Citation: RUAN Ren-hui, LI Guang-lin, TAN Hou-zhang, BAI Sheng-jie, WEI Bo, HU Zhong-fa, YANG Fu-xin. Effect of sodium on the formation of fine particulates during synthetic char combustion[J]. Journal of Fuel Chemistry and Technology, ;2018, 46(3): 283-289. shu

Effect of sodium on the formation of fine particulates during synthetic char combustion

  • Corresponding author: TAN Hou-zhang, tanhz@mail.xjtu.edu.cn
  • Received Date: 24 November 2017
    Revised Date: 28 January 2018

    Fund Project: The project was supported by the the National Key Research and Development Plan of China (2016YFB0600605)the the National Key Research and Development Plan of China 2016YFB0600605

Figures(7)

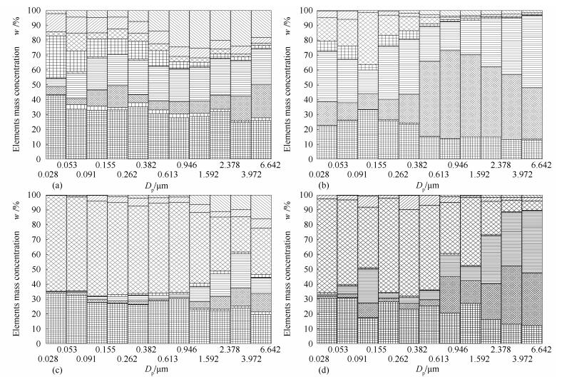
  • Synthetic char was used as the mineral carrier to study the characteristic of fine particulates formation during coal combustion. The silica oxide and aluminum oxide were added to synthetic char to study the interaction between sodium and common minerals in coal. The results show that the inorganic water-soluble sodium is more likely to form stable fine particles, while organic sodium is preferred to react with silica and aluminum compounds in the absence of chlorine. Chemical reactions and physical capture are two main ways for sodium capture by silica, aluminum compounds. The sodium captured through chemical reactions is 2.4 times that by physical way.
  • 加载中
    1. [1]

      CHEN Chuan, ZHANG Shou-yu, SHI Da-zhong, LIU Da-hai. Study on sodium removal for zhundong coal upgrading[J]. Coal Convers, 2013,36(4):14-18.  

    2. [2]

      QI Xiao-bin, SONG Guo-liang, SONG Wei-jian, LÜ Qing-gang. Alkali metal migration and slagging characteristic during Zhundong high-alkali coal gasification[J]. J Fuel Chem Technol, 2015,43(8):906-913.  

    3. [3]

      ZHOU Yong-gang, FAN Jian-yong, LI Pei, WANG Bin-hui, ZHAO Hong. Slagging characteristic of high alkalis Zhundong coal[J]. J Zhejiang Univ (Eng Sci), 2014,48(11):2061-2065.  

    4. [4]

      ZHANG Yu-kui, ZHANG Hai-xia, ZHU Zhi-ping. Physical and chemical properties of fly ash from fluidized bed gasification of Zhundong coal[J]. J Fuel Chem Technol, 2016,44(3):305-313.  

    5. [5]

      YANG Shao-bo, SONG Guo-liang, SONG Wei-jian, QI Xiao-bin. Transformation and deposition characteristics of sodium in Zhundong high sodium coal under different reaction atmospheres[J]. J Fuel Chem Technol, 2016,44(9):1051-1058.  

    6. [6]

      RUAN R H, TAN H Z, WANG X B, LI Y, LI S S, HU Z F, WEI B, YANG T. Characteristics of fine particulate matter formation during combustion of lignite riched in AAEM (alkali and alkaline earth metals) and sulfur[J]. Fuel, 2018,211:206-213. doi: 10.1016/j.fuel.2017.08.114

    7. [7]

      YANG Yi-hong, TAO Jun, ZHU Li-hua, ZHANG Zhi-sheng, WANG Qi-yuan, CAO Jun-ji. Characterization of chemical compositions of PM2.5 and its impact on scattering coefficients at a background site over Western China[J]. J Environ Sci, 2017,37(4):1216-1226.  

    8. [8]

      GUO Shuai, JIANG Yun-feng, XIONG Qing-an, SONG Shuang-shuang, ZHAO Jian-tao, FANG Yi-tian. Release and transformation behaviors of sodium species with different occurrence modes during pyrolysis of Zhundong coal[J]. J Fuel Chem Technol, 2017,45(3):257-264.  

    9. [9]

      LIU Xiao-wei, XU Ming-hou, YAO Hong, YU Dun-xi, LV Dang-zhen, ZHANG Hui-xing. Study of occurrence mode of sodium effect on the submicron ash particle formation during coal combustion[J]. J Eng Thermophys, 2009,30(9):1589-1592.  

    10. [10]

      YANG Ming, CHEN Ming-hua, GU Hong-wei. Study on the occurrence of alkali metal in high sodium XingJiang coal by sequential extraction[J]. Coal Qual Technol, 2014(6):8-11.  

    11. [11]

      QI Hui, ZHAO Yong-chun, YAO Bin, ZHANG Jun-ying, ZHENG Chu-guang. Influence factors of removing water soluble sodium in Zhundong coal by water washing[J]. Therm Power Gener, 2015,44(9):14-18.  

    12. [12]

      GAO X P, RAHIM M U, CHEN X X, WU H W. Significant contribution of organically-bound Mg, Ca, and Fe to inorganic PM 10 emission during the combustion of pulverized Victorian brown coal[J]. Fuel, 2014,117:825-832. doi: 10.1016/j.fuel.2013.09.056

    13. [13]

      HELBLE J J. Mechanisms of ash particle formation and growth during pulverized coal combustion[D]. Massachusetts: Massachusetts Institute of Technology, 1987.

    14. [14]

      GRAHAM K A. Submicron ash formation and interaction with sulfur oxides during pulverized coal combustion[D]. Massachusetts: Massachusetts Institute of Technology, 1991.

    15. [15]

      XU Y S, LIU X W, ZHOU Z J, SHENG L, WANG C, XU M H. The role of steam in silica vaporization and ultrafine particulate matter formation during wet oxy-coal combustion[J]. Appl Energy, 2014,133(15):144-151.  

    16. [16]

      SI J P, LIU X W, XU M H, SHENG L, ZHOU Z J, WANG C, ZHANG Y, SEO Y C. Effect of kaolin additive on PM 2.5 reduction during pulverized coal combustion:Importance of sodium and its occurrence in coal[J]. Appl Energy, 2014,114:434-444. doi: 10.1016/j.apenergy.2013.10.002

    17. [17]

      LEVENDIS Y A, JOSHI K, KHATAMI R, SAROFIM A F. Combustion behavior in air of single particles from three different coal ranks and from sugarcane bagasse[J]. Combust Flame, 2011,158(3):452-465. doi: 10.1016/j.combustflame.2010.09.007

    18. [18]

      FENG Li, YU Xiao-hui, LIU Xiang-chun, ZHAO Ying-ya. Effects of ash removal on the structure and combustion characteristic of Shengli lignite[J]. J China Uni Min Technol, 2015,44(02):319-325.  

    19. [19]

      WANG X B, RUAN R H, YANG T, ADEOSUN Adewale, ZHANG L M, WEI B, TAN H Z, AXELBAUM R L. Sulfate removal by kaolin addition to address fouling in a full-scale furnace burning high-alkaline Zhundong coal[J]. Energy Fuels, 2017,31(11):12823-12830. doi: 10.1021/acs.energyfuels.7b02099

    20. [20]

      QUANN R J. Ash vaporization under simulated pulverized coal combustion conditions[D]. Massachusetts: Massachusetts Institute of Technology, 1982.

    21. [21]

      KNUDSEN J N, JEN SEN P A, DAM Johansen K. Transformation and release to the gas phase of Cl, K, and S during combustion of annual biomass[J]. Energy Fuels, 2004,18(5):1385-1399. doi: 10.1021/ef049944q

    22. [22]

      LI R B, CHEN Q, ZHANG H X. Detailed investigation on sodium (Na) species release and transformation mechanism during pyrolysis and char gasification of high-Na Zhundong coal[J]. Energy Fuels, 2017,31(6):5902-5912. doi: 10.1021/acs.energyfuels.7b00410

    23. [23]

      XU Y S, LIU X W, ZHANG P H, GUO J Z, HAN J K, ZHOU Z J, XU M H. Role of chlorine in ultrafine particulate matter formation during the combustion of a blend of high-Cl coal and low-Cl coal[J]. Fuel, 2016,184(15):185-191.  

  • 加载中
    1. [1]

      Zhuo WANGXiaotong LIZhipeng HUJunqiao PAN . Three-dimensional porous carbon decorated with nano bismuth particles: Preparation and sodium storage properties. Chinese Journal of Inorganic Chemistry, 2025, 41(2): 267-274. doi: 10.11862/CJIC.20240223

    2. [2]

      Zhicheng JUWenxuan FUBaoyan WANGAo LUOJiangmin JIANGYueli SHIYongli CUI . MOF-derived nickel-cobalt bimetallic sulfide microspheres coated by carbon: Preparation and long cycling performance for sodium storage. Chinese Journal of Inorganic Chemistry, 2025, 41(4): 661-674. doi: 10.11862/CJIC.20240363

    3. [3]

      Xiuyun Wang Jiashuo Cheng Yiming Wang Haoyu Wu Yan Su Yuzhuo Gao Xiaoyu Liu Mingyu Zhao Chunyan Wang Miao Cui Wenfeng Jiang . Improvement of Sodium Ferric Ethylenediaminetetraacetate (NaFeEDTA) Iron Supplement Preparation Experiment. University Chemistry, 2024, 39(2): 340-346. doi: 10.3866/PKU.DXHX202308067

    4. [4]

      Xiaoning TANGJunnan LIUXingfu YANGJie LEIQiuyang LUOShu XIAAn XUE . Effect of sodium alginate-sodium carboxymethylcellulose gel layer on the stability of Zn anodes. Chinese Journal of Inorganic Chemistry, 2024, 40(8): 1452-1460. doi: 10.11862/CJIC.20240191

    5. [5]

      Xue XiaoJiachun LiXiangtong MengJieshan Qiu . Sulfur-Doped Carbon-Coated Fe0.95S1.05 Nanospheres as Anodes for High-Performance Sodium Storage. Acta Physico-Chimica Sinica, 2024, 40(6): 2307006-0. doi: 10.3866/PKU.WHXB202307006

    6. [6]

      Ziliang KANGJiamin ZHANGHong ANXiaohua LIUYang CHENJinping LILibo LI . Preparation and water adsorption properties of CaCl2@MOF-808 in-situ composite moulded particles. Chinese Journal of Inorganic Chemistry, 2024, 40(11): 2133-2140. doi: 10.11862/CJIC.20240282

    7. [7]

      Wenhui LiYakun TangYusheng ZhouYue ZhangWenhai ZhangQingtao MaLang LiuSen DongYuliang Cao . Enhanced sodium storage performance of asphalt-derived hard carbon through intramolecular oxidation for high-performance sodium-ion batteries. Acta Physico-Chimica Sinica, 2025, 41(10): 100119-0. doi: 10.1016/j.actphy.2025.100119

    8. [8]

      Débora Ferreira dos Santos MoraisJosé Luis TiradoCarlos Pérez-VicenteFabiana Villela da MottaPedro LavelaMauricio BomioSergio Lavela . Unlocking the performance of sodium-ion batteries by coating Na3V2(PO4)3 with Nb2O5. Acta Physico-Chimica Sinica, 2026, 42(2): 100180-0. doi: 10.1016/j.actphy.2025.100180

    9. [9]

      Chao WUQingxiu SHITao XUZhengxi PENGZhongping XIONGYinglin ZHANGYujun SIChaozhong GUO . Enhancement of oxygen reduction reaction performance of iron-nitrogen doped carbon based catalysts by sodium carboxymethyl cellulose pre-deoxygenation. Chinese Journal of Inorganic Chemistry, 2026, 42(4): 737-746. doi: 10.11862/CJIC.20250305

    10. [10]

      Zelong LIANGShijia QINPengfei GUOHang XUBin ZHAO . Synthesis and electrocatalytic CO2 reduction performance of metal-organic framework catalysts loaded with silver particles. Chinese Journal of Inorganic Chemistry, 2025, 41(1): 165-173. doi: 10.11862/CJIC.20240409

    11. [11]

      Qilu DULi ZHAOPeng NIEBo XU . Synthesis and characterization of osmium-germyl complexes stabilized by triphenyl ligands. Chinese Journal of Inorganic Chemistry, 2024, 40(6): 1088-1094. doi: 10.11862/CJIC.20240006

    12. [12]

      Tianyun Chen Ruilin Xiao Xinsheng Gu Yunyi Shao Qiujun Lu . Synthesis, Crystal Structure, and Mechanoluminescence Properties of Lanthanide-Based Organometallic Complexes. University Chemistry, 2024, 39(5): 363-370. doi: 10.3866/PKU.DXHX202312017

    13. [13]

      Chi Li Jichao Wan Qiyu Long Hui Lv Ying XiongN-Heterocyclic Carbene (NHC)-Catalyzed Amidation of Aldehydes with Nitroso Compounds. University Chemistry, 2024, 39(5): 388-395. doi: 10.3866/PKU.DXHX202312016

    14. [14]

      Yuxin CHENYanni LINGYuqing YAOKeyi WANGLinna LIXin ZHANGQin WANGHongdao LIWenmin WANG . Construction, structures, and interaction with DNA of two Sm4 complexes. Chinese Journal of Inorganic Chemistry, 2025, 41(6): 1141-1150. doi: 10.11862/CJIC.20240258

    15. [15]

      Kaimin WANGNa HEShiyi LIXuling BAIWeiqing SUNYanqing YEYulu MA . Synthesis, Hirshfeld surface analysis and properties of two Zn(Ⅱ)/Ni(Ⅱ) coordination polymers. Chinese Journal of Inorganic Chemistry, 2026, 42(1): 55-64. doi: 10.11862/CJIC.20250178

    16. [16]

      Zijun Huang Feng Wu Shaofeng Pi Saijin Huang Zhengjun Fang . Knowledge Graph-based Development of AI Curriculum for Inorganic Chemistry Experiments and Exploration of New Teaching Paradigm. University Chemistry, 2025, 40(9): 228-237. doi: 10.12461/PKU.DXHX202504052

    17. [17]

      Huan Zhang Guoqing Zhong Qiying Jiang Wenyuan Hu Dingming Yang Juan shen Yatang Dai Hongbo Li . Development and Practice of the “Five Rings and One Heart” Teaching Model in Inorganic Chemistry. University Chemistry, 2025, 40(11): 42-51. doi: 10.12461/PKU.DXHX202412076

    18. [18]

      Jingjing QINGFan HEZhihui LIUShuaipeng HOUYa LIUYifan JIANGMengting TANLifang HEFuxing ZHANGXiaoming ZHU . Synthesis, structure, and anticancer activity of two complexes of dimethylglyoxime organotin. Chinese Journal of Inorganic Chemistry, 2024, 40(7): 1301-1308. doi: 10.11862/CJIC.20240003

    19. [19]

      Liang TANGJingfei NIKang XIAOXiangmei LIU . Synthesis and X-ray imaging application of lanthanide-organic complex-based scintillators. Chinese Journal of Inorganic Chemistry, 2024, 40(10): 1892-1902. doi: 10.11862/CJIC.20240139

    20. [20]

      Geyang Song Dong Xue Gang Li . Recent Advances in Transition Metal-Catalyzed Synthesis of Anilines from Aryl Halides. University Chemistry, 2024, 39(2): 321-329. doi: 10.3866/PKU.DXHX202308030

Metrics
  • PDF Downloads(4)
  • Abstract views(2012)
  • HTML views(195)

通讯作者: 陈斌, bchen63@163.com
  • 1. 

    沈阳化工大学材料科学与工程学院 沈阳 110142

  1. 本站搜索
  2. 百度学术搜索
  3. 万方数据库搜索
  4. CNKI搜索
Address:Zhongguancun North First Street 2,100190 Beijing, PR China Tel: +86-010-82449177-888
Powered By info@rhhz.net

/

DownLoad:  Full-Size Img  PowerPoint
Return