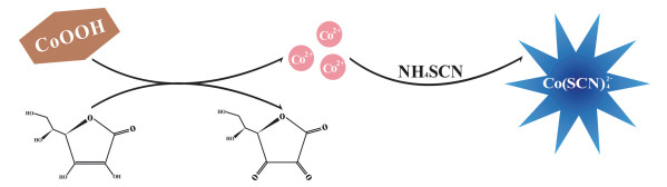
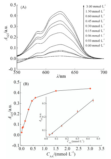
Colorimetric Detection of Ascorbic Acid Based on Co2+-mediated Signal Transformation
- Corresponding author: Zhang Ning, 454555096@qq.com
Citation:
Niu Jing, Jia Zijian, Sun Wanqi, Zhang Ning. Colorimetric Detection of Ascorbic Acid Based on Co2+-mediated Signal Transformation[J]. Chemistry,
;2020, 83(10): 923-928.
May J M, Qu Z C, Whitesell R R. Biochem. Pharmacol., 2003, 66(5):777~784.
Da-Silva T L, Aguiar-Oliveira E. Food Chem., 2017, 224:92~96.
Khan A, Khan M I, Iqbal Z, et al. Talanta, 2011, 84(3):789~801.
Garnero C, Longhi M. Anal. Chim. Acta, 2010, 659(1/2):159~166.
Zhao Y, Li Y, Wang Y, et al. RSC Adv., 2014, 4(66):35112~35115.
Wang Y W, Nan L J, Jiang Y R, et al. Analyst, 2020, 145:2758~2766.
Boroumand S, Chamjangali M A, Bagherian G. Spectrochim. Acta A, 2017, 174:203~213.
Wang H B, Li Y, Dong G L, et al. New J. Chem., 2017, 41(23):14364~14369.
Li R, An H, Huang W, et al. Sens. Actuat. B, 2018, 259:59~63.
Tan H, Ma C, Gao L, et al. Chem. Eur. J., 2014, 20(49):16377~16383.
S Fan, M Zhao, L Ding, et al. Biosens. Bioelectron., 2017, 89:846~852.
Kong W S, Tan Q Q, Guo H Y, et al. Microchim. Acta, 2019, 186(2):73.
Zhang H, Wang Z, Yang X Q, et al. Anal. Chim. Acta, 2019, 1080:170~177.
Li N, Li Y, Han Y, et al. Anal. Chem., 2014, 86(8):3924~3930.
Li L, Wang C, Liu K, et al. Anal. Chem., 2015, 87(6):3404~3411.
Meng H M, Zhang X B, Yang C, et al. Anal. Chem., 2016, 88(11):6057~6063.
Ji D, Du Y, Meng H M, et al. Sens. Actuat. B, 2018, 256:512~519.
He S, Huang Y, Huang J, et al. J. Phys. Chem. C, 2015, 119(47):26362~26366.
Li'na ZHONG , Jingling CHEN , Qinghua ZHAO . Synthesis of multi-responsive carbon quantum dots from green carbon sources for detection of iron ions and L-ascorbic acid. Chinese Journal of Inorganic Chemistry, 2025, 41(4): 709-718. doi: 10.11862/CJIC.20240280
Jie ZHANG , Xin LIU , Zhixin LI , Yuting PEI , Yuqi YANG , Huimin LI , Zhiqiang LIU . Assembling a luminescence silencing system based on post-synthetic modification strategy: A highly sensitive and selective turn-on metal-organic framework probe for ascorbic acid detection. Chinese Journal of Inorganic Chemistry, 2024, 40(4): 823-833. doi: 10.11862/CJIC.20230310
Jingke LIU , Jia CHEN , Yingchao HAN . Nano hydroxyapatite stable suspension system: Preparation and cobalt adsorption performance. Chinese Journal of Inorganic Chemistry, 2024, 40(9): 1763-1774. doi: 10.11862/CJIC.20240060
Guang Huang , Lei Li , Dingyi Zhang , Xingze Wang , Yugai Huang , Wenhui Liang , Zhifen Guo , Wenmei Jiao . Cobalt’s Valor, Nickel’s Foe: A Comprehensive Chemical Experiment Utilizing a Cobalt-based Imidazolate Framework for Nickel Ion Removal. University Chemistry, 2024, 39(8): 174-183. doi: 10.3866/PKU.DXHX202311051
Hong LI , Xiaoying DING , Cihang LIU , Jinghan ZHANG , Yanying RAO . Detection of iron and copper ions based on gold nanorod etching colorimetry. Chinese Journal of Inorganic Chemistry, 2024, 40(5): 953-962. doi: 10.11862/CJIC.20230370
Ye Wang , Ruixiang Ge , Xiang Liu , Jing Li , Haohong Duan . An Anion Leaching Strategy towards Metal Oxyhydroxides Synthesis for Electrocatalytic Oxidation of Glycerol. Acta Physico-Chimica Sinica, 2024, 40(7): 2307019-0. doi: 10.3866/PKU.WHXB202307019
Yan LIU , Jiaxin GUO , Song YANG , Shixian XU , Yanyan YANG , Zhongliang YU , Xiaogang HAO . Exclusionary recovery of phosphate anions with low concentration from wastewater using a CoNi-layered double hydroxide/graphene electronically controlled separation film. Chinese Journal of Inorganic Chemistry, 2024, 40(9): 1775-1783. doi: 10.11862/CJIC.20240043
Liwei Wang , Guangran Ma , Li Wang , Fugang Xu . A Comprehensive Analytical Chemistry Experiment: Colorimetric Detection of Vitamin C Using Nanozyme and Smartphone. University Chemistry, 2024, 39(8): 255-262. doi: 10.3866/PKU.DXHX202312094
Lin LI , Le CHEN , Lingjie HOU , Jiaqi JING , Jiayu DING , Tao ZHOU , Ruiping ZHANG . Smartphone-assisted fluorescent silver nanoclusters as ratiometric sensor for visual colorimetric detection of sulfide. Chinese Journal of Inorganic Chemistry, 2025, 41(11): 2261-2271. doi: 10.11862/CJIC.20250130
Yanxi LIU , Mengjia XU , Haonan CHEN , Quan LIU , Yuming ZHANG . A fluorescent-colorimetric probe for peroxynitrite-anion-imaging in living cells. Chinese Journal of Inorganic Chemistry, 2025, 41(6): 1112-1122. doi: 10.11862/CJIC.20240423
Bo YANG , Gongxuan LÜ , Jiantai MA . Corrosion inhibition of nickel-cobalt-phosphide in water by coating TiO2 layer. Chinese Journal of Inorganic Chemistry, 2025, 41(2): 365-384. doi: 10.11862/CJIC.20240063
Xue-Peng Zhang , Yuchi Long , Yushu Pan , Jiding Wang , Baoyu Bai , Rui Ding . 定量构效关系方法学习探索:以钴卟啉活化氧气为例. University Chemistry, 2025, 40(8): 345-359. doi: 10.12461/PKU.DXHX202410107
Xinhao Yan , Guoliang Hu , Ruixi Chen , Hongyu Liu , Qizhi Yao , Jiao Li , Lingling Li . Polyethylene Glycol-Ammonium Sulfate-Nitroso R Salt System for the Separation of Cobalt (II). University Chemistry, 2024, 39(6): 287-294. doi: 10.3866/PKU.DXHX202310073
Jiahe LIU , Gan TANG , Kai CHEN , Mingda ZHANG . Effect of low-temperature electrolyte additives on low-temperature performance of lithium cobaltate batteries. Chinese Journal of Inorganic Chemistry, 2025, 41(4): 719-728. doi: 10.11862/CJIC.20250023
Qinhui Guan , Yuhao Guo , Na Li , Jing Li , Tingjiang Yan . Molecular sieve-mediated indium oxide catalysts for enhancing photocatalytic CO2 hydrogenation. Acta Physico-Chimica Sinica, 2025, 41(11): 100133-0. doi: 10.1016/j.actphy.2025.100133
Hong CAI , Jiewen WU , Jingyun LI , Lixian CHEN , Siqi XIAO , Dan LI . Synthesis of a zinc-cobalt bimetallic adenine metal-organic framework for the recognition of sulfur-containing amino acids. Chinese Journal of Inorganic Chemistry, 2025, 41(1): 114-122. doi: 10.11862/CJIC.20240382
Zhicheng JU , Wenxuan FU , Baoyan WANG , Ao LUO , Jiangmin JIANG , Yueli SHI , Yongli CUI . MOF-derived nickel-cobalt bimetallic sulfide microspheres coated by carbon: Preparation and long cycling performance for sodium storage. Chinese Journal of Inorganic Chemistry, 2025, 41(4): 661-674. doi: 10.11862/CJIC.20240363
Yu Peng , Jiawei Chen , Yue Yin , Yongjie Cao , Mochou Liao , Congxiao Wang , Xiaoli Dong , Yongyao Xia . Tailored cathode electrolyte interphase via ethylene carbonate-free electrolytes enabling stable and wide-temperature operation of high-voltage LiCoO2. Acta Physico-Chimica Sinica, 2025, 41(8): 100087-0. doi: 10.1016/j.actphy.2025.100087
Jingyi Xie , Qianxi Lü , Weizhen Qiao , Chenyu Bu , Yusheng Zhang , Xuejun Zhai , Renqing Lü , Yongming Chai , Bin Dong . Enhancing Cobalt―Oxygen Bond to Stabilize Defective Co2MnO4 in Acidic Oxygen Evolution. Acta Physico-Chimica Sinica, 2024, 40(3): 2305021-0. doi: 10.3866/PKU.WHXB202305021
Wuxin Bai , Qianqian Zhou , Zhenjie Lu , Ye Song , Yongsheng Fu . Co-Ni Bimetallic Zeolitic Imidazolate Frameworks Supported on Carbon Cloth as Free-Standing Electrode for Highly Efficient Oxygen Evolution. Acta Physico-Chimica Sinica, 2024, 40(3): 2305041-0. doi: 10.3866/PKU.WHXB202305041