Citation: DUAN Yu, CHENG Hao, WU Shu-bin. Density functional theory study on the effect of Cα-OH functional group modification on the homolytic cracking reaction routes during the pyrolysis of lignin dimer[J]. Journal of Fuel Chemistry and Technology, ;2019, 47(12): 1440-1449. shu

Density functional theory study on the effect of Cα-OH functional group modification on the homolytic cracking reaction routes during the pyrolysis of lignin dimer

  • Corresponding author: WU Shu-bin, shubinwu@scut.edu.cn
  • Received Date: 29 August 2019
    Revised Date: 5 November 2019

    Fund Project: The project was supported by the Natural Sciences Foundation of China (31870558, 31670582)the Natural Sciences Foundation of China 31670582the Natural Sciences Foundation of China 31870558

Figures(7)

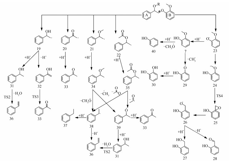
  • Density functional theory method was used to calculate the bond dissociation energies of the Caromatic-Cα, Cα-Cβ, Cβ-O bond, and Caromatic-O bonds in four lignin dimer model compounds, viz., (2-(2-methoxyphenoxy)-1-phenylethan-1-ol, 2-(2-methoxyphenoxy)-1-phenylethan-1-one, 1-methoxy-2-(2-methoxy-2-phenylethoxy)benzene, and 2-(2-methoxyphenoxy)-1-phenylethyl acetate; the homolytic cracking reaction during pyrolysis of these dimers was then invetigated and the formation pathways of pyrolysis products of different dimers were analyzed. The results show that the homogenization of Cβ-O bond is the main reaction in the initial pyrolysis of dimer, whereas the homolysis of Cα-Cβ bond is a competitive reaction. After the oxidation and acetylation of Cα-OH, the bond dissociation energy of Cβ-O bond decreases, whereas the dissociation energy of Cα-Cβ bond increases, ccompanied with an increase in the probability of the Cβ-O bond dissociation and a decrease in the competitive ability of Cα-Cβ bond homolysis. For the pyrolysis of four model compounds, the main aromatic products include benzyl alcohol, toluene, benzaldehyde, guaiacol, etc. The selective modification of the Cα-OH functional groups can regulate the types of pyrolysis products. In particular, the product types for the pyrolysis of model compounds modified by oxidation become less, accompanied with an increase in the selectivity to ceratin products. Ethylbenzene and toluene can be produced from the hydrolysis of dimers modified by methylation and acetylation.
  • 加载中
    1. [1]

      LIU X, WEI W, WU S, LEI M, LIU Y. A promptly approach from monosaccharides of biomass to oligosaccharides via sharp-quenching thermo conversion (SQTC)[J]. Carbohydr Polym, 2018,189:204-209. doi: 10.1016/j.carbpol.2018.01.107

    2. [2]

      LEI M, WU S, LIANG J, LIU C. Comprehensive understanding the chemical structure evolution and crucial intermediate radical in situ observation in enzymatic hydrolysis/mild acidolysis lignin pyrolysis[J]. J Anal Appl Pyrolysis, 2019,138:249-260. doi: 10.1016/j.jaap.2019.01.004

    3. [3]

      ZOU R, WANG Y, JIANG L, YU Z, ZHAO Y, WU Q, DAI L, KE L, LIU Y, RUAN R. Microwave-assisted co-pyrolysis of lignin and waste oil catalyzed by hierarchical ZSM-5/MCM-41 catalyst to produce aromatic hydrocarbons[J]. Bioresour Technol, 2019,289121609. doi: 10.1016/j.biortech.2019.121609

    4. [4]

      SHUAI L, AMIRI M T, QUESTELL-SANTIAGO Y M, HEROGUEL F, LI Y, KIM H, MEILAN R, CHAPPLE C, RALPH J, LUTERBACHER J S. Formaldehyde stabilization facilitates lignin monomer production during biomass depolymerization[J]. Science, 2016,354(6310):329-333. doi: 10.1126/science.aaf7810

    5. [5]

      RAGAUSKAS A J, BECKHAM G T, BIDDY M J, CHANDRA R, CHEN F, DAVIS M F, DAVISON B H, DIXON R A, GILNA P, KELLER M, LANGAN P, NASKAR A K, SADDLER J N, TSCHAPLINSKI T J, TUSKAN G A, WYMAN C E. Lignin valorization:Improving lignin processing in the biorefinery[J]. Science, 2014,344(6185)1246843. doi: 10.1126/science.1246843

    6. [6]

      DAI G, ZHU Y, YANG J, PAN Y, WANG G, WANG S, REUBROYCHAROEN P. Mechanism study on the pyrolysis of the typical ether linkages in biomass[J]. Fuel, 2019,249:146-153. doi: 10.1016/j.fuel.2019.03.099

    7. [7]

      HA J, HWANG K, KIM Y, JAE J, KIM K H, LEE H W, KIM J, PARK Y. Recent progress in the thermal and catalytic conversion of lignin[J]. Renewable Sustainable Energy Rev, 2019,111:422-441. doi: 10.1016/j.rser.2019.05.034

    8. [8]

      WANG S, DAI G, YANG H, LUO Z. Lignocellulosic biomass pyrolysis mechanism:A state-of-the-art review[J]. Prog Energy Combust, 2017,62:33-86. doi: 10.1016/j.pecs.2017.05.004

    9. [9]

      ARO T, FATEHI P. Production and application of lignosulfonates and sulfonated lignin[J]. ChemSusChem, 2017,10(9):1861-1877. doi: 10.1002/cssc.201700082

    10. [10]

      LORA J H, GLASSER W G. Recent industrial applications of lignin:A sustainable alternative to nonrenewable materials[J]. J Polym Environ, 2002,10(1):39-48.  

    11. [11]

      KAWAMOTO H, RYORITANI M, SAKA S. Different pyrolytic cleavage mechanisms of β-ether bond depending on the side-chain structure of lignin dimers[J]. J Anal Appl Pyrolysis, 2008,81(1):88-94. doi: 10.1016/j.jaap.2007.09.006

    12. [12]

      CHEN Y, FANG Y, YANG H, XIN S, ZHANG X, WANG X, CHEN H. Effect of volatiles interaction during pyrolysis of cellulose, hemicellulose, and lignin at different temperatures[J]. Fuel, 2019,248:1-7. doi: 10.1016/j.fuel.2019.03.070

    13. [13]

      KAWAMOTO H, NAKAMURA T, SAKA S. Pyrolytic cleavage mechanisms of lignin-ether linkages:A study on p-substituted dimers and trimers[J]. Holzforschung, 2008,62(1):50-56. doi: 10.1515/HF.2008.007

    14. [14]

      YERRAYYA A, SURIAPPARAO D V, NATARAJAN U, VINU R. Selective production of phenols from lignin via microwave pyrolysis using different carbonaceous susceptors[J]. Bioresour Technol, 2018,270:519-528. doi: 10.1016/j.biortech.2018.09.051

    15. [15]

      JIANG W, WU S, LUCIA L A, CHU J. A comparison of the pyrolysis behavior of selected β-O-4 type lignin model compounds[J]. J Anal Appl Pyrolysis, 2017,125:185-192. doi: 10.1016/j.jaap.2017.04.003

    16. [16]

      JIANG W, CHU J, WU S, LUCIA L A. Modeling pyrolytic behavior of pre-oxidized lignin using four representative β-ether-type lignin-like model polymers[J]. Fuel Process Technol, 2018,176:221-229. doi: 10.1016/j.fuproc.2018.03.041

    17. [17]

      KIM J, HAFEZI-SEFAT P, CADY S, SMITH R G, BROWN R C. Premethylation of lignin hydroxyl functionality for improving storage stability of oil from solvent liquefaction[J]. Energy Fuels, 2019,33(2):1248-1255. doi: 10.1021/acs.energyfuels.8b03894

    18. [18]

      ZHU G, QIU X, ZHAO Y, QIAN Y, PANG Y, OUYANG X. Depolymerization of lignin by microwave-assisted methylation of benzylic alcohols[J]. Bioresour Technol, 2016,218:718-722. doi: 10.1016/j.biortech.2016.07.021

    19. [19]

      LOHR T L, LI Z, MARKS T J. Selective ether/ester C-O cleavage of an acetylated lignin model via tandem catalysis[J]. ACS Catal, 2015,5(11):7004-7007. doi: 10.1021/acscatal.5b01972

    20. [20]

      HUANG J, LIU C, WU D, TONG H, REN L. Density functional theory studies on pyrolysis mechanism of β-O-4 type lignin dimer model compound[J]. J Anal Appl Pyrolysis, 2014,109:98-108. doi: 10.1016/j.jaap.2014.07.007

    21. [21]

      BRITT P F, BUCHANAN A C, COONEY M J, MARTINEAU D R. Flash vacuum pyrolysis of methoxy-substituted lignin model compounds[J]. J Org Chem, 2000,65(5):1376-1389. doi: 10.1021/jo991479k

    22. [22]

      BESTE A, BUCHANAN A C, BRITT P F, HATHORN B C, HARRISON R J. kinetic analysis of the pyrolysis of phenethyl phenyl ether:Computational prediction of α/β-selectivities[J]. J Phys Chem A, 2007,111:12118-12126. doi: 10.1021/jp075861+

    23. [23]

      BRITT P F, KIDDER M K, BUCHANAN A C. Oxygen substituent effects in the pyrolysis of phenethyl phenyl ethers[J]. Energy Fuels, 2007,21(6):3102-3108. doi: 10.1021/ef700354y

    24. [24]

      HUANG X, LIU C, HUANG J, LI H. Theory studies on pyrolysis mechanism of phenethyl phenyl ether[J]. Comput Theor Chem, 2011,976(1/3):51-59.  

    25. [25]

      CHEN L, YE X, LUO F, SHAO J, LU Q, FANG Y, WANG X, CHEN H. Pyrolysis mechanism of β-O-4 type lignin model dimer[J]. J Anal Appl Pyrolysis, 2015,115:103-111. doi: 10.1016/j.jaap.2015.07.009

    26. [26]

      ASARE S O, HUANG F, LYNN B C. Characterization and sequencing of lithium cationized β-O-4 lignin oligomers using higher-energy collisional dissociation mass spectrometry[J]. Anal Chim Acta, 2019,1047:104-114. doi: 10.1016/j.aca.2018.09.068

    27. [27]

      JARVIS M W, DAILY J W, CARSTENSEN H, DEAN A M, SHARMA S, DAYTON D C, ROBICHAUD D J, NIMLOS M R. Direct detection of products from the pyrolysis of 2-phenethyl phenyl ether[J]. J Phys Chem A, 2011,115(4):428-438. doi: 10.1021/jp1076356

    28. [28]

      FRISCH M J, TRUCKS G W, SCHLEGEL H B, et al. Gaussian09[CP]. Gaussian, Inc.Pittsburgh PA, 2009.

    29. [29]

      ELDER T. A computational study of pyrolysis reactions of lignin model compounds[J]. Holzforschung, 2010,64(4).  

    30. [30]

      JIANG X, LU Q, HU B, LIU J, DONG C, YANG Y. Intermolecular interaction mechanism of lignin pyrolysis:A joint theoretical and experimental study[J]. Fuel, 2018,215:386-394. doi: 10.1016/j.fuel.2017.11.084

    31. [31]

      BESTE A, BUCHANAN A C. Substituent effects on the reaction rates of hydrogen abstraction in the pyrolysis of phenethyl phenyl ethers[J]. Energy Fuels, 2010,24(5):2857-2867. doi: 10.1021/ef1001953

    32. [32]

      PARTHASARATHI R, ROMERO R A, REDONDO A, GNANAKARAN S. Theoretical study of the remarkably diverse linkages in lignin[J]. J Phys Chem Lett, 2011,2(20):2660-2666. doi: 10.1021/jz201201q

    33. [33]

      BESTE A, BUCHANAN A C. Kinetic simulation of the thermal degradation of phenethyl phenyl ether, a model compound for the β-O-4 linkage in lignin[J]. Chem Phys Lett, 2012,550:19-24. doi: 10.1016/j.cplett.2012.08.040

  • 加载中
    1. [1]

      Hao XURuopeng LIPeixia YANGAnmin LIUJie BAI . Regulation mechanism of halogen axial coordination atoms on the oxygen reduction activity of Fe-N4 site: A density functional theory study. Chinese Journal of Inorganic Chemistry, 2025, 41(4): 695-701. doi: 10.11862/CJIC.20240302

    2. [2]

      Jie ZHAOHuili ZHANGXiaoqing LUZhaojie WANG . Theoretical calculations of CO2 capture and separation by functional groups modified 2D covalent organic framework. Chinese Journal of Inorganic Chemistry, 2025, 41(2): 275-283. doi: 10.11862/CJIC.20240213

    3. [3]

      Wei SunYongjing WangKun XiangSaishuai BaiHaitao WangJing ZouArramelJizhou Jiang . CoP Decorated on Ti3C2Tx MXene Nanocomposites as Robust Electrocatalyst for Hydrogen Evolution Reaction. Acta Physico-Chimica Sinica, 2024, 40(8): 2308015-0. doi: 10.3866/PKU.WHXB202308015

    4. [4]

      Kaifu Zhang Shan Gao Bin Yang . Application of Theoretical Calculation with Fun Practice in Raman Spectroscopy Experimental Teaching. University Chemistry, 2025, 40(3): 62-67. doi: 10.12461/PKU.DXHX202404045

    5. [5]

      Jie ZHAOSen LIUQikang YINXiaoqing LUZhaojie WANG . Theoretical calculation of selective adsorption and separation of CO2 by alkali metal modified naphthalene/naphthalenediyne. Chinese Journal of Inorganic Chemistry, 2024, 40(3): 515-522. doi: 10.11862/CJIC.20230385

    6. [6]

      Yupeng TANGHaiying YANGFan JINNan LI . Hydrogen storage properties of C6S6Li6: A density functional theory study. Chinese Journal of Inorganic Chemistry, 2025, 41(9): 1827-1839. doi: 10.11862/CJIC.20240460

    7. [7]

      Weina Wang Lixia Feng Fengyi Liu Wenliang Wang . Computational Chemistry Experiments in Facilitating the Study of Organic Reaction Mechanism: A Case Study of Electrophilic Addition of HCl to Asymmetric Alkenes. University Chemistry, 2025, 40(3): 206-214. doi: 10.12461/PKU.DXHX202407022

    8. [8]

      Tongqi Ye Yanqing Wang Qi Wang Huaiping Cong Xianghua Kong Yuewen Ye . Reform of Classical Thermodynamics Curriculum from the Perspective of Computational Chemistry. University Chemistry, 2025, 40(7): 387-392. doi: 10.12461/PKU.DXHX202409128

    9. [9]

      Xiaochen ZhangFei YuJie Ma . Cutting-Edge Applications of Multi-Angle Numerical Simulations for Capacitive Deionization. Acta Physico-Chimica Sinica, 2024, 40(11): 2311026-0. doi: 10.3866/PKU.WHXB202311026

    10. [10]

      Xinwan ZhaoYue CaoMinjun LeiZhiliang JinTsubaki Noritatsu . Constructing S-scheme heterojunctions by integrating covalent organic frameworks with transition metal sulfides for efficient noble-metal-free photocatalytic hydrogen evolution. Acta Physico-Chimica Sinica, 2025, 41(12): 100152-0. doi: 10.1016/j.actphy.2025.100152

    11. [11]

      Yuai Duan Xuanyu Gan Yao Fu Yingjie Cao Hongliang Han Zhanfang Ma . Application and Innovative Design of Digital Technology in the Preparation Experiment of Cis(Trans)-Diglycine Copper Complexes. University Chemistry, 2026, 41(1): 373-381. doi: 10.12461/PKU.DXHX202504048

    12. [12]

      Qishen WangChangzhao ChenMengqing LiLingmin WuKai Dai . Lignin derived carbon quantum dots and oxygen vacancies coregulated S-scheme LCQDs/Bi2WO6 heterojunction for photocatalytic H2O2 production. Acta Physico-Chimica Sinica, 2025, 41(11): 100147-0. doi: 10.1016/j.actphy.2025.100147

    13. [13]

      Meifeng Zhu Jin Cheng Kai Huang Cheng Lian Shouhong Xu Honglai Liu . Classical Density Functional Theory for Understanding Electrochemical Interface. University Chemistry, 2025, 40(3): 148-152. doi: 10.12461/PKU.DXHX202405166

    14. [14]

      Danqing Wu Jiajun Liu Tianyu Li Dazhen Xu Zhiwei Miao . Research Progress on the Simultaneous Construction of C—O and C—X Bonds via 1,2-Difunctionalization of Olefins through Radical Pathways. University Chemistry, 2024, 39(11): 146-157. doi: 10.12461/PKU.DXHX202403087

    15. [15]

      Maitri BhattacharjeeRekha Boruah SmritiR. N. Dutta PurkayasthaWaldemar ManiukiewiczShubhamoy ChowdhuryDebasish MaitiTamanna Akhtar . Synthesis, structural characterization, bio-activity, and density functional theory calculation on Cu(Ⅱ) complexes with hydrazone-based Schiff base ligands. Chinese Journal of Inorganic Chemistry, 2024, 40(7): 1409-1422. doi: 10.11862/CJIC.20240007

    16. [16]

      Zhengkun QINZicong PANHui TIANWanyi ZHANGMingxing SONG . A series of iridium(Ⅲ) complexes with fluorophenyl isoquinoline ligand and low-efficiency roll-off properties: A density functional theory study. Chinese Journal of Inorganic Chemistry, 2025, 41(6): 1235-1244. doi: 10.11862/CJIC.20240429

    17. [17]

      Haifeng ZHENGXingzhe GUOYunwei WEIXinfang WANGHuimin QIYuting YANJie ZHANGBingwen LI . Post-synthetic modification strategy to construct Co-MOF composites for boosting oxygen evolution reaction activity. Chinese Journal of Inorganic Chemistry, 2026, 42(1): 193-202. doi: 10.11862/CJIC.20250029

    18. [18]

      Xinyu Zhu Meili Pang . Application of Functional Group Addition Strategy in Organic Synthesis. University Chemistry, 2024, 39(3): 218-230. doi: 10.3866/PKU.DXHX202308106

    19. [19]

      Wen Jiang Jieli Lin Zhongshu Li . 低配位含磷官能团的研究进展. University Chemistry, 2025, 40(8): 138-151. doi: 10.12461/PKU.DXHX202409144

    20. [20]

      Yuanyuan Ping Wangqing Kong . 光催化碳氢键官能团化合成1-苯基-1,2-乙二醇. University Chemistry, 2025, 40(6): 238-247. doi: 10.12461/PKU.DXHX202408092

Metrics
  • PDF Downloads(9)
  • Abstract views(1228)
  • HTML views(127)

通讯作者: 陈斌, bchen63@163.com
  • 1. 

    沈阳化工大学材料科学与工程学院 沈阳 110142

  1. 本站搜索
  2. 百度学术搜索
  3. 万方数据库搜索
  4. CNKI搜索
Address:Zhongguancun North First Street 2,100190 Beijing, PR China Tel: +86-010-82449177-888
Powered By info@rhhz.net

/

DownLoad:  Full-Size Img  PowerPoint
Return