Citation: LIU Dong-mei, JIANG Han-bo, QU Sheng-tao, WANG Hai-yan, YANG Zhan-xu, ZHANG Yu-song. Study on the alkylation of thiophene and catalyst deactivation and regeneration with modified HZSM-5 zeolite[J]. Journal of Fuel Chemistry and Technology, ;2018, 46(3): 355-364. shu

Study on the alkylation of thiophene and catalyst deactivation and regeneration with modified HZSM-5 zeolite

  • Corresponding author: LIU Dong-mei, ldmwain1234@126.com
  • Received Date: 27 November 2017
    Revised Date: 18 January 2018

    Fund Project: Liaoning Province Large-Seale Instrument Equipment Sharing Service Platform Capacity-Building Research Fund Project of China 2016LD0106Ph.D. Start-up Funding 1100130210The project was supported by the Liaoning Education Department of Basic Research Program of China(L2017LQN012) and Ph.D. Start-up Funding (1100130210) and Liaoning Province Large-Seale Instrument Equipment Sharing Service Platform Capacity-Building Research Fund Project of China(2016LD0106)The project was supported by the Liaoning Education Department of Basic Research Program of China L2017LQN012

Figures(6)

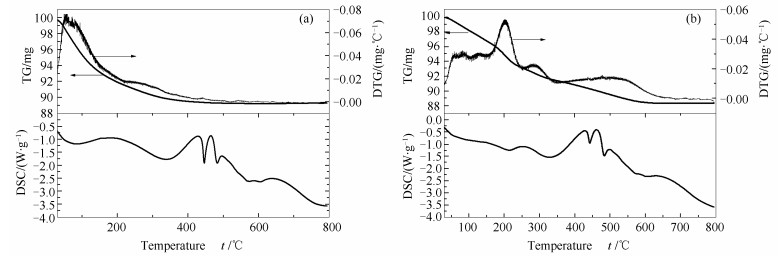
  • HZSM-5 zeolites were treated by different alkalis alone or different combining ways with two kind of alkalis to prepare micro-meso hierarchical pore HZSM-5 catalysts for thiophene alkylation reaction. The result show that mesopores are created in molecular sieves and the acidity of catalysts after treated is modulated by single alkali or different combining methods of double alkalis. Simultaneously, the structure of catalyst obtained by the separate treatment of Na2CO3 solution and TPAOH solution is most suitable for the thiophene alkylation reaction. Furthermore, the stability of the thiophene alkylation reaction over the catalyst with the best microstructure was investigated, and the reason of catalyst deactivation and the regeneration conditions were determined. The results show that the catalysts are basically inactivated after thiophene alkylation reaction for 1050 h. During the reaction, the macromolecular compounds such as olefin oligomerization formed by the cyclization, dehydrogenation and aromatics alkylation are deposited on the catalyst, blocking the pore and then covering the active site of the catalyst. From the viewpoint of the high energy consumption in regeneration at high temperature and the adverse effect of repeated high temperature regeneration on the acidity and skeleton structure of the catalyst, the catalyst should be regenerated at the temperature of 550℃.
  • 加载中
    1. [1]

      SHANG Qi, TANG Da-gang. Control vehicle gasoline harmful substances to reduce vehicle emissions[J]. Envir Sci Res, 2000,13(1):32-35.  

    2. [2]

      CHANG Zhen-yong. Alkylation process for thiophenic sulfur removal from FCC gasoline[J]. Pet Ref Eng, 2002,32(5):44-46.  

    3. [3]

      XU Ya-rong, SHEN Ben-xian, XU Xin-liang, ZHU Qing-cai. Quantum chemistry research in alkylation sulfur transfer reaction mechanism of thiophene sulfied in FCC gasoline[J]. Acta Pet Sin(Petrochem Process Sect), 2011,27(5):806-811.  

    4. [4]

      XU Jun, LONG Jun, ZHANG Jiu-shun, WU Zhi-guo. Alkylation desulfurization of thiophene in FCC gasoline with zeolite catalvst[J]. Pet Ref Chem Ind, 2005,36(82):38-42.  

    5. [5]

      LI Bai-chun, DU Dong-xue, ZHANG Wen-lin, MIU Xi-ping. Alkylation desulphurization of thiophene in FCC gasoline with zeolite catalyst[J]. Mod Chem Ind, 2015,35(2):113-116.  

    6. [6]

      WEI Shu-mei, XU Ya-rong, XU Xin-liang, WANG Ji-de. The study of thiophene sulfide alkylation reaction over HY zeolite catalyst in FCC gasoline[J]. Pet Ref Chem Ind, 2012,43(8):63-67.  

    7. [7]

      PÉREZ-RAMÍREZ J, CHRISTENSEN C H. Chemlnform abstarct:Hierachical zeolites:Enhanced utilization of microporous crystals in catalysis by advances in materials design[J]. Chem Soc Rev, 2008,37(11):2530-2542. doi: 10.1039/b809030k

    8. [8]

      XIA Y, MOKAYA R. Are mesoporous silicas and aluminosilicas assembled from zeolite seeds inherently hydrothermally stable? Comparative evaluation of MCM-48 materials assembled from zeolite seeds[J]. J Mater Chem, 2004,14(23):3427-3435. doi: 10.1039/b408960j

    9. [9]

      BUEHANAN J M. The chemistry of olefins production by ZSM-5 addition to catalytic cracking units[J]. Catal Today, 2000,55(3):207-212. doi: 10.1016/S0920-5861(99)00248-5

    10. [10]

      CHAL R, GÉRARDIN C, BULUT M, VAN DONK DONK S. Overview and industrial assessment of synthesis strategies towards zeolites with mesopores[J]. ChemCatChem, 2011,3(1):67-81. doi: 10.1002/cctc.201000158

    11. [11]

      DESSAU R M, VALYOCSIK E W, GEOKE N H. Aluminum zoning in ZSM-5 as revealed by selective silica removal[J]. Zeolites, 1992,12(7):776-779. doi: 10.1016/0144-2449(92)90049-U

    12. [12]

      LIETZ G, SCHNABEL K H, PEUKER C, GROSS T. Modifications of HZSM-5 catalysts by NaOH treatment[J]. J Catal, 1994,148(2):562-568. doi: 10.1006/jcat.1994.1242

    13. [13]

      TAO Y, KANOH H, KANEKO K. Developments and structures of mesopores in alkaline-treated ZSM-5 zeolites[J]. Adsorption-journal of the International Adsorption Society, 2006,12(5/6):309-316.  

    14. [14]

      ZHAO Cen, LIU Dong-mei, WEI Min, SUN Zhi-yan, WANG Hai-yan. Preparation and catalytic performance of ZSM-5 molecular sieve with hierarchical pore[J]. J Fuel Chem Technol, 2013,41(10):1256-1261.  

    15. [15]

      MAO Jing-bo, LIU Min, LI Peng, LIU Yang, GUO Xin-wen. Modification of micrometer-sized TS-1 with tetrapropylammonium hydroxide and its catalytic properties in hydroxylation of phenol and ammoxidation of methyl ethyl ketone[J]. J Fuel Chem Technol, 2008,36(4):484-488.  

    16. [16]

      YAO Jian-hui, WANG Hai-tao, HOU Kai-hu. The loss and regeneration of Hβ-Al2O3alkylation catalyst[J]. Pet Ref Chem Ind, 2013,44(10):71-76. doi: 10.3969/j.issn.1005-2399.2013.10.014

    17. [17]

      JIN Shao, FU Ji-quan, ZHANG Ji-rui. The hydrogenation mechanism of benzene and propylene alkylation reaction over deactivation zeolite catalyst[J]. J Fuel Chem Technol, 2002,30(1):58-63.  

    18. [18]

      GROEN J C, PEFFER L A A, JACOB A, PEREZ-RAMIREZ J. On the introduction of intracrystalline mesoporosity in zeolites upon desilieation in alkaline medium[J]. Mieroporous Mesoporous Materi, 2004,69(1/2):29-34.  

    19. [19]

      ZENG Shao-huai. Shape-Selective Catalysis[M]. Beijing:Sinopec press, 1994, 1-87.

    20. [20]

      LIU Dong-mei, TIE Da-xing, GAO Chen-yi, MAO Yan-hong, WANG Hai-yan, YU Hai-bing. The preparation of micro-mesoporous catalysts by mixed alkali and the catalytic performance of thiophene alkylation[J]. J Fuel Chem Technol, 2017,45(2):200-212.  

    21. [21]

      LIU Dong-mei, WANG Hai-yan, KONG Fei-fei, MAO Yan-hong, WANG Kun. The performance of micro-mesoporous catalysts by TPAOH treatment and the properties of thiophene alkylation[J]. J Fuel Chem Technol, 2016,44(11):1370-1379. doi: 10.3969/j.issn.0253-2409.2016.11.014 

    22. [22]

      LI Sha, LI Yu-ping, DI Chun-yu, ZHANG Peng-fei, PAN Rui-li, DOU Tao. Study on the modification of ZSM-5 by the treatment of TPAOH/NaOH mixed alkali system and its catalytic performance[J]. J Fuel Chem Technol, 2012,40(5):583-588.  

    23. [23]

      LIU Dong-mei, KONG Fei-fei, ZHAI Yu-chun, WANG Hai-yan. Secondary crystallization of Na2CO3-modified HZSM-5 zeolites with tetrapropylammonium hydroxide and their catalytic performance in thiophene alkylation reaction[J]. China Pet Process Petrochem Technol, 2015,17(3):77-85.  

    24. [24]

      ZHAO L, XU C M, GAO S, SHEN B. Effects of concentration on the alkali treatment of ZSM-5 zeolite:A study on dividing points[J]. J Mater Sci, 2010,45(19):5406-5441. doi: 10.1007/s10853-010-4593-2

    25. [25]

      SHI Gang, LIN Xiu-ying, FAN Yu, BAO Xiao-jun. ZSM-5 molecular sieve desilicon modification and hydrogenation properties[J]. J Fuel Chem Technol, 2013,41(5):589-600.  

    26. [26]

      LIU Sheng-lin, GUO Xiao-ye, ZHANG Ze-kai, XIE Su-juan, DAI Hong-yi, XU Long-ya. The influence of MCM-22 molecular sieve mesoporous pore on gasoline alkylation desulfurization[J]. Acta Pet Sin (Pet Process Seet), 2008(Z):88-91.  

    27. [27]

      YAO Jian-jun, DUAN Yan, HOU Kai-hu. The preparation and performance evaluation of nanocomposite Al2O3-Hβ alkylation catalyst[J]. Acta Pet Sin (Pet Process Seet), 2013,29(4):577-583.  

    28. [28]

      BIAN Jun-jie. Study on the carbon deposition of phenylpropylene alkylation over modified Beta zeolite catalyst [D]. Dalian: Dalian University of Technology, 2002.

  • 加载中
    1. [1]

      Xuefei Zhao Xuhong Hu Zhenhua Jia . 理论与计算化学在傅-克烷基化反应教学中的应用. University Chemistry, 2025, 40(8): 360-367. doi: 10.12461/PKU.DXHX202410008

    2. [2]

      Shiyan Cheng Yonghong Ruan Lei Gong Yumei Lin . Research Advances in Friedel-Crafts Alkylation Reaction. University Chemistry, 2024, 39(10): 408-415. doi: 10.12461/PKU.DXHX202403024

    3. [3]

      Limei CHENMengfei ZHAOLin CHENDing LIWei LIWeiye HANHongbin WANG . Preparation and performance of paraffin/alkali modified diatomite/expanded graphite composite phase change thermal storage material. Chinese Journal of Inorganic Chemistry, 2024, 40(3): 533-543. doi: 10.11862/CJIC.20230312

    4. [4]

      Bao Jia Yunzhe Ke Shiyue Sun Dongxue Yu Ying Liu Shuaishuai Ding . Innovative Experimental Teaching for the Preparation and Modification of Conductive Organic Polymer Thin Films in Undergraduate Courses. University Chemistry, 2024, 39(10): 271-282. doi: 10.12461/PKU.DXHX202404121

    5. [5]

      Jia-He Li Yu-Ze Liu Jia-Hui Ma Qing-Xiao Tong Jian-Ji Zhong Jing-Xin Jian . 洛芬碱衍生物的合成、化学发光与重金属离子检测. University Chemistry, 2025, 40(6): 230-237. doi: 10.12461/PKU.DXHX202407080

    6. [6]

      Zimo Shen Tongwei Zhang Zhiyi Zhu Zonghao Gong Qing Feng Jinyi Yang Zhen Li Min Liu Wei Qi . From Alkaloid to Anticancer Agent: The Transformative Journey of Camptothecin. University Chemistry, 2025, 40(10): 161-165. doi: 10.12461/PKU.DXHX202411027

    7. [7]

      Yanyang Li Zongpei Zhang Kai Li Shuangquan Zang . Ideological and Political Design for the Comprehensive Experiment of the Synthesis and Aggregation-Induced Emission (AIE) Performance Study of Salicylaldehyde Schiff-Base. University Chemistry, 2024, 39(2): 105-109. doi: 10.3866/PKU.DXHX202307020

    8. [8]

      Lisha LEIWei YONGYiting CHENGYibo WANGWenchao HUANGJunhuan ZHAOZhongjie ZHAIYangbin DING . Application of regenerated cellulose and reduced graphene oxide film in synergistic power generation from moisture electricity generation and Mg-air batteries. Chinese Journal of Inorganic Chemistry, 2025, 41(6): 1151-1161. doi: 10.11862/CJIC.20240202

    9. [9]

      Xiaosong PUHangkai WUTaohong LIHuijuan LIShouqing LIUYuanbo HUANGXuemei LI . Adsorption performance and removal mechanism of Cd(Ⅱ) in water by magnesium modified carbon foam. Chinese Journal of Inorganic Chemistry, 2024, 40(8): 1537-1548. doi: 10.11862/CJIC.20240030

    10. [10]

      Huiwei DingBo PengZhihao WangQiaofeng Han . Advances in Metal or Nonmetal Modification of Bismuth-Based Photocatalysts. Acta Physico-Chimica Sinica, 2024, 40(4): 2305048-0. doi: 10.3866/PKU.WHXB202305048

    11. [11]

      Yan XinYunnian GeZezhong LiQiaobao ZhangHuajun Tian . Research Progress on Modification Strategies of Organic Electrode Materials for Energy Storage Batteries. Acta Physico-Chimica Sinica, 2024, 40(2): 2303060-0. doi: 10.3866/PKU.WHXB202303060

    12. [12]

      Xuejiao WangSuiying DongKezhen QiVadim PopkovXianglin Xiang . Photocatalytic CO2 Reduction by Modified g-C3N4. Acta Physico-Chimica Sinica, 2024, 40(12): 2408005-0. doi: 10.3866/PKU.WHXB202408005

    13. [13]

      Xiaoyang Li Xiaowei Huang Yimeng Zhang Huan Liu Shao Jin Junpeng Zhuang . Comprehensive Chemical Experiments on the Synthesis of 1,3-Dibromo-5,5-Dimethylhydantoin and Its Application as a Brominating Reagent. University Chemistry, 2025, 40(7): 286-293. doi: 10.12461/PKU.DXHX202408035

    14. [14]

      Xiaotian ZHUFangding HUANGWenchang ZHUJianqing ZHAO . Layered oxide cathode for sodium-ion batteries: Surface and interface modification and suppressed gas generation effect. Chinese Journal of Inorganic Chemistry, 2025, 41(2): 254-266. doi: 10.11862/CJIC.20240260

    15. [15]

      Yingtong ShiGuotong XuGuizeng LiangDi LanSiyuan ZhangYanru WangDaohao LiGuanglei Wu . PEG-VN改性PP隔膜用于高稳定性高效率锂硫电池. Acta Physico-Chimica Sinica, 2025, 41(7): 100082-0. doi: 10.1016/j.actphy.2025.100082

    16. [16]

      Zhilian Liu Wengui Wang Hongxiao Yang Yu Cui Shoufeng Wang . Ideological and Political Education Design for the Synthesis of Irinotecan Drug Intermediate 7-Ethyl Camptothecin. University Chemistry, 2024, 39(2): 89-93. doi: 10.3866/PKU.DXHX202306012

    17. [17]

      Jing WUPuzhen HUIHuilin ZHENGPingchuan YUANChunfei WANGHui WANGXiaoxia GU . Synthesis, crystal structures, and antitumor activities of transition metal complexes incorporating a naphthol-aldehyde Schiff base ligand. Chinese Journal of Inorganic Chemistry, 2024, 40(12): 2422-2428. doi: 10.11862/CJIC.20240278

    18. [18]

      Xiaotong LUPan ZHANGZijie ZHAOLei HUANGHongwei ZUOLili LIANG . Antitumor and antibacterial activities of pyridyl Schiff base indium and dysprosium complexes. Chinese Journal of Inorganic Chemistry, 2025, 41(8): 1523-1532. doi: 10.11862/CJIC.20250073

    19. [19]

      Yongming Guo Jie Li Chaoyong Liu . Green Improvement and Educational Design in the Synthesis and Characterization of Silver Nanoparticles. University Chemistry, 2024, 39(3): 258-265. doi: 10.3866/PKU.DXHX202309057

    20. [20]

      Chengxia Tong Yajie Li Jin Yan Xuejian Qu Shigang Wei Yong Fan Zhiguang Song Yupeng Guo . The Construction and Practice of a Comprehensive and Three-Dimensional Practical Education Model. University Chemistry, 2024, 39(7): 49-55. doi: 10.12461/PKU.DXHX202404155

Metrics
  • PDF Downloads(6)
  • Abstract views(2064)
  • HTML views(949)

通讯作者: 陈斌, bchen63@163.com
  • 1. 

    沈阳化工大学材料科学与工程学院 沈阳 110142

  1. 本站搜索
  2. 百度学术搜索
  3. 万方数据库搜索
  4. CNKI搜索
Address:Zhongguancun North First Street 2,100190 Beijing, PR China Tel: +86-010-82449177-888
Powered By info@rhhz.net

/

DownLoad:  Full-Size Img  PowerPoint
Return