic performance of magnetic nano iron oxide by oxidation co-precipitation method. Chinese Journal of Inorganic Chemistry, 2024, 40(8): 1577-1582. doi: 10.11862/CJIC.20230469

    3. [3]

      Yuting ZHANGZunyi LIUNing LIDongqiang ZHANGShiling ZHAOYu ZHAO . Nickel vanadate anode material with high specific surface area through improved co-precipitation method: Preparation and electrochemical properties. Chinese Journal of Inorganic Chemistry, 2024, 40(11): 2163-2174. doi: 10.11862/CJIC.20240204

    4. [4]

      Xing CaoXinyu TianYuanyuan HuangLiping ZhangYanpeng NiYu-Zhong Wang . H3PO3-protonated chitosan enabling flame-retardant and antibacterial PVA composite films with high strength and toughness through multiple H-bonds and interlocking interfaces. Chinese Chemical Letters, 2025, 36(11): 111382-. doi: 10.1016/j.cclet.2025.111382

    5. [5]

      Tiejun Su . The Construction and Application of the Calculation Formula for Endpoint Error in Precipitation Titration: A Case Study of the Mohr Method. University Chemistry, 2024, 39(11): 384-387. doi: 10.12461/PKU.DXHX202402039

    6. [6]

      Yongpo Zhang Xinfeng Li Yafei Song Mengyao Sun Congcong Yin Chunyan Gao Jinzhong Zhao . Synthesis of Chlorine-Bridged Binuclear Cu(I) Complexes Based on Conjugation-Driven Cu(II) Oxidized Secondary Amines. University Chemistry, 2024, 39(5): 44-51. doi: 10.3866/PKU.DXHX202309092

    7. [7]

      Hongjie SHENHaozhe MIAOYuhe YANGYinghua LIDeguang HUANGXiaofeng ZHANG . Synthesis, crystal structure, and fluorescence properties of two Cu(Ⅰ) complexes based on pyridyl ligand. Chinese Journal of Inorganic Chemistry, 2025, 41(5): 855-863. doi: 10.11862/CJIC.20250009

    8. [8]

      Liuyun ChenWenju WangTairong LuXuan LuoXinling XieKelin HuangShanli QinTongming SuZuzeng QinHongbing Ji . Soft template-induced deep pore structure of Cu/Al2O3 for promoting plasma-catalyzed CO2 hydrogenation to DME. Acta Physico-Chimica Sinica, 2025, 41(6): 100054-0. doi: 10.1016/j.actphy.2025.100054

    9. [9]

      Jiaojiao Yu Bo Sun Na Li Cong Wen Wei Li . Improvement of Classical Organic Experiment Based on the “Reverse-Step Optimization Method”: Taking Synthesis of Ethyl Acetate as an Example. University Chemistry, 2025, 40(3): 333-341. doi: 10.12461/PKU.DXHX202405177

    10. [10]

      Peng YUELiyao SHIJinglei CUIHuirong ZHANGYanxia GUO . Effects of Ce and Mn promoters on the selective oxidation of ammonia over V2O5/TiO2 catalyst. Chinese Journal of Inorganic Chemistry, 2025, 41(2): 293-307. doi: 10.11862/CJIC.20240210

    11. [11]

      Xiaorui ChenXuan LuoTongming SuXinling XieLiuyun ChenYuejing BinZuzeng QinHongbing Ji . Ga-doped Cu/γ-Al2O3 bifunctional interface sites promote the direct hydrogenation of CO2 to DME. Acta Physico-Chimica Sinica, 2025, 41(10): 100126-0. doi: 10.1016/j.actphy.2025.100126

    12. [12]

      Bingliang Li Yuying Han Dianyang Li Dandan Liu Wenbin Shang . One-Step Synthesis of Benorilate Guided by Green Chemistry Principles and in vivo Dynamic Evaluation. University Chemistry, 2024, 39(6): 342-349. doi: 10.3866/PKU.DXHX202311070

    13. [13]

      Zhuo WangXue BaiKexin ZhangHongzhi WangJiabao DongYuan GaoBin Zhao . MOF-Templated Synthesis of Nitrogen-Doped Carbon for Enhanced Electrochemical Sodium Ion Storage and Removal. Acta Physico-Chimica Sinica, 2025, 41(3): 100026-0. doi: 10.3866/PKU.WHXB202405002

    14. [14]

      Yuan Zheng Quan Lan Zhenggen Zha Lingling Li Jun Jiang Pingping Zhu . Teaching Reform of Organic Synthesis Experiments by Introducing Reverse Thinking and Design Concepts: Taking the Synthesis of Cinnamic Acid Based on Retrosynthetic Analysis as an Example. University Chemistry, 2024, 39(6): 207-213. doi: 10.3866/PKU.DXHX202310065

    15. [15]

      Zhen Yao Bing Lin Youping Tian Tao Li Wenhui Zhang Xiongwei Liu Wude Yang . Visible-Light-Mediated One-Pot Synthesis of Secondary Amines and Mechanistic Exploration. University Chemistry, 2024, 39(5): 201-208. doi: 10.3866/PKU.DXHX202311033

    16. [16]

      Dongqi Cai Fuping Tian Zerui Zhao Yanjuan Zhang Yue Dai Feifei Huang Yu Wang . Exploration of Factors Influencing the Determination of Ion Migration Number by Hittorf Method. University Chemistry, 2024, 39(4): 94-99. doi: 10.3866/PKU.DXHX202310031

    17. [17]

      Yixiao ZhaoGavin Chit TsuiQilong Shen . Key intermediates in Cu to Cu catalytic cycle for ethoxycarbonyl difluoro- methylation. Chinese Chemical Letters, 2025, 36(12): 111051-. doi: 10.1016/j.cclet.2025.111051

    18. [18]

      Zhijia ZhangShihao SunYuefang ChenYanhao WeiMengmeng ZhangChunsheng LiYan SunShaofei ZhangYong Jiang . Epitaxial growth of Cu2-xSe on Cu (220) crystal plane as high property anode for sodium storage. Chinese Chemical Letters, 2024, 35(7): 108922-. doi: 10.1016/j.cclet.2023.108922

    19. [19]

      Junyi YuYin ChengAnhong CaiXianfeng HuangQingrui Zhang . Synthetic Cu(Ⅲ) from copper plating wastewater for onsite decomplexation of Cu(Ⅱ)- and Ni(Ⅱ)-organic complexes. Chinese Chemical Letters, 2025, 36(2): 110549-. doi: 10.1016/j.cclet.2024.110549

    20. [20]

      Junchen PengZhongyuan GuoDandan DongYusheng LuBao WangFangjie LuChaofeng HuangBin Dai . Cu0/Cuδ+ site construction and its catalytic role in acetylene hydrochlorination. Chinese Chemical Letters, 2025, 36(8): 111208-. doi: 10.1016/j.cclet.2025.111208

Metrics
  • PDF Downloads(6)
  • Abstract views(1541)
  • HTML views(207)

通讯作者: 陈斌, bchen63@163.com
  • 1. 

    沈阳化工大学材料科学与工程学院 沈阳 110142

  1. 本站搜索
  2. 百度学术搜索
  3. 万方数据库搜索
  4. CNKI搜索
Address:Zhongguancun North First Street 2,100190 Beijing, PR China Tel: +86-010-82449177-888
Powered By info@rhhz.net

/

DownLoad:  Full-Size Img  PowerPoint
Return