Citation: LIU Yan, WU Kui, GUO Xuan-lin, WANG Wei-yan, YANG Yun-quan. A comparison of MoS2 catalysts hydrothermally synthesized from different sulfur precursors in their morphology and hydrodeoxygenation activity[J]. Journal of Fuel Chemistry and Technology, ;2018, 46(5): 535-542. shu

A comparison of MoS2 catalysts hydrothermally synthesized from different sulfur precursors in their morphology and hydrodeoxygenation activity

  • Corresponding author: WANG Wei-yan, wangweiyan@xtu.edu.cn YANG Yun-quan, yangyunquan@xtu.edu.cn
  • Received Date: 6 February 2018
    Revised Date: 27 March 2018

    Fund Project: Natural Science Foundation of Hunan Province 2018JJ2384Scientific Research Foundation of Hunan Engineering Laboratory for Preparation Technology of Polyvinyl Alcohol (PVA) Fiber Material of Huaihua University HGY201709The project was supported by the National Natural Science Foundation of China (21776236), Natural Science Foundation of Hunan Province (2018JJ2384), Scientific Research Foundation of Hunan Engineering Laboratory for Preparation Technology of Polyvinyl Alcohol (PVA) Fiber Material of Huaihua University (HGY201709) and the Key Laboratory of Rare Earth Optoelectronic Materials and Devices (HX150302)the National Natural Science Foundation of China 21776236the Key Laboratory of Rare Earth Optoelectronic Materials and Devices HX150302

Figures(6)

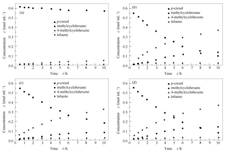
  • Three MoS2 catalysts were synthesized by a hydrothermal method using different sulfur precursors such as thiourea, L-cystine and sulfur powder; their differences in the structure, morphology, and catalytic activity in the hydrodeoxygenation (HDO) of p-cresol were comparatively investigated. The results illustrated that the sulfur source has a significant influence on the morphology and surface area of the as-synthesized MoS2 catalysts. All the hydrothermally synthesized MoS2 catalysts show much higher activity in HDO than the commercial MoS2 sample. Among three MoS2 catalysts, the one prepared from thiourea, with a high surface area and flower-like morphology, exhibits the highest activity in HDO; over it, a deoxygenation degree of 99.3% is achieved at 300℃.
  • 加载中
    1. [1]

      LIU Z, GUAN D B, WEI W, DAVIS S J, CIAIS P, BAI J, PENG S S, ZHANG Q, HUBACEK K, MARLAND G, ANDRES R J, CRAWFORD-BROWN D, LIN J T, ZHAO H Y, HONG C P, BODEN T A, FENG K S, PETERS G P, XI F M, LIU J G, LI Y, ZHAO Y, ZENG N, HE K B. Reduced carbon emission estimates from fossil fuel combustion and cement production in China[J]. Nature, 2015,524(7565):335-338. doi: 10.1038/nature14677

    2. [2]

      LI C Z, ZHAO X C, WANG A Q, HUBER G W, ZHANG T. Catalytic transformation of lignin for the production of chemicals and fuels[J]. Chem Rev, 2015,115(21):11559-11624. doi: 10.1021/acs.chemrev.5b00155

    3. [3]

      SAIDI M, SAMIMI F, KARIMIPOURFARD D, NIMMANWUDIPONG T, GATES B C, RAHIMPOUR M R. Upgrading of lignin-derived bio-oils by catalytic hydrodeoxygenation[J]. Energy Environ Sci, 2014,7(1):103-129. doi: 10.1039/C3EE43081B

    4. [4]

      PATEL M, KUMAR A. Production of renewable diesel through the hydroprocessing of lignocellulosic biomass-derived bio-oil:A review[J]. Renewable Sustainable Energy Rev, 2016,58:1293-1307. doi: 10.1016/j.rser.2015.12.146

    5. [5]

      GRILC M, LIKOZAR B, LEVEC J. Hydrodeoxygenation and hydrocracking of solvolysed lignocellulosic biomass by oxide, reduced and sulphide form of NiMo, Ni, Mo and Pd catalysts[J]. Appl Catal B:Environ, 2014,150-151:275-287. doi: 10.1016/j.apcatb.2013.12.030

    6. [6]

      SCHIMMING S M, LAMONT O D, KÖNIG M, ROGERS A K, D'AMICO A D, YUNG M M, SIEVERS C. Hydrodeoxygenation of guaiacol over ceria-zirconia catalysts[J]. ChemSusChem, 2015,8(12):2073-2083. doi: 10.1002/cssc.201500317

    7. [7]

      LUSKA K L, MIGOWSKI P, EL SAYED S, LEITNER W. Synergistic interaction within bifunctional ruthenium Nanoparticle/SILP catalysts for the selective hydrodeoxygenation of phenols[J]. Angew Chem Int Ed, 2015,54(52):15750-15755. doi: 10.1002/anie.201508513

    8. [8]

      WANG G H, CAO Z W, GU D, PFÄNDER N, SWERTZ A C, SPLIETHOFF B, BONGARD H-J, WEIDENTHALER C, SCHMIDT W, RINALDI R, SCHVTH F. Nitrogen-doped ordered mesoporous carbon supported bimetallic PtCo nanoparticles for upgrading of biophenolics[J]. Angew Chem Int Ed, 2016,55(31):8850-8855. doi: 10.1002/anie.201511558

    9. [9]

      SULLIVAN M M, CHEN C J, BHAN A. Catalytic deoxygenation on transition metal carbide catalysts[J]. Catal Sci Technol, 2016,6(3):602-616. doi: 10.1039/C5CY01665G

    10. [10]

      WANG W Y, LIU P L, WU K, TAN S, LI W S, YANG Y Q. Preparation of hydrophobic reduced graphene oxide supported Ni-B-P-O and Co-B-P-O catalysts and their high hydrodeoxygenation activities[J]. Green Chem, 2016,18(4):984-988. doi: 10.1039/C5GC02073E

    11. [11]

      GRILC M, VERYASOV G, LIKOZAR B, JESIH A, LEVEC J. Hydrodeoxygenation of solvolysed lignocellulosic biomass by unsupported MoS2, MoO2, Mo2C and WS2 catalysts[J]. Appl Catal B:Environ, 2015,163(0):467-477.  

    12. [12]

      YANG Y Q, TYE C T, SMITH K J. Influence of MoS2 catalyst morphology on the hydrodeoxygenation of phenols[J]. Catal Commun, 2008,9(6):1364-1368. doi: 10.1016/j.catcom.2007.11.035

    13. [13]

      RUIZ P E, FREDERICK B G, DE SISTO W J, AUSTIN R N, RADOVIC L R, LEIVA K, GARCÍA R, ESCALONA N, WHEELER M C. Guaiacol hydrodeoxygenation on MoS2 catalysts:Influence of activated carbon supports[J]. Catal Commun, 2012,27:44-48. doi: 10.1016/j.catcom.2012.06.021

    14. [14]

      YOOSUK B, TUMNANTONG D, PRASASSARAKICH P. Unsupported MoS2 and CoMoS2 catalysts for hydrodeoxygenation of phenol[J]. Chem Eng Sci, 2012,79:1-7. doi: 10.1016/j.ces.2012.05.020

    15. [15]

      VERYASOV G, GRILC M, LIKOZAR B, JESIH A. Hydrodeoxygenation of liquefied biomass on urchin-like MoS2[J]. Catal Commun, 2014,46:183-186. doi: 10.1016/j.catcom.2013.12.011

    16. [16]

      ITTHIBENCHAPONG V, RATANATAWANATE C, OURA M, FAUNGNAWAKIJ K. A facile and low-cost synthesis of MoS2 for hydrodeoxygenation of phenol[J]. Catal Commun, 2015,68:31-35. doi: 10.1016/j.catcom.2015.04.024

    17. [17]

      LIU G L, MA H L, TEIXEIRA I, SUN Z Y, XIA Q N, HONG X L, TSANG S, CHI E. Hydrazine-assisted liquid exfoliation of MoS2 for catalytic hydrodeoxygenation of 4-methylphenol[J]. Chem Eur J, 2016,22(9):2910-2914. doi: 10.1002/chem.201504009

    18. [18]

      AMAYA S L, ALONSO-N ÚÑEZ G, ZEPEDA T A, FUENTES S, ECHAVARRÍA A. Effect of the divalent metal and the activation temperature of NiMoW and CoMoW on the dibenzothiophene hydrodesulfurization reaction[J]. Appl Catal B:Environ, 2014,148-149:221-230. doi: 10.1016/j.apcatb.2013.10.057

    19. [19]

      WANG C L, WU Z Z, TANG C Y, LI L H, WANG D Z. The effect of nickel content on the hydrodeoxygenation of 4-methylphenol over unsupported NiMoW sulfide catalysts[J]. Catal Commun, 2013,32(0):76-80.  

    20. [20]

      ZHANG H P, LIN H F, ZHENG Y, HU Y F, MACLENNAN A. The catalytic activity and chemical structure of nano MoS2 synthesized in a controlled environment[J]. React Chem Eng, 2016,1(2):165-175. doi: 10.1039/C5RE00046G

    21. [21]

      CHEN G, WANG S P, YI R, TAN L F, LI H B, ZHOU M, YAN L T, JIANG Y B, TAN S, WANG D H, DENG S G, MENG X W, LUO H M. Facile synthesis of hierarchical MoS2-carbon microspheres as a robust anode for lithium ion batteries[J]. J Mater Chem A, 2016,4(24):9653-9660. doi: 10.1039/C6TA03310E

    22. [22]

      YI Y J, ZHANG B S, JIN X, WANG L, WILLIAMS C T, XIONG G, SU D S, LIANG C H. Unsupported NiMoW sulfide catalysts for hydrodesulfurization of dibenzothiophene by thermal decomposition of thiosalts[J]. J Mol Catal A:Chem, 2011,351(0):120-127.

    23. [23]

      LIU H, SU X, DUAN C Y, DONG X N, ZHU Z F. A novel hydrogen peroxide biosensor based on immobilized hemoglobin in 3D flower-like MoS2 microspheres structure[J]. Mater Lett, 2014,122(0):182-185.  

    24. [24]

      PANDEY K, YADAV P, MUKHOPADHYAY I. Electrochemical and electronic properties of flower-like MoS2 nanostructures in aqueous and ionic liquid media[J]. RSC Adv, 2015,5(71):57943-57949. doi: 10.1039/C5RA09282E

    25. [25]

      WU K, WANG W Y, TAN S, ZHU G H, TAN L, YANG Y Q. Microwave-assisted hydrothermal synthesis of amorphous MoS2 catalysts and their activities in the hydrodeoxygenation of p-cresol[J]. RSC Adv, 2016,6(84):80641-80648. doi: 10.1039/C6RA19007C

    26. [26]

      LIU Y, ZHOU X L, DING T, WANG C D, YANG Q. 3D architecture constructed via the confined growth of MoS2 nanosheets in nanoporous carbon derived from metal-organic frameworks for efficient hydrogen production[J]. Nanoscale, 2015,7(43):18004-18009. doi: 10.1039/C5NR03810C

    27. [27]

      LAI W K, CHEN Z, ZHU J P, YANG L F, ZHENG J B, YI X D, FANG W P. A NiMoS flower-like structure with self-assembled nanosheets as high-performance hydrodesulfurization catalysts[J]. Nanoscale, 2016,8(6):3823-3833. doi: 10.1039/C5NR08841K

    28. [28]

      WHIFFEN V M L, SMITH K J. Hydrodeoxygenation of 4-Methylphenol over Unsupported MoP, MoS2, and MoOx Catalysts[J]. Energy Fuels, 2010,24(9):4728-4737. doi: 10.1021/ef901270h

  • 加载中
    1. [1]

      Qin HuLiuyun ChenXinling XieZuzeng QinHongbing JiTongming Su . Construction of Electron Bridge and Activation of MoS2 Inert Basal Planes by Ni Doping for Enhancing Photocatalytic Hydrogen Evolution. Acta Physico-Chimica Sinica, 2024, 40(11): 2406024-0. doi: 10.3866/PKU.WHXB202406024

    2. [2]

      Shuqi YuYu YangKeisuke KurodaJian PuRui GuoLi-An Hou . Selective removal of Cr(Ⅵ) using polyvinylpyrrolidone and polyacrylamide co-modified MoS2 composites by adsorption combined with reduction. Chinese Chemical Letters, 2024, 35(6): 109130-. doi: 10.1016/j.cclet.2023.109130

    3. [3]

      Xinyu GuoChang LiWenjun DengYi ZhouYan ChenYushuang XuRui Li . Phase engineering and heteroatom incorporation enable defect-rich MoS2 for long life aqueous iron-ion batteries. Chinese Chemical Letters, 2025, 36(3): 109715-. doi: 10.1016/j.cclet.2024.109715

    4. [4]

      Zhengzheng LIUPengyun ZHANGChengri WANGShengli HUANGGuoyu YANG . Synthesis, structure, and electrochemical properties of a sandwich-type {Co6}-cluster-added germanotungstate. Chinese Journal of Inorganic Chemistry, 2024, 40(6): 1173-1179. doi: 10.11862/CJIC.20240039

    5. [5]

      Juan CHENGuoyu YANG . A porous-layered aluminoborate built by mixed oxoboron clusters and AlO4 tetrahedra. Chinese Journal of Inorganic Chemistry, 2025, 41(1): 193-200. doi: 10.11862/CJIC.20240341

    6. [6]

      Ping WangTing WangMing XuZe GaoHongyu LiBowen LiYuqi WangChaoqun QuMing Feng . Keplerate polyoxomolybdate nanoball mediated controllable preparation of metal-doped molybdenum disulfide for electrocatalytic hydrogen evolution in acidic and alkaline media. Chinese Chemical Letters, 2024, 35(7): 108930-. doi: 10.1016/j.cclet.2023.108930

    7. [7]

      Xian-Rui Meng Qian Chen Mei-Feng Wu Qiang Wu Su-Qin Wang Li-Ping Jin Fan Zhou Ren-Li Ma Jian-Ping Zou . Nano-flowers FeS/MoS2 composites as a peroxymonosulfate activator for efficient p-chlorophenol degradation. Chinese Journal of Structural Chemistry, 2025, 44(3): 100543-100543. doi: 10.1016/j.cjsc.2025.100543

    8. [8]

      Lin XuLifen LiuGuohua ChenDeming XiaIn-situ grown high-load single-atom Fe on MoS2/CFC with super high activity in ammonia synthesis via electrochemical nitrate reduction. Chinese Chemical Letters, 2026, 37(3): 111188-. doi: 10.1016/j.cclet.2025.111188

    9. [9]

      Zhiwen HUPing LIYulong YANGWeixia DONGQifu BAO . Morphology effects on the piezocatalytic performance of BaTiO3. Chinese Journal of Inorganic Chemistry, 2025, 41(2): 339-348. doi: 10.11862/CJIC.20240172

    10. [10]

      Han ZHANGJianfeng SUNJinsheng LIANG . Hydrothermal synthesis and luminescent properties of broadband near-infrared Na3CrF6 phosphor. Chinese Journal of Inorganic Chemistry, 2025, 41(2): 349-356. doi: 10.11862/CJIC.20240098

    11. [11]

      Ping LIGeng TANXin HUANGFuxing SUNJiangtao JIAGuangshan ZHUJia LIUJiyang LI . Green synthesis of metal-organic frameworks with open metal sites for efficient ammonia capture. Chinese Journal of Inorganic Chemistry, 2025, 41(10): 2063-2068. doi: 10.11862/CJIC.20250020

    12. [12]

      Pingping HAOFangfang LIYawen WANGHoufen LIXiao ZHANGRui LILei WANGJianxin LIU . Hydrogen production performance of the non-platinum-based MoS2/CuS cathode in microbial electrolytic cells. Chinese Journal of Inorganic Chemistry, 2024, 40(9): 1811-1824. doi: 10.11862/CJIC.20240054

    13. [13]

      Junan PanXinyi LiuHuachao JiYanwei ZhuYanling ZhuangKang ChenNing SunYongqi LiuYunchao LeiKun WangBao ZangLonglu Wang . The strategies to improve TMDs represented by MoS2 electrocatalytic oxygen evolution reaction. Chinese Chemical Letters, 2024, 35(11): 109515-. doi: 10.1016/j.cclet.2024.109515

    14. [14]

      Feifei YangWei ZhouChaoran YangTianyu ZhangYanqiang Huang . Enhanced Methanol Selectivity in CO2 Hydrogenation by Decoration of K on MoS2 Catalyst. Acta Physico-Chimica Sinica, 2024, 40(7): 2308017-0. doi: 10.3866/PKU.WHXB202308017

    15. [15]

      Qingwang LIU . MoS2/Ag/g-C3N4 Z-scheme heterojunction: Preparation and photocatalytic performance. Chinese Journal of Inorganic Chemistry, 2025, 41(4): 821-832. doi: 10.11862/CJIC.20240148

    16. [16]

      Yayun ShiCongcong LiuZhijun ZuoXiaowei Yang . Self-assembled ultrathick MoS2 conductive hydrogel membrane via ionic gelation for superior capacitive energy storage. Chinese Chemical Letters, 2025, 36(6): 109772-. doi: 10.1016/j.cclet.2024.109772

    17. [17]

      Pan HuXiaofan WuYi AnXianjing ZhengLiang GaoYuan TaoYajiao ZhangZedu HuangFener Chen . Batch and continuous-flow asymmetric synthesis of D-pantothenic acid precursor enabled by immobilized ketoreductase mutant. Chinese Chemical Letters, 2026, 37(2): 111945-. doi: 10.1016/j.cclet.2025.111945

    18. [18]

      Zhuojun DuanPeiyue JinHouying XingJian ChenYueting YangYawen TanSong Liu . Salt-assisted synthesis of WTe2 contact electrodes for efficient MoS2-based hydrogen evolution reaction. Chinese Chemical Letters, 2026, 37(2): 111917-. doi: 10.1016/j.cclet.2025.111917

    19. [19]

      Zheng ZhangLei ShiBin WangJingyuan QuXiaoling WangTao WangQitao JiangWuhong XueXiaohong Xu . Epitaxial growth of full-vdW α-In2Se3/MoS2 heterostructures for all-in-one sensing and memory-computing artificial visual system. Chinese Chemical Letters, 2025, 36(3): 109687-. doi: 10.1016/j.cclet.2024.109687

    20. [20]

      Kun RongCuilian WenJiansen WenXiong LiQiugang LiaoSiqing YanChao XuXiaoliang ZhangBaisheng SaZhimei Sun . Hierarchical MoS2/Ti3C2Tx heterostructure with excellent photothermal conversion performance for solar-driven vapor generation. Acta Physico-Chimica Sinica, 2025, 41(6): 100053-0. doi: 10.1016/j.actphy.2025.100053

Metrics
  • PDF Downloads(7)
  • Abstract views(1059)
  • HTML views(121)

通讯作者: 陈斌, bchen63@163.com
  • 1. 

    沈阳化工大学材料科学与工程学院 沈阳 110142

  1. 本站搜索
  2. 百度学术搜索
  3. 万方数据库搜索
  4. CNKI搜索
Address:Zhongguancun North First Street 2,100190 Beijing, PR China Tel: +86-010-82449177-888
Powered By info@rhhz.net

/

DownLoad:  Full-Size Img  PowerPoint
Return