Citation: LIU Bin, DONG Heng, SUN Ji-Hong. Effect of the additives PVP and MTS on structural properties and synthesis mechanism of Beta zeolite[J]. Journal of Fuel Chemistry and Technology, ;2017, 45(4): 468-474. shu

Effect of the additives PVP and MTS on structural properties and synthesis mechanism of Beta zeolite

  • Corresponding author: SUN Ji-Hong, jhsun@bjut.edu.cn
  • Received Date: 24 February 2017
    Revised Date: 7 March 2017

    Fund Project: the National Natural Science Foundation of China 21576005the National Natural Science Foundation of China 21276005the Beijing Municipal Natural Science Foundation 2152005

Figures(9)

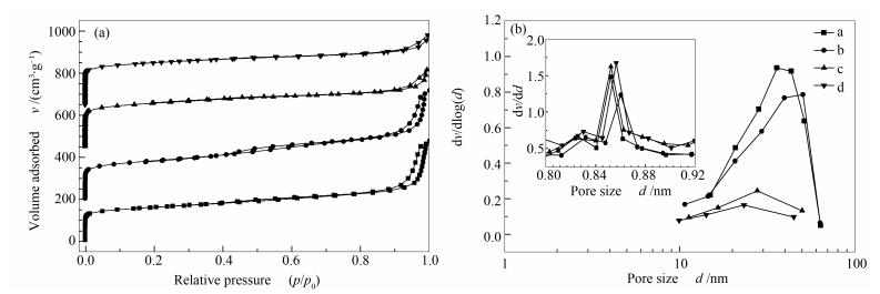
  • Beta zeolites were successfully synthesized via hydrothermal method using sodium aluminate as aluminium source, silica sol (Ludox) as silicon source and TEAOH as template, respectively. The effects of different additives polyvinyl pyrrolidone (PVP) and Methyltriethoxysilane (MTS) on their structural properties and synthesis mechanism were investigated in detail by various characterizations, such as XRD, TEM, BET, ICP, 29Si-NMR and NH3-TPD method. Also, their catalytic performances were evaluated through catalytic cracking of cumene. The results showed that the beta zeolite obtained in the PVP-added system presented a better crystallinity, higher Si/Al molar ratio (25.68), and larger surface area (772 m2/g). Comparably, the MTS-effected samples revealed a larger surface area (657 m2/g), higher Si/Al molar ratio (25.76), but lower crystallinity and smaller particle sizes (around 160-320 nm). Moreover, both of them exhibited a good catalytic activity for cumene cracking due to the existences of abundant and strong acid content.
  • 加载中
    1. [1]

      WADLINGER R L, KERR G T, ROSINSKI E J. Catalytic composition of a crystalline zeolite:US, 3308069[P]. 1967-03-07.

    2. [2]

      BELLUSSI G, PAZZUCONI G, PEREGO C, GIROTTI G, TERZONI G. Liquid-phase alkylation of benzene with light olefinscatalyzed by β-Zeolites[J]. J Catal, 1995,157(1):227-234. doi: 10.1006/jcat.1995.1283

    3. [3]

      ARRIBAS M A, MARTINEZ A. Simultaneous isomerization of n-heptane and saturation of benzene over Pt/Beta catalysts:The influence of zeolite crystal size on product selectivity and sulfur resistance[J]. Catal Today, 2001,65(2/4):117-122.

    4. [4]

      DING L, ZHENG Y, HONG Y, RING Z. Effect of particle size on the hydrothermal stability of zeolite Beta[J]. Microporous Mesoporous Mater, 2007,101(3):432-439. doi: 10.1016/j.micromeso.2006.12.008

    5. [5]

      SERRANO D P, AGUADO J, ESCOLA J M, RODRIGUEZ J M, PERAL A. Hierarchical zeolites with enhanced textural and catalytic properties synthesized from organofunctionalized seeds[J]. Chem Mater, 2006,18(10):2462-2464. doi: 10.1021/cm060080r

    6. [6]

      AGUADO J, SERRANO D P, RODRIGUEZ J M. Zeolite Beta with hierarchical porosity prepared from arganofuctionalized seed[J]. Microporous Mesoporous Mater, 2008,115(3):504-513. doi: 10.1016/j.micromeso.2008.02.026

    7. [7]

      WANG Run-wei, LIN Sen, MENG Xiang-ju, LI Bin-song, JIANG Da-zhen, XIAO Feng-shou, QIU Shi-lun. Influence of catalysts particle size on alkylation of isobutane with butene over Hβ zeolites[J]. Chem J Chin Univ, 2003,24(2):205-207.  

    8. [8]

      MOLLER K, YILMAZ B, JACUBINAS R M, MULLER U, BEIN T. One-step synthesis of hierarchical zeolite beta via network formation of uniform nanocrystals[J]. J Am Chem Soc, 2011,133(14):5284-5295. doi: 10.1021/ja108698s

    9. [9]

      DING L, ZHENG Y, ZHANG Z, RING Z, CHEN J. Effect of agitation on the synthesis of zeolite beta and its synthesis mechanism in absence of alkali cations[J]. Microporous Mesoporous Mater, 2006,94(1/3):1-8.

    10. [10]

      SHAN Zhi-chao, LIU Si-yu, LI Cai-jin, ZHU Long-feng, MENG Xiang-ju, XIAO Feng-shou. High-temperature synthesis of zeolite Y[J]. Acta Phys Chim Sin, 2011,27(4):959-964.  

    11. [11]

      VUONG G T, DO T O. A new route for the synthesis of uniform nanozeolites with hydrophobic external surface in organic solvent medium[J]. J Am Chem Soc, 2007,129(13):3810-3811. doi: 10.1021/ja069058p

    12. [12]

      VAN BOKHOVEN J A, AM V D E, KONINGSBERGER D C. Three-coordinate aluminum in zeolites observed with in situ X-Ray absorption near-edge spectroscopy at the Al K-edge:Flexibility of aluminum coordinations in zeolites[J]. J Am Chem Soc, 2003,125(24):7435-7442. doi: 10.1021/ja0292905

    13. [13]

      XU Ru-ren, PANG Wen-qin, YU Ji-hong, HUO Qi-sheng, CHEN Jie-sheng. Chemistry-Zeolites and Porous Materials[M]. Beijing:Science Press, 2004:74-76.

    14. [14]

      YARIPOUR F, SHARIATINIA Z, SAHEBDELFAR S, LRANDOUKHT A. Effect of boron incorporation on the structure, products selectivities and lifetime of H-ZSM-5 nanocatalyst designed for application in methanol-to-olefins (MTO) reaction[J]. Microporous Mesoporous Mater, 2015,203:41-53. doi: 10.1016/j.micromeso.2014.10.024

    15. [15]

      ZHU Jin-hong, LIU Jing, ZHAO Wen-jiang, WANG Xiang-sheng, LIU Xiu-mei, BAO Xin-he. Synthesis and characterization of Al-MSU-S mesoporous and meso-microporous molecular sieves and their catalytic performance[J]. Chin J catal, 2004,25(9):741-747.  

    16. [16]

      KUMARAN G M, GARG S, SONI K, KUMAR M, GUPTA J K, SHARMA L D, RAMA RAO K S, MURALI DHAR G. Synthesis and characterization of acidic properties of Al-SBA-15 materials with varing Si/Al ratios[J]. Microporous Mesoporous Mater, 2008,114(1/3):103-109.  

  • 加载中
    1. [1]

      Han ZHANGJianfeng SUNJinsheng LIANG . Hydrothermal synthesis and luminescent properties of broadband near-infrared Na3CrF6 phosphor. Chinese Journal of Inorganic Chemistry, 2025, 41(2): 349-356. doi: 10.11862/CJIC.20240098

    2. [2]

      Ying XuChengying ShenHailong YuanWei Wu . Mapping multiple phases in curcumin binary solid dispersions by fluorescence contrasting. Chinese Chemical Letters, 2024, 35(9): 109324-. doi: 10.1016/j.cclet.2023.109324

    3. [3]

      Ping LIGeng TANXin HUANGFuxing SUNJiangtao JIAGuangshan ZHUJia LIUJiyang LI . Green synthesis of metal-organic frameworks with open metal sites for efficient ammonia capture. Chinese Journal of Inorganic Chemistry, 2025, 41(10): 2063-2068. doi: 10.11862/CJIC.20250020

    4. [4]

      Yi RUTao MENGZhaoteng XUEDongsen MAO . Synergistic catalysis of Al distribution and pore structure in ZSM-5 zeolite for bioethanol-to-propylene. Chinese Journal of Inorganic Chemistry, 2026, 42(2): 247-262. doi: 10.11862/CJIC.20250255

    5. [5]

      Yufang GAONan HOUYaning LIANGNing LIYanting ZHANGZelong LIXiaofeng LI . Nano-thin layer MCM-22 zeolite: Synthesis and catalytic properties of trimethylbenzene isomerization reaction. Chinese Journal of Inorganic Chemistry, 2024, 40(6): 1079-1087. doi: 10.11862/CJIC.20240036

    6. [6]

      Pei LiYuenan ZhengZhankai LiuAn-Hui Lu . Boron-Containing MFI Zeolite: Microstructure Control and Its Performance of Propane Oxidative Dehydrogenation. Acta Physico-Chimica Sinica, 2025, 41(4): 100034-0. doi: 10.3866/PKU.WHXB202406012

    7. [7]

      Yuhao SUNQingzhe DONGLei ZHAOXiaodan JIANGHailing GUOXianglong MENGYongmei GUO . Synthesis and antibacterial properties of silver-loaded sod-based zeolite. Chinese Journal of Inorganic Chemistry, 2024, 40(4): 761-770. doi: 10.11862/CJIC.20230169

    8. [8]

      Qinhui GuanYuhao GuoNa LiJing LiTingjiang Yan . Molecular sieve-mediated indium oxide catalysts for enhancing photocatalytic CO2 hydrogenation. Acta Physico-Chimica Sinica, 2025, 41(11): 100133-0. doi: 10.1016/j.actphy.2025.100133

    9. [9]

      Min Hu Yinghuan Li Yanhong Bai Yanping Ren Juanjuan Song Yongxian Fan Dongcheng Liu Xiuqiong Zeng Faqiong Zhao Wenwei Zhang Mei Shi Wan Li Xiuyun Wang Weihong Li Xiaohang Qiu Yong Fan Jianrong Zhang Shuyong Zhang . Suggestions on the Method of Hydrothermal-Solventthermal Synthesis and Their Operation Standards. University Chemistry, 2026, 41(3): 208-215. doi: 10.12461/PKU.DXHX202507034

    10. [10]

      Liping GUO . Synthesis and crystal structure characterization of yttrium imido complex: The reactivity of 2-substituted-1-amino-o-carborane with yttrium dialkyl complex. Chinese Journal of Inorganic Chemistry, 2025, 41(7): 1409-1415. doi: 10.11862/CJIC.20250065

    11. [11]

      Zhengzheng LIUPengyun ZHANGChengri WANGShengli HUANGGuoyu YANG . Synthesis, structure, and electrochemical properties of a sandwich-type {Co6}-cluster-added germanotungstate. Chinese Journal of Inorganic Chemistry, 2024, 40(6): 1173-1179. doi: 10.11862/CJIC.20240039

    12. [12]

      Juan CHENGuoyu YANG . A porous-layered aluminoborate built by mixed oxoboron clusters and AlO4 tetrahedra. Chinese Journal of Inorganic Chemistry, 2025, 41(1): 193-200. doi: 10.11862/CJIC.20240341

    13. [13]

      Yaping Li Sai An Aiqing Cao Shilong Li Ming Lei . The Application of Molecular Simulation Software in Structural Chemistry Education: First-Principles Calculation of NiFe Layered Double Hydroxide. University Chemistry, 2025, 40(3): 160-170. doi: 10.12461/PKU.DXHX202405185

    14. [14]

      Jiali CHENGuoxiang ZHAOYayu YANWanting XIAQiaohong LIJian ZHANG . Machine learning exploring the adsorption of electronic gases on zeolite molecular sieves. Chinese Journal of Inorganic Chemistry, 2025, 41(1): 155-164. doi: 10.11862/CJIC.20240408

    15. [15]

      Yiping HUANGLiqin TANGYufan JICheng CHENShuangtao LIJingjing HUANGXuechao GAOXuehong GU . Hollow fiber NaA zeolite membrane for deep dehydration of ethanol solvent by vapor permeation. Chinese Journal of Inorganic Chemistry, 2025, 41(2): 225-234. doi: 10.11862/CJIC.20240224

    16. [16]

      Shilong LiMing ZhaoYefei XuZhanyi LiuMian LiQing HuangXiang Wu . Performance optimization of aqueous Zn/MnO2 batteries through the synergistic effect of PVP intercalation and GO coating. Chinese Chemical Letters, 2025, 36(3): 110701-. doi: 10.1016/j.cclet.2024.110701

    17. [17]

      Jiapei Zou Junyang Zhang Xuming Wu Cong Wei Simin Fang Yuxi Wang . A Comprehensive Experiment Based on Electrocatalytic Nitrate Reduction into Ammonia: Synthesis, Characterization, Performance Exploration, and Applicable Design of Copper-based Catalysts. University Chemistry, 2024, 39(6): 373-382. doi: 10.3866/PKU.DXHX202312081

    18. [18]

      Pan Li Huguo Shen Cong Hua Jinjie Fang Xiangying Chi Quan Jiang Zichen Feng Ye Kang Bin Zheng . Synthesis and Characterization of an Aggregation-Induced Emission-Active Organic Cage Molecule: A Proposed Comprehensive Chemistry Experiment. University Chemistry, 2025, 40(11): 337-345. doi: 10.12461/PKU.DXHX202502083

    19. [19]

      Shanghua LiMalin LiXiwen ChiXin YinZhaodi LuoJihong Yu . High-Stable Aqueous Zinc Metal Anodes Enabled by an Oriented ZnQ Zeolite Protective Layer with Facile Ion Migration Kinetics. Acta Physico-Chimica Sinica, 2025, 41(1): 100003-0. doi: 10.3866/PKU.WHXB202309003

    20. [20]

      Linjie ZHUXufeng LIU . Synthesis, characterization and electrocatalytic hydrogen evolution of two di-iron complexes containing a phosphine ligand with a pendant amine. Chinese Journal of Inorganic Chemistry, 2025, 41(5): 939-947. doi: 10.11862/CJIC.20240416

Metrics
  • PDF Downloads(1)
  • Abstract views(2774)
  • HTML views(877)

通讯作者: 陈斌, bchen63@163.com
  • 1. 

    沈阳化工大学材料科学与工程学院 沈阳 110142

  1. 本站搜索
  2. 百度学术搜索
  3. 万方数据库搜索
  4. CNKI搜索
Address:Zhongguancun North First Street 2,100190 Beijing, PR China Tel: +86-010-82449177-888
Powered By info@rhhz.net

/

DownLoad:  Full-Size Img  PowerPoint
Return