Citation: Li Dongdong, Zhang Zhanzhan, Zhang Kaijie, Gao Wenhui. Application of Computer Molecular Simulation in Molecular Imprinting Technology[J]. Chemistry, ;2020, 83(6): 546-551, 535. shu

Application of Computer Molecular Simulation in Molecular Imprinting Technology

  • Corresponding author: Gao Wenhui, wenhuigao@126.com
  • Received Date: 13 November 2019
    Accepted Date: 26 January 2020

Figures(4)

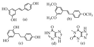
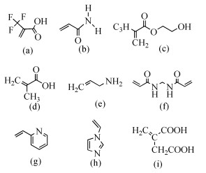
  • The screening of template molecules, functional monomers, crosslinking agents and porogens using the traditional molecular imprinting techniques usually depends on experience, and the synthesis conditions are generally optimized through repeated experiments. There are some problems such as long experiment cycle and large consumption of materials, etc. The application of computer molecular simulation technology plays a predictable guiding role in the experimental process, and can realize the precise tailoring of identification sites and the design of the driving force for recognition. The stability of the recognition system is optimized through the calculation of binding energy and other physical and chemical characteristic parameters, thus template molecules, functional monomers, crosslinking agents and porogens can be selected rationally, and the polymerization conditions are optimized so that the specificity and affinity of polymer recognition can be improved. The experimental cycle is concise and efficient, more in line with the concept of green chemistry. In this paper, computer molecular simulation technology is briefly introduced, especially its guiding role in molecular imprinting technology is reviewed, and its application in molecular imprinting technology is prospected.
  • 加载中
    1. [1]

      Mosbach K, Ramstrom O. Bio-Technol., 1996, 14(2): 163~170.

    2. [2]

      Zhang M, He J, Shen Y, et al. Talanta, 2018, 178: 1011~1016. 

    3. [3]

    4. [4]

      Rutkowska M, Płotka-Wasylka J, Morrison C, et al. Trac-Trend Anal. Chem., 2018, 102: 91~102. 

    5. [5]

      Gu Y, Yan X, Li C, et al. Biosens. Bioelectron., 2016, 77: 393~399. 

    6. [6]

      Qin S, Tang L, Li D, et al. Basic Clinical. Pharmacol., 2019, 125(s1): 20~21.

    7. [7]

      Liu Q, Wan J, Cao X. Proc. Biochem., 2018, 70: 168~178. 

    8. [8]

    9. [9]

      Bock L V, Kolář M H, Grubmüller H. Curr. Opin. Struct. Biol., 2018, 49: 27~35. 

    10. [10]

      Zeng H, Wu X. Eur. J. Med. Chem., 2016, 121: 851~863. 

    11. [11]

      Xian Y, Li J, Wu R, et al. Comp. Mater. Sci., 2018, 143: 163~169. 

    12. [12]

      Agrahari A K, Doss G P C, Siva R, et al. J. Theor. Biol., 2019, 469: 163~171. 

    13. [13]

      Farhan A M, Kadhim N J, Jaafer H I. Asian J. Appl. Sci. Eng., 2016, 5(3): 159~172.

    14. [14]

    15. [15]

      Chokshi A B, Chhabria M T, Desai P R. Curr. Comput-Aid. Drug, 2018, 14(3): 221~233. 

    16. [16]

      Temml V, Kaserer T, Kutil Z, et al. Future Med. Chem., 2014, 6: 1869~1881. 

    17. [17]

    18. [18]

      Xie S, Liu Z, Liu J. Comput. Appl. Chem., 2015, 32(2): 183~187.

    19. [19]

    20. [20]

    21. [21]

      Jamkhande P G, Ghante M H, Ajgunde B R. Bull. Facul. Pharm., Cairo University, 2017, 55(2): 203~210.

    22. [22]

    23. [23]

    24. [24]

      BErickson C, EAnkenman B, Sanchez S M. Data Brief, 2018, 18: 684~687. 

    25. [25]

    26. [26]

      Forli S, Huey R, Pique M E, et al. Nat. Protocols, 2016, 11(5): 905~919. 

    27. [27]

      Gabriela B F, Oliveira P V, Filgueira A W. Docking with AutoDock4. Methods in Molecular Biology (Clifton, N.J.), 2019, 2053.

    28. [28]

    29. [29]

    30. [30]

    31. [31]

      Danylec B, Schwarz L, Harris S, et al. Molecules, 2015, 20(9): 17601~17613. 

    32. [32]

      Bates F, Cela-Pérez M C, Karim K, et al. Macromol. Biosci., 2016, 16(8): 1170~1174. 

    33. [33]

      Ao J, Gu J, Yuan T, et al. Chemosphere, 2018, 199(50): 98~106.

    34. [34]

      Aftim N, IstambouliÉG, Piletska E, et al. Talanta, 2017, 174: 414~419. 

    35. [35]

    36. [36]

      Fernandes L S, Homem-de-Mello P, De Lima E C, et al. Eur. Polym. J., 2015, 71: 364~371. 

    37. [37]

      Shoravi S, Olsson G, Karlsson B, et al. Int. J. Mol. Sci., 2014, 15(6): 10622~10634. 

    38. [38]

      Liang D, Wang Y, Li S, et al. Int. J. Mol. Sci., 2016, 17(11): 1750. 

    39. [39]

    40. [40]

       

    41. [41]

    42. [42]

      Yu H N, Yao R, Shen S R, et al. J. Pharmaceut. Biomed., 2019, 175: 1~12.

    43. [43]

      Fizir M, Wei L, Niu M, et al. Talanta, 2018, 184: 266~276. 

    44. [44]

      Liu J B, Tang S S, Dai Z Q, et al. Chin. J. Struct. Chem., 2016, 35(12): 1840~1848.

    45. [45]

    46. [46]

      Han Y, Gu L, Zhang M, et al. Comput. Theor. Chem., 2017, 1121: 29~34. 

    47. [47]

  • 加载中
    1. [1]

      Jiarong Feng Yejie Duan Chu Chu Dezhen Xie Qiu'e Cao Peng Liu . Preparation and Application of a Streptomycin Molecularly Imprinted Electrochemical Sensor: A Suggested Comprehensive Analytical Chemical Experiment. University Chemistry, 2024, 39(8): 295-305. doi: 10.3866/PKU.DXHX202401016

    2. [2]

      Zijian Zhao Yanxin Shi Shicheng Li Wenhong Ruan Fang Zhu Jijun Jiang . A New Exploration of the Preparation of Polyacrylic Acid by Free Radical Polymerization Based on the Concept of Green Chemistry. University Chemistry, 2024, 39(5): 315-324. doi: 10.3866/PKU.DXHX202311094

    3. [3]

      Jihua Deng Xinshi Wu Dichang Zhong . Exploration of Green Teaching and Ideological and Political Education in Chemical Experiment of “Preparation of Ammonium Ferrous Sulfate”. University Chemistry, 2024, 39(10): 325-329. doi: 10.12461/PKU.DXHX202405046

    4. [4]

      Yinwu Su Xuanwen Zheng Jianghui Du Boda Li Tao Wang Zhiyan Huang . Green Synthesis of 1,3-Dibromoacetone Using Halogen Exchange Method: Recommending a Basic Organic Synthesis Teaching Experiment. University Chemistry, 2024, 39(5): 307-314. doi: 10.3866/PKU.DXHX202311092

    5. [5]

      Zihan Lin Wanzhen Lin Fa-Jie Chen . Electrochemical Modifications of Native Peptides. University Chemistry, 2025, 40(3): 318-327. doi: 10.12461/PKU.DXHX202406089

    6. [6]

      Yifan Liu Haonan Peng . AI-Assisted New Era in Chemistry: A Review of the Application and Development of Artificial Intelligence in Chemistry. University Chemistry, 2025, 40(7): 189-199. doi: 10.12461/PKU.DXHX202405182

    7. [7]

      Yongjian Zhang Fangling Gao Hong Yan Keyin Ye . Electrochemical Transformation of Organosulfur Compounds. University Chemistry, 2025, 40(5): 311-317. doi: 10.12461/PKU.DXHX202407035

    8. [8]

      Tingting Yu Si Chen Lianglong Sun Tongtong Shi Kai Sun Xin Wang . Comprehensive Experimental Design for the Photochemical Synthesis, Analysis, and Characterization of Difluoropyrroles. University Chemistry, 2024, 39(11): 196-203. doi: 10.3866/PKU.DXHX202401022

    9. [9]

      Feng Han Fuxian Wan Ying Li Congcong Zhang Yuanhong Zhang Chengxia Miao . Comprehensive Organic Chemistry Experiment: Phosphotungstic Acid-Catalyzed Direct Conversion of Triphenylmethanol for the Synthesis of Oxime Ethers. University Chemistry, 2025, 40(3): 342-348. doi: 10.12461/PKU.DXHX202405181

    10. [10]

      Xue DongXiaofu SunShuaiqiang JiaShitao HanDawei ZhouTing YaoMin WangMinghui FangHaihong WuBuxing Han . Electrochemical CO2 Reduction to C2+ Products with Ampere-Level Current on Carbon-Modified Copper Catalysts. Acta Physico-Chimica Sinica, 2025, 41(3): 100024-0. doi: 10.3866/PKU.WHXB202404012

    11. [11]

      Yinuo Wang Siran Wang Yilong Zhao Dazhen Xu . Selective Synthesis of Diarylmethyl Anilines and Triarylmethanes via Multicomponent Reactions: Introduce a Comprehensive Experiment of Organic Chemistry. University Chemistry, 2024, 39(8): 324-330. doi: 10.3866/PKU.DXHX202401063

    12. [12]

      Yihao Zhao Jitian Rao Jie Han . Synthesis and Photochromic Properties of 3,3-Diphenyl-3H-Naphthopyran: Design and Teaching Practice of a Comprehensive Organic Experiment. University Chemistry, 2024, 39(10): 149-155. doi: 10.3866/PKU.DXHX202402050

    13. [13]

      Yunchao Li Shanying Chen Ke Qi Kangning Huo Shuxin Li Jingyi Li Ying Wei Louzhen Fan . A New Colloid Electrophoresis Experiment Incorporating Characteristics of Inquiry Learning and Ideological and Political Education. University Chemistry, 2024, 39(2): 47-51. doi: 10.3866/PKU.DXHX202308063

    14. [14]

      Wenjiang LIPingli GUANRui YUYuansheng CHENGXianwen WEI . C60-MoP-C nanoflowers van der Waals heterojunctions and its electrocatalytic hydrogen evolution performance. Chinese Journal of Inorganic Chemistry, 2024, 40(4): 771-781. doi: 10.11862/CJIC.20230289

    15. [15]

      Zhilian Liu Wengui Wang Hongxiao Yang Yu Cui Shoufeng Wang . Ideological and Political Education Design for the Synthesis of Irinotecan Drug Intermediate 7-Ethyl Camptothecin. University Chemistry, 2024, 39(2): 89-93. doi: 10.3866/PKU.DXHX202306012

    16. [16]

      Ling Liu Haibin Wang Genrong Qiang . Curriculum Ideological and Political Design for the Comprehensive Preparation Experiment of Ethyl Benzoate Synthesized from Benzyl Alcohol. University Chemistry, 2024, 39(2): 94-98. doi: 10.3866/PKU.DXHX202304080

    17. [17]

      Yiming Lu Xiang Xie Xiaoqing Qiu Yang Liu Xinyuan Cheng . The New Year’s Eve of the Aviation Brake Material Family. University Chemistry, 2024, 39(9): 203-207. doi: 10.12461/PKU.DXHX202403061

    18. [18]

      Xiaomin Kang Chuanbao Jiao . Application of Metal-Organic Frameworks in CO2 Catalytic Conversion: Promoting “Double Carbon” Actions for a Beautiful China. University Chemistry, 2026, 41(2): 208-217. doi: 10.12461/PKU.DXHX202503011

    19. [19]

      Ruiyuan Xu Yuxin Wang Yuru Zhang Wanmei Li . Who Destroyed Snowflake Castle. University Chemistry, 2024, 39(9): 224-228. doi: 10.12461/PKU.DXHX202311056

    20. [20]

      Yaping Li Sai An Aiqing Cao Shilong Li Ming Lei . The Application of Molecular Simulation Software in Structural Chemistry Education: First-Principles Calculation of NiFe Layered Double Hydroxide. University Chemistry, 2025, 40(3): 160-170. doi: 10.12461/PKU.DXHX202405185

Metrics
  • PDF Downloads(23)
  • Abstract views(1473)
  • HTML views(400)

通讯作者: 陈斌, bchen63@163.com
  • 1. 

    沈阳化工大学材料科学与工程学院 沈阳 110142

  1. 本站搜索
  2. 百度学术搜索
  3. 万方数据库搜索
  4. CNKI搜索
Address:Zhongguancun North First Street 2,100190 Beijing, PR China Tel: +86-010-82449177-888
Powered By info@rhhz.net

/

DownLoad:  Full-Size Img  PowerPoint
Return