Citation: GAO Lan-jun, WANG Fu-mei, WU Han-ming, PAN Yi-jun, SHEN Bo-xiong. Synthesis of mesoprous materials with Ce-Co/KIT-6 and its mercury removal performance[J]. Journal of Fuel Chemistry and Technology, ;2017, 45(8): 1017-1024. shu

Synthesis of mesoprous materials with Ce-Co/KIT-6 and its mercury removal performance

Figures(11)

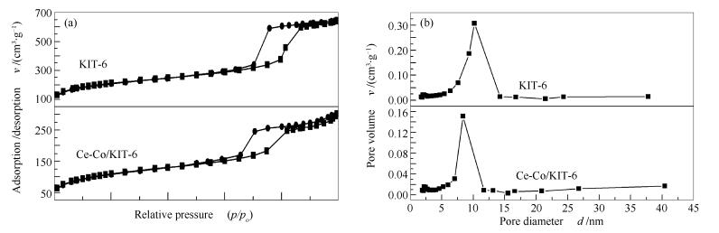
  • The oxidation activity of elemental mercury (Hg0) by transition metal modified KIT-6 was investigated using a simulated element mercury (Hg0) adsorption reactor. The physical and chemical propertied of the catalysts were characterized by scanning electron microscope (SEM), N2 adsorption-desorption (BET), Fourier Transform Infrared spectroscopy (FT-IR) Analysis, H2-Temperature programmed reduction (H2-TPR), thermogravimetric analysis (TGA). The results show that Ce-Co/KIT-6 surface area and total pore volume of the catalysts decrease after the modification. However, the pore structure and distribution after modification have little variation. The mean pore size and BET surface area of mesoporous Ce-Co/KIT-6 are 4.6 nm and 495.2 m2/g, respectively. The Ce-Co/KIT-6 shows a high Hg0 adsorption efficiency without O2, the removal efficiency of Hg0 is about 50.67%; moreover, it has a high Hg0 removal efficiency of O2 above 95% for 250 ℃, the presence of O2 greatly contributes to mercury removal capacity of the catalyst. Oxygen enters the metal structure through changes in the valence state of Ce-Co and reacts with mercury, which may be the main mechanism of this process.
  • 加载中
    1. [1]

      LI P, FENG X B, QIU G L, SHANG L H, LI ZG. Mercury pollution in Asia: A review of the contaminated sites[J]. J Hazrad Mater, 2009,168(2/3):591-601.  

    2. [2]

      PACYNA EG, PACYN JM, SUNDSETH K, MUNTHE J, KINDBOM K. Global emission of mercury to the atmosphere from anthropogenic sources in 2005 and projections to 2020[J]. Atmospheric Environment, 2010,44(20):2487-2499. doi: 10.1016/j.atmosenv.2009.06.009

    3. [3]

      ZHENG Liu-gen, LIU Gui-jian, Ql Cui-cui, CHEN Yi-wei, ZHANG Ying. Study on environment geochemistry of mercury in Chinese coals[J]. J Univer Sci Technol China, 2007,37(8):953-963.  

    4. [4]

      SLEMR F, SCHUSTER G, SEILER W. Distribution, speciation and budget of atmospheric mercury[J]. J Atmospheric Chem, 1985,3(4):407-434. doi: 10.1007/BF00053870

    5. [5]

      QU Z, YAN N, LIU P, JIA J, YANG S. The role of iodine monochlorid, for the oxidation of elemental mercury[J]. J Hazardous Materials, 2010,183(1/3):132-137.  

    6. [6]

      HE C, SHEN B, CHEN J, CAI J. Adsorption and oxidation of elemental mercury over Ce-Mnx/Ti-PILCs[J]. Environ Sci Technol, 2014,48(14):7891-7898. doi: 10.1021/es5007719

    7. [7]

      ZHANG H R, WU H, LIU H, WANG M, YANG H. Performance and kinetics of mercury adsorption over Taixi activated coke[J]. CIESC Journal, 2013,64(3):1076-1083.  

    8. [8]

      LI G, SHEN B, LI Y, ZHAO B, WANG F, HE C. Removal of element mercury by medicine residue derived biocharsin presence of various gas compositions[J]. J Hazardous Material, 2015,298(15):162-169.  

    9. [9]

      SELVARAJ M, SINHAP K, LEE K, AHN I, PANDURANGAN A, LEE T G. Synthesis and characterization of Mn-MCM-41 and Zr-Mn-MCM-41[J]. Microporous Mesoporous Mater, 2005,78:139-149. doi: 10.1016/j.micromeso.2004.10.004

    10. [10]

      O'SHEA V, ALVAREZ-GALVAN M C, FIERRO J L G, ARIAS P L. Influence of feed composition on the activity of Mn and PdMn/Al2O3 catalysts for combustion of formaldehyde/methanol[J]. Appl Catal B, 2005,57(3):191-199. doi: 10.1016/j.apcatb.2004.11.001

    11. [11]

      XIE Xiao-wei, LI Yong, LIU Zhi-quan, MASATAKE H, SHEN Wen-jie. Low-temperature oxidation of CO catalysed by Co3O4 nanorods[J]. Nature, 2009,458(7239):746-749. doi: 10.1038/nature07877

    12. [12]

      SCHUNK B S A, DEMUTH D G, SCHULZDOBRIK B, UNGER K K. Microporous Mesoporous Mater. 2005, 78, 139.

    13. [13]

      KLEITZ F, CHOI S, RYOO R. Cubic Ia 3d large mesoporous silica: Synthesis and replication to platinum nanowires, carbannanorods and carbon nanotubes[J]. Korean J Chem Eng, 2009,26(5):2136-2137.  

    14. [14]

      JERMY B R, KIM S Y, BINEESH K V, SELVARAJ M, PARK D W. Direct incorporation of vanadium into three-dimensional KIT-6:1. Optimization of synthesis conditions[J]. Korean J Chem Eng, 2009,90:55-63.  

    15. [15]

      LAHA S C, RYOO R. Synthesis of thermally stable mesoporous cerium oxide with nanocrystalline frameworks using mesoporous silica templates[J]. Chem Soc, 2007,129(21):6698-6699. doi: 10.1021/ja070908q

    16. [16]

      LEE D, IHM S, LEE K. Mesostructure control using a titania-coated silica nanosphere framwork with extremely high thermal stability[J]. Korea J Chem Eng, 2009,26(5):1235-1240. doi: 10.1007/s11814-009-0199-2

    17. [17]

      DING Z, LU G Q. Greenfeild. Role of the crystalltie phase of TiO2 in heterogeneous photocatalysis for phenol oxidation water[J]. Phys Chem B, 2000,104:4815-4821. doi: 10.1021/jp993819b

    18. [18]

      SONI K, RANA B S, SINHA A K, BHAUMIK A, NANDI M. 3-D ordered mesoporous KIT-6 support for effiective hydrodesulfurization catalysts[J]. Appl Catal B: Environ, 2009,90:55-63. doi: 10.1016/j.apcatb.2009.02.010

    19. [19]

      YEE K K, REIMER N, LIU J, CHENG S Y, YIU S M. Effective mercury sorption by thiol-laced metal-organic frameworks: in strong acid and the vapor phase[J]. J Am Chem Soc, 2013,135(21):7795-7798. doi: 10.1021/ja400212k

    20. [20]

      LEVI G, SENNECA O, CAUSÀ M, SALATINO P, LACOVIG P, LIZZIT S. Probing the chemical nature of surface oxides during coal char oxidation by high-resolution XPS[J]. Carbon, 2015,90:181-196. doi: 10.1016/j.carbon.2015.04.003

    21. [21]

      ETTIREDDY P R, ETTIREDDY N, MAMEDOV S, BOOLCHAND P, SMIRNIOTIS P G. Surface characterization studies of TiO2 supported manganese oxide catalysts for low temperature SCR of NO with NH3[J]. Appl Catal B: Environmental, 2007,76(1/2):123-134.  

    22. [22]

      HAYKIRI-ACMA H, YAMAN S. Synergy in devolatilization characteristics of lignite and hazelnut shell during co-pyrolysis[J]. Fuel, 2007,86(3):373-380. doi: 10.1016/j.fuel.2006.07.005

    23. [23]

      KAMATA H, UENOSI , NAITOT , YUKIMURA A. Mercury oxidation over the V2O5(WO3)/TiO2 commercial SCR catalyst[J]. Ind Eng Chem Res, 2008,47(21):8136-8141. doi: 10.1021/ie800363g

    24. [24]

      YANG J, YANG Q, SUN J, LIU Q C, ZHAO D, GAO W, LIU L. Effects of mercury oxidation on V2O5-WO3/TiO2 catalyst properties in NH3-SCR process[J]. Catal Commun, 2015,59:78-82. doi: 10.1016/j.catcom.2014.09.049

    25. [25]

      HONG H J, HAM S W, KIM M H, LEE S M, LEE J B. Characteristics of commercial selective catalytic reduction catalyst for the oxidation of gaseous elemental mercury with respect to reaction conditions[J]. Korean J Chem Eng, 2010,27(4):1117-1122. doi: 10.1007/s11814-010-0175-x

    26. [26]

      KONG F, QIU J, HAO L, RAN Z, ZENG H. Effect of NO/SO2 on elemental mercury adsorption by nano-Fe2O3[J]. Proceedings of the CSEE, 2010,30(35):43-48.  

    27. [27]

      LIU H, ZHANG H, YANG H. Photocatalytic removal of nitric oxide by multi-walled carbon nanotubes-supported TiO2[J]. Chin J Catal, 2014,35(1):66-77. doi: 10.1016/S1872-2067(12)60705-0

    28. [28]

      HRDLICKA J A, SEAMES W S, MANN M D, MUGGLI D S, HORABIK C A. Mercury oxidation in flue gas using gold and palladium catalysts on fabric filters[J]. Environ Sci Technol, 2008,42(17):6677-82. doi: 10.1021/es8001844

    29. [29]

      CAO Y, CHENG C M, CHEN C W, LIU M, WANG C, PAN W P. Abatement of mercury emissions in the coal combustion process equipped with a fabric filter baghouse[J]. Fuel, 2008,87(15/16):3322-3330.  

    30. [30]

      HENDERSON MICHAEL A. An HREELS and TPD study of water on TiO2[J]. Surface Science, 1996,355(1):151-166.  

  • 加载中
    1. [1]

      Feifan ZhaoFeiyan XuJiaguo Yu . Interfacial stabilization of alkali metal oxides on carbon spheres for high-performance CO2 chemisorption. Acta Physico-Chimica Sinica, 2026, 42(5): 100234-0. doi: 10.1016/j.actphy.2025.100234

    2. [2]

      Ping ZHANGChenchen ZHAOXiaoyun CUIBing XIEYihan LIUHaiyu LINJiale ZHANGYu'nan CHEN . Preparation and adsorption-photocatalytic performance of ZnAl@layered double oxides. Chinese Journal of Inorganic Chemistry, 2024, 40(10): 1965-1974. doi: 10.11862/CJIC.20240014

    3. [3]

      Shiyi WANGChaolong CHENXiangjian KONGLansun ZHENGLasheng LONG . Polynuclear lanthanide compound [Ce4Ce6(μ3-O)4(μ4-O)4(acac)14(CH3O)6]·2CH3OH for the hydroboration of amides to amine. Chinese Journal of Inorganic Chemistry, 2025, 41(1): 88-96. doi: 10.11862/CJIC.20240342

    4. [4]

      Zhengzheng LIUPengyun ZHANGChengri WANGShengli HUANGGuoyu YANG . Synthesis, structure, and electrochemical properties of a sandwich-type {Co6}-cluster-added germanotungstate. Chinese Journal of Inorganic Chemistry, 2024, 40(6): 1173-1179. doi: 10.11862/CJIC.20240039

    5. [5]

      Yuanqing WangYusong PanHongwu ZhuYanlei XiangRong HanRun HuangChao DuChengling Pan . Enhanced Catalytic Activity of Bi2WO6 for Organic Pollutants Degradation under the Synergism between Advanced Oxidative Processes and Visible Light Irradiation. Acta Physico-Chimica Sinica, 2024, 40(4): 2304050-0. doi: 10.3866/PKU.WHXB202304050

    6. [6]

      Yupeng TANGHaiying YANGFan JINNan LI . Hydrogen storage properties of C6S6Li6: A density functional theory study. Chinese Journal of Inorganic Chemistry, 2025, 41(9): 1827-1839. doi: 10.11862/CJIC.20240460

    7. [7]

      Hui LiChunlang GaoGuo YangLu XiaWulyu JiangCheng WuKaiwen WangYingtang ZhouXiaodong Han . Enhanced photocatalytic CO2 reduction of Bi2WO6-BiOCl heterostructure with coherent interface for charge utilization. Chinese Chemical Letters, 2025, 36(9): 110547-. doi: 10.1016/j.cclet.2024.110547

    8. [8]

      Haozhe Hu Haoyu Zhang Changsheng Lu . Study on the Precipitation Process of Elemental Sulfur from the Decomposition Products of Thiosulfuric Acid: Is It an Unexpected Failed Experiment?. University Chemistry, 2025, 40(11): 409-415. doi: 10.12461/PKU.DXHX202412034

    9. [9]

      Xue-Wen WuBin-Bao WangYu QinYong-Xiang HuangMuhammad Aurang ZebBin ChengXiao-Li LiChang-Bo ZhengWei-Lie Xiao . Diterpenoids with unexpected 5/6/6-fused ring system and its dimer from Strophioblachia glandulosa. Chinese Chemical Letters, 2025, 36(8): 110584-. doi: 10.1016/j.cclet.2024.110584

    10. [10]

      Xueqi YangJuntao ZhaoJiawei YeDesen ZhouTingmin DiJun Zhang . 调节NNU-55(Fe)的d带中心以增强CO2吸附和光催化活性. Acta Physico-Chimica Sinica, 2025, 41(7): 100074-0. doi: 10.1016/j.actphy.2025.100074

    11. [11]

      Gaihua Li Donglian Liu Xiuge Wang Shuang Liu Ning Zhang Xuerui Tian . Teaching Design of Elemental Chemistry under the Concept of “Curriculum Ideology and Politics”: a Case of Mercury. University Chemistry, 2026, 41(2): 45-53. doi: 10.12461/PKU.DXHX202502025

    12. [12]

      Hanqi ZhangBiao GaoYuanyuan FengGuijuan ZhengZhijun LiuLichun KongJunjun LiuHaji Akber AisaGuangmin Yao . DFT calculations and dynamic NMR revealed the coalescent NMR phenomena of the 6/6/6/9 tetracyclic merosesquiterpenoids with an unprecedented 9,15-dioxatetracyclo[8.5.3.04,17.014,18]octadecane core skeleton. Chinese Chemical Letters, 2025, 36(9): 111234-. doi: 10.1016/j.cclet.2025.111234

    13. [13]

      Xiutao XuChunfeng ShaoJinfeng ZhangZhongliao WangKai Dai . Rational Design of S-Scheme CeO2/Bi2MoO6 Microsphere Heterojunction for Efficient Photocatalytic CO2 Reduction. Acta Physico-Chimica Sinica, 2024, 40(10): 2309031-0. doi: 10.3866/PKU.WHXB202309031

    14. [14]

      . . University Chemistry, 2024, 39(6): 0-0.

    15. [15]

      . Cover and Table of Contents for Vol.41 No. 6. Acta Physico-Chimica Sinica, 2025, 41(6): -.

    16. [16]

      . 第40卷第6期封面和目次. University Chemistry, 2025, 40(6): 0-0.

    17. [17]

      Yongqing ZengCaijun LiangXin LuLingxue ZhaoFangting WuTao HouAnting ZhaoMenglan LvZhu TaoQing Li . Perfect separation of pyridine and 3-methylpyridine by cucurbit[6]uril. Chinese Chemical Letters, 2025, 36(9): 110807-. doi: 10.1016/j.cclet.2024.110807

    18. [18]

      Wenxiong YuChenyu YangXian FengChengshuo Shen . Scholl cyclization of [6]helicenes into negatively curved hexa[7]circulenes. Chinese Chemical Letters, 2025, 36(11): 110939-. doi: 10.1016/j.cclet.2025.110939

    19. [19]

      Jiang-Feng XingKang LiWan XiangYang-Yang JuXin-Jing ZhaoXiao-Hui MaMei-Lin ZhangYuan-Zhi Tan . Oxa-helicenes embedding heptagons by stepwise cyclization of [6]helicene unit. Chinese Chemical Letters, 2025, 36(11): 110982-. doi: 10.1016/j.cclet.2025.110982

    20. [20]

      Xiaodong Zhang Bohui Xu Deshuai Xiao Xinyuan Zhang Pifu Gong Zheshuai Lin . From centrosymmetric CN3H6C6H5SO3 to non-centrosymmetric CN3H6C6H4SO3(OH): Hydroxyl introduced hydrogen bond reconstruction to realize strong second harmonic generation. Chinese Journal of Structural Chemistry, 2025, 44(10): 100707-100707. doi: 10.1016/j.cjsc.2025.100707

Metrics
  • PDF Downloads(1)
  • Abstract views(3817)
  • HTML views(1081)

通讯作者: 陈斌, bchen63@163.com
  • 1. 

    沈阳化工大学材料科学与工程学院 沈阳 110142

  1. 本站搜索
  2. 百度学术搜索
  3. 万方数据库搜索
  4. CNKI搜索
Address:Zhongguancun North First Street 2,100190 Beijing, PR China Tel: +86-010-82449177-888
Powered By info@rhhz.net

/

DownLoad:  Full-Size Img  PowerPoint
Return