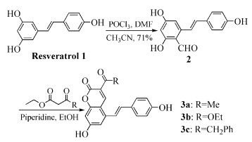
Synthesis and Biological Evaluation of New Coumarin-Resveratrol Derivatives
- Corresponding author: Mao Zewei, maozw@ynutcm.edu.cn
Citation:
Li Minxin, Li Yongkun, Liu Bei, Yin Pengcheng, Gao Hui, Mao Zewei. Synthesis and Biological Evaluation of New Coumarin-Resveratrol Derivatives[J]. Chemistry,
;2019, 82(11): 1043-1046.
Jiahong WANG , Zekun XU , Tianjiao LU , Jinming HUANG . Performance of N, Mn doped semi-coke activated carbon catalyzed ozone oxidation for the degradation of tetracycline hydrochloride in water. Chinese Journal of Inorganic Chemistry, 2025, 41(12): 2549-2560. doi: 10.11862/CJIC.20250120
Benhua Wang , Chaoyi Yao , Yiming Li , Qing Liu , Minhuan Lan , Guipeng Yu , Yiming Luo , Xiangzhi Song . 一种基于香豆素氟离子荧光探针的合成、表征及性能测试——“科研反哺教学”在有机化学综合实验教学中的探索与实践. University Chemistry, 2025, 40(6): 201-209. doi: 10.12461/PKU.DXHX202408070
Rong Tian , Yadi Yang , Naihao Lu . Comprehensive Experimental Design of Undergraduate Students Based on Interdisciplinarity: Study on the Effect of Quercetin on Chlorination Activity of Myeloperoxidase. University Chemistry, 2024, 39(8): 247-254. doi: 10.3866/PKU.DXHX202312064
Jiali Lei , Juan Wang , Wenhui Zhang , Guohong Wang , Zihui Liang , Jinmao Li . TiO2/CdIn2S4 S-scheme heterojunction photocatalyst promotes photocatalytic hydrogen evolution coupled vanillyl alcohol oxidation. Acta Physico-Chimica Sinica, 2025, 41(12): 100174-0. doi: 10.1016/j.actphy.2025.100174
Chunmei GUO , Weihan YIN , Jingyi SHI , Jianhang ZHAO , Ying CHEN , Quli FAN . Facile construction and peroxidase-like activity of single-atom platinum nanozyme. Chinese Journal of Inorganic Chemistry, 2024, 40(9): 1633-1639. doi: 10.11862/CJIC.20240162
Zilin Hu , Yaoshen Niu , Xiaohui Rong , Yongsheng Hu . Suppression of Voltage Decay through Ni3+ Barrier in Anionic-Redox Active Cathode for Na-Ion Batteries. Acta Physico-Chimica Sinica, 2024, 40(6): 2306005-0. doi: 10.3866/PKU.WHXB202306005
Jianjun LI , Mingjie REN , Lili ZHANG , Lingling ZENG , Huiling WANG , Xiangwu MENG . UV-assisted degradation of tetracycline hydrochloride by MnFe2O4@activated carbon activated persulfate. Chinese Journal of Inorganic Chemistry, 2024, 40(10): 1869-1880. doi: 10.11862/CJIC.20240187
Jianan Hong , Chenyu Xu , Yan Liu , Changqi Li , Menglin Wang , Yanwei Zhang . Decoding the interfacial competition between hydrogen evolution and CO2 reduction via edge-active-site modulation in photothermal catalysis. Acta Physico-Chimica Sinica, 2025, 41(9): 100099-0. doi: 10.1016/j.actphy.2025.100099
Wentao Xu , Xuyan Mo , Yang Zhou , Zuxian Weng , Kunling Mo , Yanhua Wu , Xinlin Jiang , Dan Li , Tangqi Lan , Huan Wen , Fuqin Zheng , Youjun Fan , Wei Chen . Bimetal Leaching Induced Reconstruction of Water Oxidation Electrocatalyst for Enhanced Activity and Stability. Acta Physico-Chimica Sinica, 2024, 40(8): 2308003-0. doi: 10.3866/PKU.WHXB202308003
Jichao XU , Ming HU , Xichang CHEN , Chunhui WANG , Leichen WANG , Lingyi ZHOU , Xing HE , Xiamin CHENG , Su JING . Construction and hydrogen peroxide-activated chemodynamic activity of ferrocene?benzoselenadiazole conjugate. Chinese Journal of Inorganic Chemistry, 2025, 41(8): 1495-1504. doi: 10.11862/CJIC.20250144
Yuanqing Wang , Yusong Pan , Hongwu Zhu , Yanlei Xiang , Rong Han , Run Huang , Chao Du , Chengling Pan . Enhanced Catalytic Activity of Bi2WO6 for Organic Pollutants Degradation under the Synergism between Advanced Oxidative Processes and Visible Light Irradiation. Acta Physico-Chimica Sinica, 2024, 40(4): 2304050-0. doi: 10.3866/PKU.WHXB202304050
Meihong Luo , Hongyu Wang . Teaching Reform of Benzoin Oxidation Experiment in the Context of Green Pharmaceutical Chemistry. University Chemistry, 2025, 40(5): 376-382. doi: 10.12461/PKU.DXHX202411055
Quanliang Chen , Zhaohui Zhou . Research on the Active Site of Nitrogenase over Fifty Years. University Chemistry, 2024, 39(7): 287-293. doi: 10.3866/PKU.DXHX202310133
Haitang WANG , Yanni LING , Xiaqing MA , Yuxin CHEN , Rui ZHANG , Keyi WANG , Ying ZHANG , Wenmin WANG . Construction, crystal structures, and biological activities of two LnⅢ3 complexes. Chinese Journal of Inorganic Chemistry, 2024, 40(8): 1474-1482. doi: 10.11862/CJIC.20240188
Yukai Jiang , Yihan Wang , Yunkai Zhang , Yunping Wei , Ying Ma , Na Du . Characterization and Phase Diagram of Surfactant Lyotropic Liquid Crystal. University Chemistry, 2024, 39(4): 114-118. doi: 10.3866/PKU.DXHX202309033
Jiayu Gu , Siqi Wang , Jun Ling . Kinetics of Living Copolymerization: A Brief Discussion. University Chemistry, 2025, 40(4): 100-107. doi: 10.12461/PKU.DXHX202406012
Zhiyang Li , Hui Deng , Xinqi Cai , Zhuo Chen . Magnetic Core/Shell-Capsules Locally Neutralize Gastric Acid for Efficient Delivery of Active Probiotics. Acta Physico-Chimica Sinica, 2024, 40(7): 2306051-0. doi: 10.3866/PKU.WHXB202306051
Ruiqin Feng , Ye Fan , Yun Fang , Yongmei Xia . Strategy for Regulating Surface Protrusion of Gold Nanoflowers and Their Surface-Enhanced Raman Scattering. Acta Physico-Chimica Sinica, 2024, 40(4): 2304020-0. doi: 10.3866/PKU.WHXB202304020
Congqi Zhu , Bo Liu , Ruchun Li . Dual active sites enhancing alkaline H2-production performance. Acta Physico-Chimica Sinica, 2025, 41(11): 100146-0. doi: 10.1016/j.actphy.2025.100146
Zhanggui DUAN , Yi PEI , Shanshan ZHENG , Zhaoyang WANG , Yongguang WANG , Junjie WANG , Yang HU , Chunxin LÜ , Wei ZHONG . Preparation of UiO-66-NH2 supported copper catalyst and its catalytic activity on alcohol oxidation. Chinese Journal of Inorganic Chemistry, 2024, 40(3): 496-506. doi: 10.11862/CJIC.20230317
