Citation: CUI Ying-dan, ZHONG Mei, HALIDAN Maimaiti, XU Bo, WANG Shi-xin. Preparation and structure analysis of medium temperature coal tar pitch-based carbon quantum dots[J]. Journal of Fuel Chemistry and Technology, ;2020, 48(10): 1160-1170. shu

Preparation and structure analysis of medium temperature coal tar pitch-based carbon quantum dots

  • Corresponding author: ZHONG Mei, zhongmei0504@126.com HALIDAN Maimaiti, m15899160730@163.com
  • Received Date: 10 August 2020
    Revised Date: 10 September 2020

    Fund Project: the National Natural Science Foundation of China 21766035The project was supported by the National Natural Science Foundation of China (21766035) and National Key Research and Development Project(2016YFF0102602).National Key Research and Development Project 2016YFF0102602

Figures(12)

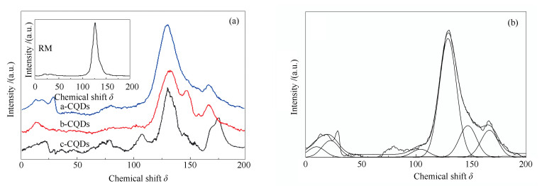
  • The carbon quantum dots (CQDs) were prepared by HNO3 pretreatment combined with ball milling and oxidative stripping by hydrogen peroxide with medium temperature coal tar pitch as the carbon source. In order to determine the suitable reaction conditions, the effects of oxidation time and the amount of hydrogen peroxide on the structure and properties of CQDs were investigated with the yield of CQDs and fluorescence quantum yield as targets. Under the optimum condition with an operating reaction time of 6 h and a H2O2 dosage of 100 mL, the respectively highest yield of CQDs and fluorescence quantum yield of 6.3% and 11.2% is obtained, and the prepared sample is denoted as c-CQDs. Meanwhile, the sample particle size is uniform and in the range of 4-14 nm. When the reaction time is extended to 8 h, the carbon quantum dots (a-CQDs) grow larger because of agglomeration. As the amount of H2O2 increases to 120 mL, the size of carbon quantum dots (b-CQDs) becomes smaller and disorder due to excessive oxidation. Then, the effects of reaction conditions on the structure of CQDs were investigated by XPS, TG-DTG, 13C NMR, Raman and XRD. The results show that the carbon content follows the order of a-CQDs > b-CQDs > c-CQDs, while the content of oxygen is b-CQDs > c-CQDs > a-CQDs. According to XPS analysis, the major form of carbon in CQDs is the aromatic carbon. It is noted that the maximum amount of C=O and O-C=O is obtained with the c-CQDs, while the higest value of C-O appears with the b-CQDs. The Xb characterized by 13C NMR characterization illustrates that the average aromatic ring size is about 0.5, and correspondingly, the average number of aromatic rings is about 3.
  • 加载中
    1. [1]

      YU Dian-wei. Environmental risk problems and prevention strategies in coal tar deep processing[J]. Chem Eng Eqpt, 2019,48(9):280-281.  

    2. [2]

      ZHAO Ya-nan. Preliminary exploration of coal bitumen and its application[J]. Carbon, 2019,42(3):31-35.  

    3. [3]

      ZHANG Li-zhong. Environmental pollution caused by coal mining and clean mining technology[J]. Res Econom Environ Prot, 2019,39(11)92.  

    4. [4]

      ZHOU Yun-hui, GU Xiao-hu, LIN Xiong-chao. Research development of carbon materials from coal tar pitch[J]. Carbon Techol, 2019,38(2):6-10.  

    5. [5]

      YE R, XING C, LIN J, PENG Z, HUANG K, YAN Z, COOK N P, SAMUEL E, HWANG C, RUAN G, CERIOTTI G, RAJI A, MARTI A, TOUR J. Coal as an abundant source of graphene quantum dots[J]. Nat Commun, 2013,4(1):1-6.  

    6. [6]

      HU S, MENG X, TIAN F, YANG W L, LI N, XUE C R, YANG J L, CHANG Q. Dual photoluminescence centers from inorganic-salt-functionalized carbon dots for ratiometric pH sensing[J]. J Mater Chem C, 2017,5(38):9849-9853. doi: 10.1039/C7TC03266H

    7. [7]

      LIU Y, HUI H, CAO W, MAO B, LIU Y, KANG Z. Advances in carbon dots:From the perspective of traditional quantum dots[J]. Mater Chem Front, 2020,4(6):1586-1613. doi: 10.1039/D0QM00090F

    8. [8]

      IRAVANI S, VARMA R S. Green synthesis, biomedical and biotechnological applications of carbon and graphene quantum dots. A review[J]. Environ Chem Lett, 2020,18(3):703-727.

    9. [9]

      RÖDING M, BRADLEY S J, NYDEN M, NANN T. Fluorescence lifetime analysis of graphene quantum dots[J]. J Phys Chem C, 2014,118(51):30282-30290. doi: 10.1021/jp510436r

    10. [10]

      SAIKIA M, DAS T, DIHINGIA N, FAN X, SILVA L F, SAIKIA B K. Formation of carbon quantum dots and graphene nanosheets from different abundant carbonaceous materials[J]. Diam Relat Mater, 2020,30(106):107813-107822.  

    11. [11]

      KHAN Z G, PATIL P O. A comprehensive review on carbon dots and graphene quantum dots based fluorescent sensor for biothiols[J]. Microchem J, 2020,64(157):105011-105022.  

    12. [12]

      HE P, SHI Y, MENG T, YUAN T, LI Y, LI X, ZHANG Y, FAN L, YANG S. Recent advances in white light-emitting diodes of carbon quantum dots[J]. Nanoscale, 2020,12(8):4826-4832. doi: 10.1039/C9NR10958G

    13. [13]

      HAN W, LI D, ZHANG M, HU X, DUAN X, LIU S, WANG S. Photocatalytic activation of peroxymonosulfate by surface-tailored carbon quantum dots[J]. J Hazard Mater, 2020,46(395):122695-122703.  

    14. [14]

      LI Yue-hui. Preparation and fluorescence detection of coal tar pitch based carbon quantum dots[D]. Dalian: Dalian University of Technology, 2017.

    15. [15]

      MENG Xun. Preparation and performance control of coal based fluorescent carbon dots[D]. Taiyuan: North University China, 2017.

    16. [16]

      SU Ying-jie, GAO Li-juan, QIAO Xiao-qin, GONG Xiao-fei, CHENG Jun-xia. Conditions optimization of detection of Cu2+ ion using carbon quantum dots from water-soluble pitch[J]. J Univ Sci Technol Liaoning, 2017,40(4):270-273.  

    17. [17]

      WANG H, NING G, HE X, MA X, YANG F, XU Z, ZHAO S, XU C, LI Y. Carbon quantum dots derived by direct carbonization of carbonaceous microcrystals in mesophase pitch[J]. Nanoscale, 2018,10(45):21492-21498. doi: 10.1039/C8NR07385F

    18. [18]

      CHENG Y, BAI M, SU J, FANG C, LI H, CHEN J, JIAO J. Synthesis of fluorescent carbon quantum dots from aqua mesophase pitch and their photocatalytic degradation activity of organic dyes[J]. J Mater Sci Technol, 2019,35(8):1515-1522. doi: 10.1016/j.jmst.2019.03.039

    19. [19]

      KWON W, DO S, LEE J, HWANG S, KIM J K, RHEE S W. Freestanding luminescent films of nitrogen-rich carbon nanodots toward large-scale phosphor-based white-light-emitting devices[J]. Chem Mater, 2013,25(9):1893-1899. doi: 10.1021/cm400517g

    20. [20]

      LI H T, KANG Z H, LIU Y, LEE S T. Carbon nanodots:Synthesis, properties and applications[J]. J Mater Chem, 2012,22(46):24230-24253. doi: 10.1039/c2jm34690g

    21. [21]

      KATOH R, SUZUKI K, FURUBE A, KOTANI M, TOKUMARU K. Fluorescence quantum yield of aromatic hydrocarbon crystals[J]. J Phys Chem C, 2012,113(7):2961-2965.  

    22. [22]

      HU S, WEI Z, CHANG Q, TRINCHI A, YANG J. A facile and green method towards coal-based fluorescent carbon dots with photocatalytic activity[J]. Appl Surf Sci, 2016,378(15):402-407.  

    23. [23]

      LI H, HE X, KANG Z, HUANG H, LIU Y, LIU J, LIAN S, TSANG C, YANG X, LEE S. Water-soluble fluorescent carbon quantum dots and photocatalyst design[J]. Angew Chem Int Ed, 2010,49(122):4532-4536.  

    24. [24]

      HU Chao.Synthesis and application of fluorescent carbon dots from coal and its derivatives[D]. Dalian: Dalian University of Technology, 2015.

    25. [25]

      HU S, WEI Z, CHANG Q, TRINCHI A, YANG J. A facile and green method towards coal-based fluorescent carbon dots with photocatalytic activity[J]. Appl Surf Sci, 2016,378(15):402-407.  

    26. [26]

      ZHOU X, ZHANG Y, WANG C, WU X, YANG Y, ZHENG B, WU H, GUO S, ZHANG J. Photo-fenton reaction of graphene oxide:A new strategy to prepare graphene quantum dots for DNA cleavage[J]. ACS Nano, 2012,6(8):6592-6599. doi: 10.1021/nn301629v

    27. [27]

      YAN Jin-ding, CUI Hong, YANG Jian-li, LIU Zhen-yu. Research on pyrolysis behavior of yanzhou coal using TG/MS[J]. J China Univ Min Technol, 2003,32(3):311-315.  

    28. [28]

      LIU Chun-fa, SHAN Chang-chun, DU Yong, GAO Jin-sheng. The study of the property and thermal destruction characteristics of condensation pitchs of two differential distillation Range's flash oil[J]. Shanghai Chem Ind, 2007,32(4):14-17.  

    29. [29]

      MEWADA A, PANDEY S, SHINDE S, MISHRA N, OZA G, THAKUR M, SHARON M, SHARON M. Green synthesis of biocompatible carbon dots using aqueous extract of Trapa bispinosa peel[J]. Mat Sci Eng C, 2013,33(5):2914-2917. doi: 10.1016/j.msec.2013.03.018

    30. [30]

      TONG J H, HAN X X, WANG S, JIANG X M. Evaluation of structural characteristics of Huadian oil shale kerogen using direct techniques (solid-state 13C-NMR, XPS, FT-IR, and XRD)[J]. Energy Fuels, 2011,25(9):4006-4013. doi: 10.1021/ef200738p

    31. [31]

      LI Tong-qi, YANG Xiao-guang, XU Zheng-hui, SUN Yin-jie, WANG Xiao-ye. Influence of testing position on XRD results of carbon material[J]. Aerospace Mater Technol, 2009,39(4):76-80.  

    32. [32]

      DONG Y, PANG H, YANG H B, GUO C X, SHAO J W, CHI Y W, LI C M, YU T. Carbon-based dots Co-doped with nitrogen and sulfur for high quantum yield and excitation-independent emission[J]. Angew Chem Int Ed, 2013,52(30):7800-7804. doi: 10.1002/anie.201301114

    33. [33]

      DOU X, LIN Z, CHEN H, ZHENG Y, LU C, LIN J. Production of superoxide anion radicals as evidence for carbon nanodots acting as electron donors by the chemiluminescence method[J]. Chem Comm, 2013,49(52):5871-5873. doi: 10.1039/c3cc41145a

    34. [34]

      GONG Y, YU B, YANG W, ZHANG X. Phosphorus, and nitrogen co-doped carbon dots as a fluorescent probe for real-time measurement of reactive oxygen and nitrogen pecies inside macrophages[J]. Biosens Bioelectron, 2016,27(79):822-828.  

    35. [35]

      LI L, LU C, LI S, LIU S, WANG L, CAI W, XU W, YANG X, LIU Y, ZHANG R. A high-yield and versatile method for the synthesis of carbon dots for bioimaging applications[J]. J Mater Chem B, 2017,5(10):1935-1942. doi: 10.1039/C6TB03003C

    36. [36]

      CUI Ying-dan, ZHONG Mei, HALIDAN-Maimaiti , YANG Chao, FAN Xing. The composition and structure analysis of products from the suquential extraction process of medium temperature coal tar pitch[J]. J China Coal Soc, 2020.

    37. [37]

      WANG Y G, WEI X Y, XIE R L, LIU F J, LI P, ZONG Z M. Structural characterization of typical organic species in Jincheng No. 15 anthracite[J]. Energy Fuels, 2015,29(2):595-601.  

    38. [38]

      SONG C, HOU L, SAINI A K, HATCHER P G, SCHOBERT H H. CPMAS 13C NMR and pyrolysis-GC-MS studies of structure and liquefaction reactions of Montana subbituminous coal[J]. Fuel Process Technol, 1993,34(3):249-276.  

    39. [39]

      SOLUM M S, PUGMIRE R J, GRANT D M. Carbon-13 solid-state NMR of Argonne-premium coals[J]. Energy Fuels, 1989,3(2):187-193.  

    40. [40]

      ZHU W, ZHANG J, JIANG Z, WANG W, LIU X. High-quality carbon dots:synthesis, peroxidase-like activity and their application in the detection of H2O2, Ag+ and Fe3+[J]. Rsc Adv, 2014,4(33):17387-17392. doi: 10.1039/C3RA47593J

    41. [41]

      GHAZALEH A, PAYAM A, MASRINDA T S. The effect of alumina and magnesia supported germanium nanoparticles on the growth of carbon nanotubes in the chemical vapor deposition method[J]. J Nanomater, 2015,10(8):961231-961236.  

    42. [42]

      ZHANG Y, XIE C, GU F, WU H, GUO Q. Significant visible-light photocatalytic enhancement in Rhodamine B degradation of silver orthophosphate via the hybridization of N-doped graphene and poly (3-hexylthiophene)[J]. J Hazard Mater, 2016,315(5):23-34.  

    43. [43]

      SHEN C, SUN Y, WANG J, LU Y. Facile route to highly photoluminescent carbon nanodots for ion detection, pH sensors and bioimaging[J]. Nanoscale, 2014,6(15):9139-9147. doi: 10.1039/C4NR02154A

    44. [44]

      YOUH M J, JIANG M Y, CHUNG M C, TAI H C, LI Y Y. Formation of graphene quantum dots by ball-milling technique using carbon nanocapsules and sodium carbonate[J]. Inorg Chem Commun, 2020,23(119):108061-108065.  

    45. [45]

      LIN L, ZHANG S. Creating high yield water soluble luminescent graphene quantum dots via exfoliating and disintegrating carbon nanotubes and graphite flakes[J]. Chem Commun, 2012,48(82):10177-10179. doi: 10.1039/c2cc35559k

  • 加载中
    1. [1]

      Jianjun Liu Xue Yang Chi Zhang Xueyu Zhao Zhiwei Zhang Yongmei Chen Qinghong Xu Shao Jin . Preparation and Fluorescence Characterization of CdTe Semiconductor Quantum Dots. University Chemistry, 2024, 39(7): 307-315. doi: 10.3866/PKU.DXHX202311031

    2. [2]

      Qi WANGYing CHENGYuyan WANGYibing XIAOHaozhe LUYansong ZHANGShengling LIJiazi TANTAINa SUNLifeng DINGJinqin GUOPeng JIN . "Shining dot" in vinegar—Extraction of carbon quantum dots and the fluorescence properties analysis. Chinese Journal of Inorganic Chemistry, 2026, 42(1): 87-96. doi: 10.11862/CJIC.20250127

    3. [3]

      Lingqi Zhang Hairong Huang Jialin Li Li Ji Yufan Pan Meiling Ye Cuixue Chen Shunü Peng . 桂花碳量子点的绿色制备及科普应用方案. University Chemistry, 2025, 40(8): 298-306. doi: 10.12461/PKU.DXHX202409138

    4. [4]

      Shuting Zhuang Lida Zhao . Teaching through Research: A Comprehensive Experiment on Carbon Quantum Dots from Microplastic Waste. University Chemistry, 2025, 40(10): 217-224. doi: 10.12461/PKU.DXHX202412010

    5. [5]

      Li'na ZHONGJingling CHENQinghua ZHAO . Synthesis of multi-responsive carbon quantum dots from green carbon sources for detection of iron ions and L-ascorbic acid. Chinese Journal of Inorganic Chemistry, 2025, 41(4): 709-718. doi: 10.11862/CJIC.20240280

    6. [6]

      Tong WANGQinyue ZHONGQiong HUANGWeimin GUOXinmei LIU . Mn-doped carbon quantum dots/Fe-doped ZnO flower-like microspheres heterojunction: Construction and photocatalytic performance. Chinese Journal of Inorganic Chemistry, 2025, 41(8): 1589-1600. doi: 10.11862/CJIC.20250011

    7. [7]

      Zehui JIABin WENShuting ZHANGZhengliang ZHAOHongfei HANChuntao WANGCaimei FAN . Mechanism of carbon quantum dots-modified BiOCl/diatomite composites for ciprofloxacin degradation under visible light irradiation. Chinese Journal of Inorganic Chemistry, 2026, 42(2): 317-330. doi: 10.11862/CJIC.20250199

    8. [8]

      Shiyi ChenJialong FuJianping QiuGuoju ChangShiyou Hao . Waste medical mask-derived carbon quantum dots enhance the photocatalytic degradation of polyethylene terephthalate (PET) over BiOBr/g-C3N4 S-scheme heterojunction. Acta Physico-Chimica Sinica, 2026, 42(1): 100135-0. doi: 10.1016/j.actphy.2025.100135

    9. [9]

      Kuaibing Wang Feifei Mao Weihua Zhang Bo Lv . Design and Practice of a Comprehensive Teaching Experiment for Preparing Biomass Carbon Dots from Rice Husk. University Chemistry, 2025, 40(5): 342-350. doi: 10.12461/PKU.DXHX202407042

    10. [10]

      Yuecheng ZHANGFan YANGShiyu ZHANGChengjun MARui TIANXuehua SUNHaoyu LILingbo SUNHongyan MA . B-doped carbon quantum dots with long-afterglow room-temperature phosphorescence: Applications in information encryption and humidity sensing. Chinese Journal of Inorganic Chemistry, 2025, 41(7): 1361-1370. doi: 10.11862/CJIC.20240415

    11. [11]

      Yihan XueXue HanJie ZhangXiaoru Wen . NCQDs修饰FeOOH基复合材料的制备及其电容脱盐性能. Acta Physico-Chimica Sinica, 2025, 41(7): 100072-0. doi: 10.1016/j.actphy.2025.100072

    12. [12]

      Chengcheng Si Linshan Chai Huiyuan Liu Liye Sun Shijian Cheng Hailing Li Wenyun Wang Fang Liu Qing Feng Min Liu . Harry Potter China Tour Themed Innovative Science Popularization Experiment: Chemistry Magic Meets the Real World at Wuhan Station. University Chemistry, 2024, 39(9): 283-287. doi: 10.12461/PKU.DXHX202401069

    13. [13]

      Shijie LiKe RongXiaoqin WangChuqi ShenFang YangQinghong Zhang . Design of Carbon Quantum Dots/CdS/Ta3N5 S-scheme Heterojunction Nanofibers for Efficient Photocatalytic Antibiotic Removal. Acta Physico-Chimica Sinica, 2024, 40(12): 2403005-0. doi: 10.3866/PKU.WHXB202403005

    14. [14]

      Yu SUXinlian FANYao YINLin WANG . From synthesis to application: Development and prospects of InP quantum dots. Chinese Journal of Inorganic Chemistry, 2024, 40(11): 2105-2123. doi: 10.11862/CJIC.20240126

    15. [15]

      Miaomiao He Zhiqing Ge Qiang Zhou Jiaqing He Hong Gong Lingling Li Pingping Zhu Wei Shao . Exploring the Fascinating Realm of Quantum Dots. University Chemistry, 2024, 39(6): 231-237. doi: 10.3866/PKU.DXHX202310040

    16. [16]

      Wenlong WangWentao HaoLang HeJia QiaoNing LiChaoqiu ChenYong Qin . Bandgap and adsorption engineering of carbon dots/TiO2 S-scheme heterojunctions for enhanced photocatalytic CO2 methanation. Acta Physico-Chimica Sinica, 2025, 41(9): 100116-0. doi: 10.1016/j.actphy.2025.100116

    17. [17]

      Longxiang LUOXiaoguo CAOYannan QIAN . Interface engineering with NH4PF6 for CsPbI2Br quantum dots for enhancing the performance of carbon-based all-inorganic perovskite solar cells. Chinese Journal of Inorganic Chemistry, 2026, 42(2): 227-236. doi: 10.11862/CJIC.20250279

    18. [18]

      Qishen WangChangzhao ChenMengqing LiLingmin WuKai Dai . Lignin derived carbon quantum dots and oxygen vacancies coregulated S-scheme LCQDs/Bi2WO6 heterojunction for photocatalytic H2O2 production. Acta Physico-Chimica Sinica, 2025, 41(11): 100147-0. doi: 10.1016/j.actphy.2025.100147

    19. [19]

      Renyi ShaoKhurram AbbasVladimir Yu. OsipovHaimei ZhuYuan LiUsamaHong Bi . Red-emitting carbon dots prepared from Epipremnum Aureum leaves extract for biological imaging. Acta Physico-Chimica Sinica, 2026, 42(2): 100134-0. doi: 10.1016/j.actphy.2025.100134

    20. [20]

      Zeyu XUAnlei DANGBihua DENGXiaoxin ZUOYu LUPing YANGWenzhu YIN . Evaluation of the efficacy of graphene oxide quantum dots as an ovalbumin delivery platform and adjuvant for immune enhancement. Chinese Journal of Inorganic Chemistry, 2024, 40(6): 1065-1078. doi: 10.11862/CJIC.20240099

Metrics
  • PDF Downloads(22)
  • Abstract views(1870)
  • HTML views(323)

通讯作者: 陈斌, bchen63@163.com
  • 1. 

    沈阳化工大学材料科学与工程学院 沈阳 110142

  1. 本站搜索
  2. 百度学术搜索
  3. 万方数据库搜索
  4. CNKI搜索
Address:Zhongguancun North First Street 2,100190 Beijing, PR China Tel: +86-010-82449177-888
Powered By info@rhhz.net

/

DownLoad:  Full-Size Img  PowerPoint
Return