Citation: XIAO Zhu-qian, SHA Ru-yi, JI Jian-bing, MAO Jian-wei. Mordenite supported Ni-W self-reducing bifunctional catalyst for cellulose hydrogenolysis into ethylene glycol[J]. Journal of Fuel Chemistry and Technology, ;2016, 44(10): 1225-1232. shu

Mordenite supported Ni-W self-reducing bifunctional catalyst for cellulose hydrogenolysis into ethylene glycol

  • Corresponding author: SHA Ru-yi, zjhzxzq@yeah.net
  • Received Date: 6 June 2016
    Revised Date: 10 July 2016

Figures(6)

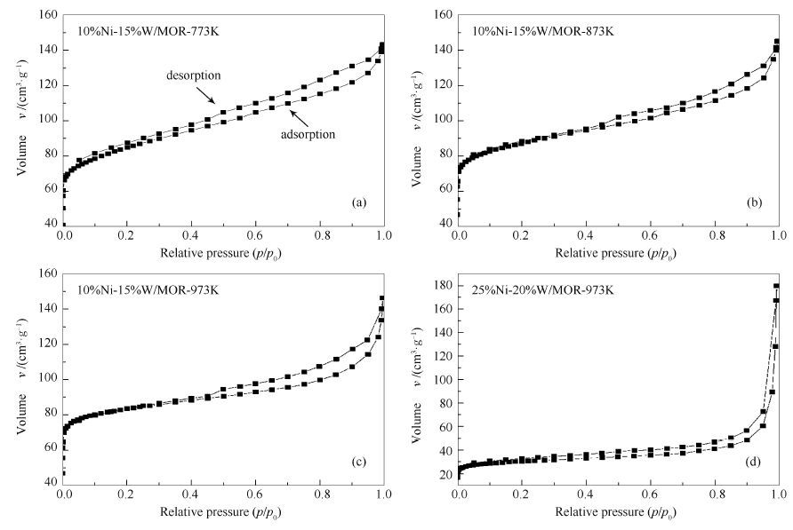
  • Based on the reducing gases (H2 and CO) generated from biomass-based carbon at high clacination temperature, self-reducing bifunctional catalyst Ni-W/MOR was prepared by incipient impregnation. This series of catalysts were directly applied to cellulose hydrogenolysis to low carbon polyols in aqueous solution, omitting the catalysts reduction step. The effects of catalysts temperature of the catalyst and weight ratio of active components on conversion of cellulose and yield of target products were investigated. The optimal calcination temperature was 773 K through experimental results. XRD analysis showed that the crystallinity and species of metallic alloys were related to different weight ratios of nickel and tungsten. It was intuitively observed that the active metals showed good dispersion on the surface of MOR through TEM characterization, with particles sizes less than 20 nm. The total yield of low carbon polyols was up to 56.92%, including 52.30% of EG under the reaction condition of 5.0 MPa of H2 for 2 h reaction time and the calcination temperature of catalysts was 773 K.
  • 加载中
    1. [1]

      ROSELINDE O, MICHIEL D, JAN A G, BEAU O B, RICK V, ELENA G, JOHAN A M, ANDREAS R, BERT F S. Conversion of sugar to ethylene glycol with nickel tungsten carbide in a fed-batch reactor:High productivity and reaction network elucidation[J]. Green Chem, 2014,16(2):695-707. doi: 10.1039/C3GC41431K

    2. [2]

      BEAK I G, YOU S J, PARK E D. Direct conversion of cellulose into polyols over Ni/W/SiO2-Al2O3[J]. Bioresouce Technol, 2012,114:684-690. doi: 10.1016/j.biortech.2012.03.059

    3. [3]

      FUKUOKA A, DHEPE P L. Catalytic conversion of cellulose into sugar alcohols[J]. Angew Chem Int Ed, 2006(31):5161-5163.

    4. [4]

      LUO C, WANG S, LIU H. Cellulose conversion into polyols catalyzed by reversibly formed acids and supported Ruthenium clusters in hot water[J]. Angew Chem Int Ed, 2007,46(40):7636-7639. doi: 10.1002/(ISSN)1521-3773

    5. [5]

      DENG W P, TAN X, FANG W, ZHANG Q, WANG Y. Converison of cellulose into sorbitol over carbon nanotube-supported Ruthenium catalyst[J]. Catal Lett, 2009,133:167-174. doi: 10.1007/s10562-009-0136-3

    6. [6]

      NIU Y F, WANG H, ZHU X L, SONG Z Q, XIE X N, LIU X, HAN J Y, GE Q F. Ru supported on zirconia-modified SBA-15 for selective converison of cellulose to hexitol[J]. Microporous Mesoporous Mater, 2014,198:215-222. doi: 10.1016/j.micromeso.2014.07.030

    7. [7]

      YOU S J, BEAK I G, KIM Y T, JEONG K E, CHAE H J, KIM T W, KIM C U, KIM T J, CHUNG Y M, OH S H, PARK E D. Direct converison of cellulose into polyols or H2 over Pt/Na (H)-ZSM-5[J]. Korean J Chem Eng, 2011,28(3):744-750. doi: 10.1007/s11814-011-0019-3

    8. [8]

      Sun J Y, LIU H C. Selective hydrogenolysis of biomass-derived xylitol to ethylene glycol and propylene glycol on Ni/C and basic oxide-promoted Ni/C catalysts[J]. Catal Today, 2014,234:75-82. doi: 10.1016/j.cattod.2013.12.040

    9. [9]

      KATERINA F, OLIVER M, MARTIN L, PETER C. Hydrogenolysis of cellulose to valuable chemicals over actived carbon supported mono-and bimetallic nickel/tungsten catalysts[J]. Green Chem, 2014,16:3580-3588. doi: 10.1039/C4GC00664J

    10. [10]

      WANG A Q, ZHANG T. One-pot conversion of cellulose to ethylene glycol with multifunctional tungsten-based catalysts[J]. Accounts Chem Res, 2013,46(7):1377-1386. doi: 10.1021/ar3002156

    11. [11]

      ZHAO M, CHUECH T L, HARRIS A T. SBA-15 supported Ni-Co bimetallic catalysts for enhanced hydrogen production during cellulose decomposition[J]. Appl Catal B:Environ, 2011,101(3/4):522-530.

    12. [12]

      JI N, ZHENG M Y, WANG A Q, ZHANG T, CHEN J G. Nickel-promoted tungsten carbide catalysts for cellulose conversion:effect of preparation methods[J]. ChemSusChem, 2012,5(5):939-944. doi: 10.1002/cssc.201100575

    13. [13]

      ZHENG M Y, WANG A Q, JI N, PANG J F, WANG X D, ZHANG T. Transition metal-tungsten bimetallic catalysts for the conversion of cellulose into ethylene glycol[J]. ChemSusChem, 2010,3:63-66. doi: 10.1002/cssc.v3:1

    14. [14]

      ZHAO Guan-hong, ZHENG Min-yuan, WANG Ai-qin, ZHANG Tao. Catalytic conversion of cellulose to ethylene glycol over tungsten phosphide catalysts[J]. Chin J Catal, 2010,31(8):928-932. doi: 10.1016/S1872-2067(10)60104-0

    15. [15]

      KITCHIN J R, NORSKOV J K, BARTEAU M A, CHEN J G. Modification of the surface electronic and chemical properties of Pt (111) by subsurface 3d transition metals[J]. J Chem Phys, 2004,120(21):10240-10246. doi: 10.1063/1.1737365

    16. [16]

      CHEN J G, MENNING C A, ZELLNER M B. Monolayer bimetallic surfaces:Experimental and theoretical studies of trends in electronic and chemical properties[J]. Surf Sci Pep, 2008,63(5):201-254.

  • 加载中
    1. [1]

      Yuanyuan Ping Wangqing Kong . 光催化碳氢键官能团化合成1-苯基-1,2-乙二醇. University Chemistry, 2025, 40(6): 238-247. doi: 10.12461/PKU.DXHX202408092

    2. [2]

      Shiyi ChenJialong FuJianping QiuGuoju ChangShiyou Hao . Waste medical mask-derived carbon quantum dots enhance the photocatalytic degradation of polyethylene terephthalate (PET) over BiOBr/g-C3N4 S-scheme heterojunction. Acta Physico-Chimica Sinica, 2026, 42(1): 100135-0. doi: 10.1016/j.actphy.2025.100135

    3. [3]

      Yiling Wu Peiyao Jin Shenyue Tian Ji Zhang . The Star of Sugar Substitutes: An Interview of Erythritol. University Chemistry, 2024, 39(9): 22-27. doi: 10.12461/PKU.DXHX202404034

    4. [4]

      Xinhao Yan Guoliang Hu Ruixi Chen Hongyu Liu Qizhi Yao Jiao Li Lingling Li . Polyethylene Glycol-Ammonium Sulfate-Nitroso R Salt System for the Separation of Cobalt (II). University Chemistry, 2024, 39(6): 287-294. doi: 10.3866/PKU.DXHX202310073

    5. [5]

      Jiali LeiJuan WangWenhui ZhangGuohong WangZihui LiangJinmao Li . TiO2/CdIn2S4 S-scheme heterojunction photocatalyst promotes photocatalytic hydrogen evolution coupled vanillyl alcohol oxidation. Acta Physico-Chimica Sinica, 2025, 41(12): 100174-0. doi: 10.1016/j.actphy.2025.100174

    6. [6]

      Qinhui GuanYuhao GuoNa LiJing LiTingjiang Yan . Molecular sieve-mediated indium oxide catalysts for enhancing photocatalytic CO2 hydrogenation. Acta Physico-Chimica Sinica, 2025, 41(11): 100133-0. doi: 10.1016/j.actphy.2025.100133

    7. [7]

      Yajin LiHuimin LiuLan MaJiaxiong LiuDehua He . Photothermal Synthesis of Glycerol Carbonate via Glycerol Carbonylation with CO2 over Au/Co3O4-ZnO Catalyst. Acta Physico-Chimica Sinica, 2024, 40(9): 2308005-0. doi: 10.3866/PKU.WHXB202308005

    8. [8]

      Zhanggui DUANYi PEIShanshan ZHENGZhaoyang WANGYongguang WANGJunjie WANGYang HUChunxin LÜWei ZHONG . Preparation of UiO-66-NH2 supported copper catalyst and its catalytic activity on alcohol oxidation. Chinese Journal of Inorganic Chemistry, 2024, 40(3): 496-506. doi: 10.11862/CJIC.20230317

    9. [9]

      Zhuoming Liang Ming Chen Zhiwen Zheng Kai Chen . Multidimensional Studies on Ketone-Enol Tautomerism of 1,3-Diketones By 1H NMR. University Chemistry, 2024, 39(7): 361-367. doi: 10.3866/PKU.DXHX202311029

    10. [10]

      Hailian TangSiyuan ChenQiaoyun LiuGuoyi BaiBotao QiaoLiu Fei . Stabilized Rh/hydroxyapatite Catalyst for Furfuryl Alcohol Hydrogenation: Application of Oxidative Strong Metal-Support Interactions in Reducing Conditions. Acta Physico-Chimica Sinica, 2025, 41(4): 100036-0. doi: 10.3866/PKU.WHXB202408004

    11. [11]

      Qingqing SHENXiangbowen DUKaicheng QIANZhikang JINZheng FANGTong WEIRenhong LI . Self-supporting Cu/α-FeOOH/foam nickel composite catalyst for efficient hydrogen production by coupling methanol oxidation and water electrolysis. Chinese Journal of Inorganic Chemistry, 2024, 40(10): 1953-1964. doi: 10.11862/CJIC.20240028

    12. [12]

      Jiali CHENGuoxiang ZHAOYayu YANWanting XIAQiaohong LIJian ZHANG . Machine learning exploring the adsorption of electronic gases on zeolite molecular sieves. Chinese Journal of Inorganic Chemistry, 2025, 41(1): 155-164. doi: 10.11862/CJIC.20240408

    13. [13]

      Yufang GAONan HOUYaning LIANGNing LIYanting ZHANGZelong LIXiaofeng LI . Nano-thin layer MCM-22 zeolite: Synthesis and catalytic properties of trimethylbenzene isomerization reaction. Chinese Journal of Inorganic Chemistry, 2024, 40(6): 1079-1087. doi: 10.11862/CJIC.20240036

    14. [14]

      Aili Feng Xin Lu Peng Liu Dongju Zhang . Computational Chemistry Study of Acid-Catalyzed Esterification Reactions between Carboxylic Acids and Alcohols. University Chemistry, 2025, 40(3): 92-99. doi: 10.12461/PKU.DXHX202405072

    15. [15]

      Xiqing Liang Tian Zhao Jiawei Li Haohui Tan Hai Chen Liyan Zeng . Pentaerythritol’s Journey of Making Friends. University Chemistry, 2025, 40(10): 175-185. doi: 10.12461/PKU.DXHX202412009

    16. [16]

      Bing WEIJianfan ZHANGZhe CHEN . Research progress in fine tuning of bimetallic nanocatalysts for electrocatalytic carbon dioxide reduction. Chinese Journal of Inorganic Chemistry, 2025, 41(3): 425-439. doi: 10.11862/CJIC.20240201

    17. [17]

      Xichen YAOShuxian WANGYun WANGCheng WANGChuang ZHANG . Oxygen reduction performance of self?supported Fe/N/C three-dimensional aerogel catalyst layers. Chinese Journal of Inorganic Chemistry, 2025, 41(7): 1387-1396. doi: 10.11862/CJIC.20240384

    18. [18]

      Yifeng TANPing CAOKai MAJingtong LIYuheng WANG . Synthesis of pentaerythritol tetra(2-ethylthylhexoate) catalyzed by h-MoO3/SiO2. Chinese Journal of Inorganic Chemistry, 2024, 40(11): 2155-2162. doi: 10.11862/CJIC.20240147

    19. [19]

      Mengyang LIHao XUZhonghao NIUChunhua GONGWeihui ZHONGJingli XIE . Highly effective catalytic synthesis of β-amino alcohols by using viologen-polyoxometalate hybrid materials. Chinese Journal of Inorganic Chemistry, 2025, 41(7): 1294-1300. doi: 10.11862/CJIC.20250080

    20. [20]

      Yinjie XuSuiqin LiLihao LiuJiahui HeKai LiMengxin WangShuying ZhaoChun LiZhengbin ZhangXing ZhongJianguo Wang . Enhanced Electrocatalytic Oxidation of Sterols using the Synergistic Effect of NiFe-MOF and Aminoxyl Radicals. Acta Physico-Chimica Sinica, 2024, 40(3): 2305012-0. doi: 10.3866/PKU.WHXB202305012

Metrics
  • PDF Downloads(1)
  • Abstract views(1244)
  • HTML views(175)

通讯作者: 陈斌, bchen63@163.com
  • 1. 

    沈阳化工大学材料科学与工程学院 沈阳 110142

  1. 本站搜索
  2. 百度学术搜索
  3. 万方数据库搜索
  4. CNKI搜索
Address:Zhongguancun North First Street 2,100190 Beijing, PR China Tel: +86-010-82449177-888
Powered By info@rhhz.net

/

DownLoad:  Full-Size Img  PowerPoint
Return