Citation: ZHANG Lu-lu, ZHAN Jin-you, SUN Yao, SHEN Jian. Preparation of WO3-TiO2/SBA-15 catalyst and its photocatalytic performance in oxidative desulfurization[J]. Journal of Fuel Chemistry and Technology, ;2016, 44(6): 754-762. shu

Preparation of WO3-TiO2/SBA-15 catalyst and its photocatalytic performance in oxidative desulfurization

  • Corresponding author: SHEN Jian, lnshenjian@126.com
  • Received Date: 28 October 2015
    Revised Date: 16 December 2015

Figures(15)

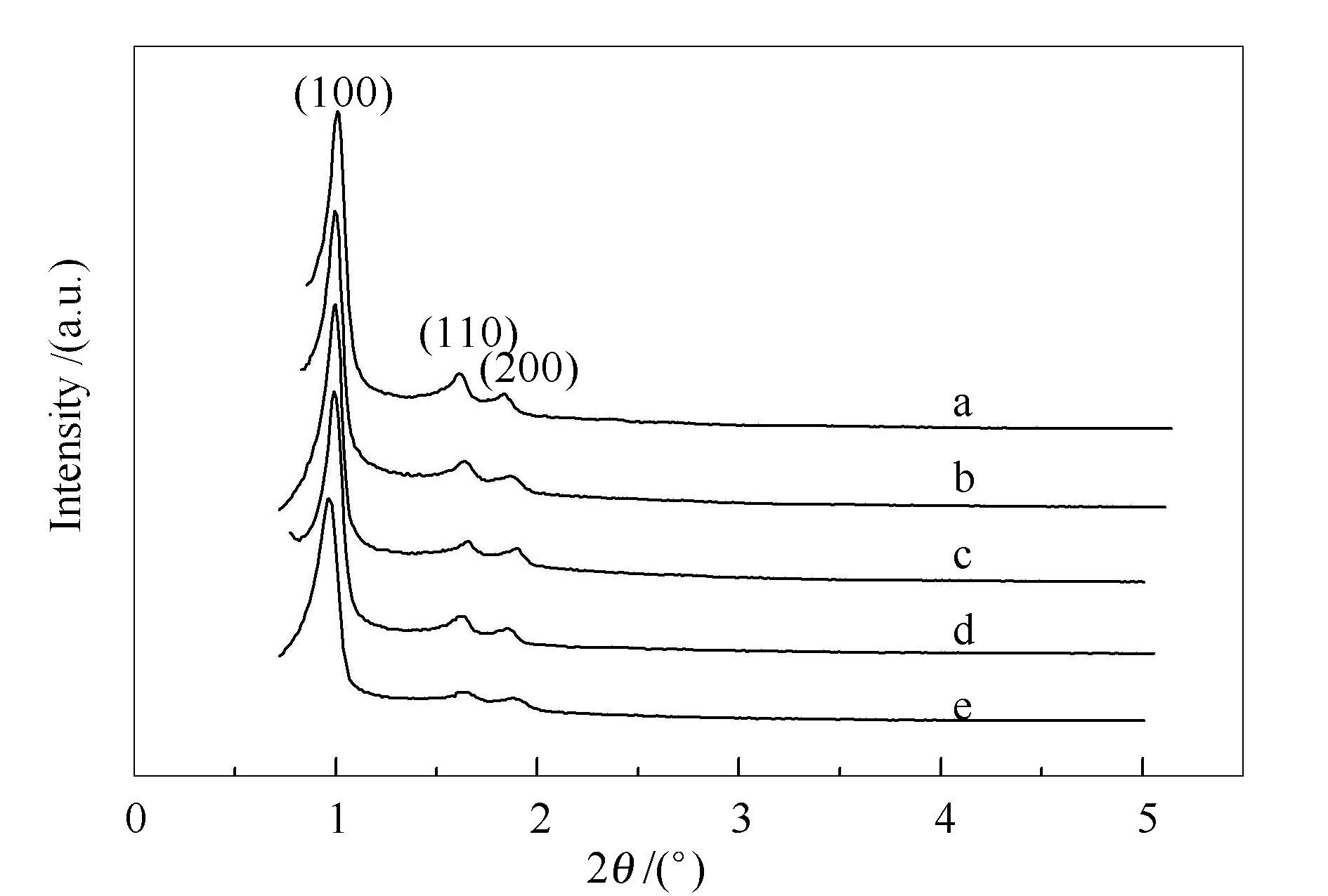
  • WO3-TiO2/SBA-15 catalyst was prepared by inner-pore hydrolysis method; it was characterized by XRD, SEM, EDS, N2 sorption, FT-IR, TG-DTA and UV-vis and used in the photocatalytic oxidative desulfurization of diesel oil. The effects of WO3 and TiO2 loading and calcination temperature and time on the performance of the WO3-TiO2/SBA-15 catalyst in its photocatalytic oxidative desulfurization were investigated. The results indicated that the optimum loadings of WO3 and TiO2 were 1.6% and 15%, respectively, and corresponding calcination temperature and time were 500℃ and 3h, respectively. Over the WO3-TiO2/SBA-15 catalyst prepared under the optimum conditions, in which the hexagonal mesoporous structure was well retained, the desulfurization rate of model diesel oil reached 87.9%. Moreover, the WO3-TiO2/SBA-15 catalyst also exhibited excellent reusability after regeneration.
  • 加载中
    1. [1]

      ACHMANN S, HAGEN G, HÄMMERLE M, MALKOWSKY I M, KIENER C, MOOS R. Sulfur removal from low-sulfur gasoline and diesel fuel by metal-organic frameworks[J]. Chem Eng Technol, 2010,33(2):275-280. doi: 10.1002/ceat.v33:2

    2. [2]

      XIE D, HE Q H, SU YY, WANG T W, XU R F, HU B X. Oxidative desulfurization of dibenzothiophene catalyzed by peroxotungstate on functionalized MCM-41 materials using hydrogen peroxide as oxidant[J]. Chin J Catal, 2015,36(8):1205-1213. doi: 10.1016/S1872-2067(15)60897-X

    3. [3]

      ZHANG Wen-ling, WAN Kun, YU Guo-xian, ZHOU Xiao-long, LI Cheng-lie. Preparation of adsorbent for desulfurlzation of diesel fuel through activating rice hull by phosphoric acid[J]. Acta Pet Sin (Pet Proc Sect), 2010,26(4):588-593.  

    4. [4]

      FANG X A, GUO R A, YANG C M. The development and application of catalysts for ultra-deep hydrodesulfurization of diesel[J]. Chin J Catal, 2013,34(1):130-139. doi: 10.1016/S1872-2067(11)60506-8

    5. [5]

      WANG C, ZHU W S, XU Y H, XU H, ZHANG M, CHAO Y H, YIN S, LI H M, WANG J G. Preparation of TiO2/g-C3N4 composites and their application in photocatalytic oxidative desulfurization[J]. Ceram Int, 2014,40(8):11627-11635. doi: 10.1016/j.ceramint.2014.03.156

    6. [6]

      ZHANG J, ZHAO D S, WANG J L, YANG L Y. Photocatalytic oxidation of dibenzothiophene using TiO2/bamboo charcoal[J]. J Mater Sci, 2009,44(12):3112-3117. doi: 10.1007/s10853-009-3413-z

    7. [7]

      KACHINA A, PREIS S, KALLAS J. Catalytic TiO2 oxidation of ethanethiol for environmentally begnin air pollution control of sulphur compounds[J]. Environ Chem Lett, 2006,4(2):107-110. doi: 10.1007/s10311-006-0042-5

    8. [8]

      TACHIKAWA T, FUJITSUKA M, MAJIMA T. Mechanistic insight into the TiO2 photocatalytic reactions:65 design of new photocatalysts[J]. J Phys Chem C, 2007,111(14):5259-5275. doi: 10.1021/jp069005u

    9. [9]

      FENG Xiang, SHI Fei, LIU Jing-xiao, DONG Xiao-li, BAI Lu-nan, WANG Xiao-ka, ZHANG Xiu-fang. Hydrothermal synthesis and photocatalytic activity of WO3-TiO2 composite photocatalysts[J]. Mater Rev, 2013,27(22):37-40.

    10. [10]

      LU Cheng, YANG Ping, DU Yu-kou, HUA Nan-ping, SONG Hai-yan. Effects of supports on photocatalytic performance of supported TiO2 catalysts[J]. Chin J Catal, 2003,24(4):248-252.  

    11. [11]

      JI Gui-jie, ZHANG Yao-bing, FU Ning-ning, TANG Lei, LIU Peng, SHEN Jian. Preparation and adsorption desulfurization performance of Mn/Al-SBA-15[J]. J Fuel Chem Technol, 2015,43(4):449-455.  

    12. [12]

      WANG Zhe, JI Gui-jie, SHEN Jian. Study of photocatalytic oxidative desulfurization of gasoline with TiO2/SBA-15[J]. Pet Process Petrochem, 2015,46(4):51-54.  

    13. [13]

      ZHAO D Y, FENG J L, HUO Q S, MELOSH N, FREDRICKSON G H, CHMELKA B F, STUCKY G D. Triblock copolymer syntheses of mesoporous silica with periodic 50 to 300 angstrom pores[J]. Science, 1998,279(5350):548-552. doi: 10.1126/science.279.5350.548

    14. [14]

      MA Jing, QIANG Liang-sheng, TANG Xiang-bo, TANG Dong-yan. TiO2/SBA-15:Rapid synthesis and photocatalytic performance[J]. Chin J Inorg Chem, 2010,26(6):963-969.  

    15. [15]

      WANG X J, LI F T, LIU J X, KOU C G, ZHAO Y, HAO Y J, ZHAO D S. Preparation of TiO2 in ionic liquid via microwave radiation and in situ photocatalytic oxidative desulfurization of diesel oil[J]. Energy Fuels, 2012,26(11):6777-6782.  

    16. [16]

      LIU Yang, WANG Sheng, WANG Tao, XU Zhang-lian, CHEN Wen-xing, JIANG Jie, WEI Jian-hong. Preparation of WO3/TiO2nanorod composites and its photocatalytic activity[J]. Chin J Catal, 2010,31(4):485-489.  

    17. [17]

      WU Shu-jie, HUANG Jia-hui, WU Tong-hao, SONG Ke, WANG Hong-su, XING Li-hong, XU Hai-yan, XU Ling, GUAN Jing-qi, KAN Qiu-bin. Synthesis, characterization, and catalytic performance of mesoporous Al-SBA-15 for Tert-butylation of phenol[J]. Chin J Catal, 2006,27(1):9-14. doi: 10.1016/S1872-2067(06)60004-1

    18. [18]

      BUSUIOC A M, MEYNEN V, BEYERS E, MERTENS M, COOL P, BILBA N, VANSANT E F. Structural features and photocatalytic behaviour of titania deposited within the pores of SBA-15[J]. Appl Catal A:Gen, 2006,312(9):153-164.  

    19. [19]

      WANG Z H, CHEN B, QUAN G L, LI F, WU Q L, DIAN L H, DONG Y X, LI G, WU C B. Increasing the oral bioavailability of poorly water-soluble carbamazepine using immediate-release pellets supported on SBA-15 mesoporous silica[J]. Int J Nanomed, 2013,7(11):5807-5818.  

    20. [20]

      CHEN Yang-ying, HAN Xiu-wen, BAO Xin-he. Direct synthesis of W-SBA-15 mesoporous molecular sieves and their catalytic performance for epoxidation of cyclohexene[J]. Chin J Catal, 2005,26(5):412-416.  

    21. [21]

      PALCHEVA R, SPOJAKINA A, DIMITROV L, JIRATOVA K. 12-Tungstophosphoric heteropolyacid supported on modified SBA-15 as catalyst in HDS of thiophene[J]. Microporous Mesoporous Mater, 2009,122(1/3):128-134.  

    22. [22]

      HUANG Y, LI K X, YAN L S, DAI Y H, HUANG Z M, XUE K P, GUO H Q, XIONG J J. Preparation of 2D hexagonal p6mm ordered mesoporous WO3-TiO2 composite materials and their visible-light photocatalytic activity[J]. Chin J Catal, 2012,33(2):308-316.

    23. [23]

      VU T H T, NGUYEN T T T, NGUYEN P H T, DO M H, AU H T, NGUYEN T B, NGUYEN D L, PARK J S. Fabrication of photocatalytic composite of multi-walled carbon nanotubes/TiO2 and its application for desulfurization of diesel[J]. Mater Res Bull, 2012,47(2):308-314. doi: 10.1016/j.materresbull.2011.11.016

  • 加载中
    1. [1]

      Qinhui GuanYuhao GuoNa LiJing LiTingjiang Yan . Molecular sieve-mediated indium oxide catalysts for enhancing photocatalytic CO2 hydrogenation. Acta Physico-Chimica Sinica, 2025, 41(11): 100133-0. doi: 10.1016/j.actphy.2025.100133

    2. [2]

      Zhuo WANGJunshan ZHANGShaoyan YANGLingyan ZHOUYedi LIYuanpei LAN . Preparation and photocatalytic performance of CeO2-reduced graphene oxide by thermal decomposition. Chinese Journal of Inorganic Chemistry, 2024, 40(9): 1708-1718. doi: 10.11862/CJIC.20240067

    3. [3]

      Ze LuoYukun ZhuYadan LuoGuangmin RenYonghong WangHua Tang . Photocatalytic selective oxidation of 5-hydroxymethylfurfural coupled with H2 evolution over In2O3/ZnIn2S4 S-scheme heterojunction. Acta Physico-Chimica Sinica, 2026, 42(3): 100166-0. doi: 10.1016/j.actphy.2025.100166

    4. [4]

      Xinyu XuJiale LuBo SuJiayi ChenXiong ChenSibo Wang . Steering charge dynamics and surface reactivity for photocatalytic selective methane oxidation to ethane over Au/Ti-CeO2. Acta Physico-Chimica Sinica, 2025, 41(11): 100153-0. doi: 10.1016/j.actphy.2025.100153

    5. [5]

      Yuanqing WangYusong PanHongwu ZhuYanlei XiangRong HanRun HuangChao DuChengling Pan . Enhanced Catalytic Activity of Bi2WO6 for Organic Pollutants Degradation under the Synergism between Advanced Oxidative Processes and Visible Light Irradiation. Acta Physico-Chimica Sinica, 2024, 40(4): 2304050-0. doi: 10.3866/PKU.WHXB202304050

    6. [6]

      Chengxiao ZhaoZhaolin LiDongfang WuXiaofei Yang . SBA-15 templated covalent triazine frameworks for boosted photocatalytic hydrogen production. Acta Physico-Chimica Sinica, 2026, 42(1): 100149-0. doi: 10.1016/j.actphy.2025.100149

    7. [7]

      Kun WANGWenrui LIUPeng JIANGYuhang SONGLihua CHENZhao DENG . Hierarchical hollow structured BiOBr-Pt catalysts for photocatalytic CO2 reduction. Chinese Journal of Inorganic Chemistry, 2024, 40(7): 1270-1278. doi: 10.11862/CJIC.20240037

    8. [8]

      Zijian Jiang Yuang Liu Yijian Zong Yong Fan Wanchun Zhu Yupeng Guo . Preparation of Nano Zinc Oxide by Microemulsion Method and Study on Its Photocatalytic Activity. University Chemistry, 2024, 39(5): 266-273. doi: 10.3866/PKU.DXHX202311101

    9. [9]

      Xuejiao WangSuiying DongKezhen QiVadim PopkovXianglin Xiang . Photocatalytic CO2 Reduction by Modified g-C3N4. Acta Physico-Chimica Sinica, 2024, 40(12): 2408005-0. doi: 10.3866/PKU.WHXB202408005

    10. [10]

      Haitao WangLianglang YuJizhou JiangArramelJing Zou . S-Doping of the N-Sites of g-C3N4 to Enhance Photocatalytic H2 Evolution Activity. Acta Physico-Chimica Sinica, 2024, 40(5): 2305047-0. doi: 10.3866/PKU.WHXB202305047

    11. [11]

      Jianyin HeLiuyun ChenXinling XieZuzeng QinHongbing JiTongming Su . Construction of ZnCoP/CdLa2S4 Schottky Heterojunctions for Enhancing Photocatalytic Hydrogen Evolution. Acta Physico-Chimica Sinica, 2024, 40(11): 2404030-0. doi: 10.3866/PKU.WHXB202404030

    12. [12]

      Zhiquan ZhangBaker RhimiZheyang LiuMin ZhouGuowei DengWei WeiLiang MaoHuaming LiZhifeng Jiang . Insights into the Development of Copper-Based Photocatalysts for CO2 Conversion. Acta Physico-Chimica Sinica, 2024, 40(12): 2406029-0. doi: 10.3866/PKU.WHXB202406029

    13. [13]

      Yuhang ZhangYi LiYuehan CaoYingjie ShuaiYu ZhouYing Zhou . Regulating the formation type by Ir of intermediates to suppress product overoxidation in photocatalytic methane conversion. Acta Physico-Chimica Sinica, 2026, 42(2): 100173-0. doi: 10.1016/j.actphy.2025.100173

    14. [14]

      Ruolin CHENGHaoran WANGJing RENYingying MAHuagen LIANG . Efficient photocatalytic CO2 cycloaddition over W18O49/NH2-UiO-66 composite catalyst. Chinese Journal of Inorganic Chemistry, 2024, 40(3): 523-532. doi: 10.11862/CJIC.20230349

    15. [15]

      Yulian Hu Xin Zhou Xiaojun Han . A Virtual Simulation Experiment on the Design and Property Analysis of CO2 Reduction Photocatalyst. University Chemistry, 2025, 40(3): 30-35. doi: 10.12461/PKU.DXHX202403088

    16. [16]

      Ronghui LI . Photocatalysis performance of nitrogen-doped CeO2 thin films via ion beam-assisted deposition. Chinese Journal of Inorganic Chemistry, 2025, 41(6): 1123-1130. doi: 10.11862/CJIC.20240440

    17. [17]

      Jingjing LiuAoqi WeiHao ZhangShuwang Duo . SnS2-based heterostructures: advances in photocatalytic and gas-sensing applications. Acta Physico-Chimica Sinica, 2025, 41(12): 100185-0. doi: 10.1016/j.actphy.2025.100185

    18. [18]

      Jingping LiSuding YanJiaxi WuQiang ChengKai Wang . Improving hydrogen peroxide photosynthesis over inorganic/organic S-scheme photocatalyst with LiFePO4. Acta Physico-Chimica Sinica, 2025, 41(9): 100104-0. doi: 10.1016/j.actphy.2025.100104

    19. [19]

      Ke LiChuang LiuJingping LiGuohong WangKai Wang . Architecting Inorganic/Organic S-Scheme Heterojunction of Bi4Ti3O12 Coupling with g-C3N4 for Photocatalytic H2O2 Production from Pure Water. Acta Physico-Chimica Sinica, 2024, 40(11): 2403009-0. doi: 10.3866/PKU.WHXB202403009

    20. [20]

      Jiawei HuKai XiaAo YangZhihao ZhangWen XiaoChao LiuQinfang Zhang . Interfacial Engineering of Ultrathin 2D/2D NiPS3/C3N5 Heterojunctions for Boosting Photocatalytic H2 Evolution. Acta Physico-Chimica Sinica, 2024, 40(5): 2305043-0. doi: 10.3866/PKU.WHXB202305043

Metrics
  • PDF Downloads(0)
  • Abstract views(2514)
  • HTML views(277)

通讯作者: 陈斌, bchen63@163.com
  • 1. 

    沈阳化工大学材料科学与工程学院 沈阳 110142

  1. 本站搜索
  2. 百度学术搜索
  3. 万方数据库搜索
  4. CNKI搜索
Address:Zhongguancun North First Street 2,100190 Beijing, PR China Tel: +86-010-82449177-888
Powered By info@rhhz.net

/

DownLoad:  Full-Size Img  PowerPoint
Return