Citation: LI Hong-guang, ZHANG Guo-quan, WANG Yi, ZHANG Sheng-jun. Transesterification of ethylene carbonate with methanol over Zn-La mixed oxide catalysts[J]. Journal of Fuel Chemistry and Technology, ;2018, 46(8): 977-984. shu

Transesterification of ethylene carbonate with methanol over Zn-La mixed oxide catalysts

  • Corresponding author: ZHANG Guo-quan, topzgq@hotmail.com
  • Received Date: 8 May 2018
    Revised Date: 6 July 2018

    Fund Project: The project was supported by the Science and Technology Research and Development Program of Shaanxi Province, China (2015GY085)the Science and Technology Research and Development Program of Shaanxi Province, China 2015GY085

Figures(6)

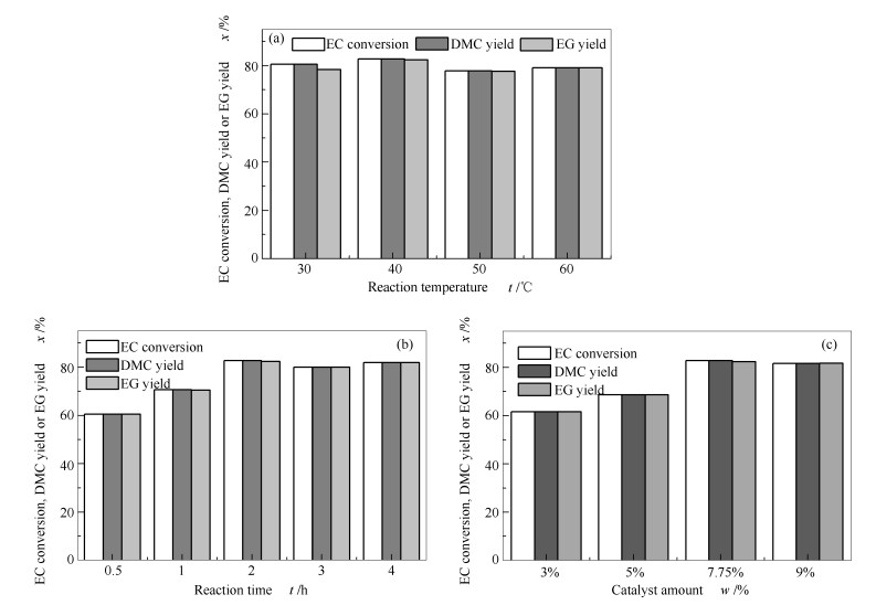
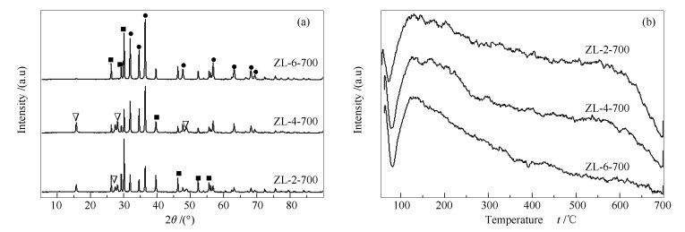
  • The transesterification of ethylene carbonate (EC) with methanol to synthesis dimethyl carbonate (DMC) and ethylene glycol (EG) over ZnO, La2O3 and Zn-La mixed oxides were explored. The catalysts were prepared by co-precipitation method and characterized by BET, XRD, TG-DSC, CO2-TPD and Hammett titration. The influence of Zn/La atomic ratio, calcination temperature and reaction parameters (reaction temperature, reaction time, catalyst amount) on the catalytic activity were investigated. The results indicated that the binary Zn-La mixed oxide with Zn/La atomic ratio of 2:1 calcined at 500℃ showed the highest catalytic performance for the title reaction due to its strongest basicity, and the amount of strong basic sites of the catalyst should be responsible for the high transesterification activity.
  • 加载中
    1. [1]

      XU W, JI S, QUAN W, YU J. One-pot synthesis of dimethyl carbonate over basic zeolite catalysts[J]. Mod Res Catal, 2013,2:22-27. doi: 10.4236/mrc.2013.22A004

    2. [2]

      TAN H Z, WANG Z Q, XU Z N SUN J, XU Y P, CHEN Q S, CHEN Y M, GUO G C. Review on the synthesis of dimethyl carbonate[J]. Catal Today, 2018, https://doi.org/10.1016/j.cattod.2018.02.021.

    3. [3]

      WU X, KANG M, YIN Y, WANG F, ZHAO N, XIAO F, WEI W, SUN Y. Synthesis of dimethyl carbonate by urea alcoholysis over Zn/Al bi-functional catalysts[J]. Appl Catal A:Gen, 2014,473:13-20. doi: 10.1016/j.apcata.2013.12.034

    4. [4]

      FILIPPIS P D, SCARSELLA M, BORGIANNI C, POCHETTI F. Production of dimethyl carbonate via alkylene carbonate transesterification catalyzed by basic salts[J]. Energy Fuels, 2006,20(1):17-20. doi: 10.1021/ef050142k

    5. [5]

      ETA V, MÄKI-ARVELA P, SALMINEN E, SALMI T, MURZIN D Y, MIKKOLA J P. The effect of alkoxide ionic liquids on the synthesis of dimethyl carbonate from CO2 and methanol over ZrO2-MgO[J]. Catal Lett, 2011,141:1254-1261. doi: 10.1007/s10562-011-0666-3

    6. [6]

      REN M, REN J, HAO P, YANG J, WANG D, PEI Y, LIN J, LI Z. Influence of microwave irradiation on the structural properties of carbon-supported hollow copper nanoparticles and their effect on the synthesis of dimethyl carbonate[J]. ChemCatChem, 2016,8(4):861-871. doi: 10.1002/cctc.v8.4

    7. [7]

      SAADA R, ABOELAZAYEM O, KELLICI S, HEIL T, MORGAN D, LAMPRONTI G I, SAHA B. Greener synthesis of dimethyl carbonate using a novel tin-zirconia/graphene nanocomposite catalyst[J]. Appl Catal B:Environ, 2018,226:451-462. doi: 10.1016/j.apcatb.2017.12.081

    8. [8]

      SANKAR M, SATAV S, MANIKANDAN P. Transesterification of cyclic carbonates to dimethyl carbonate using solid oxide catalyst at ambient conditions:Environmentally benign synthesis[J]. ChemSusChem, 2010,3(5):575-578. doi: 10.1002/cssc.v3:5

    9. [9]

      TAMBOLI A H, CHAUGULE A A, KIM H. Catalytic developments in the direct dimethyl carbonate synthesis from carbon dioxide and methanol[J]. Chem Eng J, 2017,323:530-544. doi: 10.1016/j.cej.2017.04.112

    10. [10]

      JAGTAP S R, BHOR M D, BHANAGE B M. Synthesis of dimethyl carbonate via transesterification of ethylene carbonate with methanol using poly-4-vinyl pyridine as a novel base catalyst[J]. Catal Commun, 2008,9(9):1928-1931. doi: 10.1016/j.catcom.2008.03.029

    11. [11]

      ABIMANYU H, KIM C S, AHN B S, YOO K S. Synthesis of dimethyl carbonate by transesterification with various MgO-CeO2 mixed oxide catalysts[J]. Catal Lett, 2007,118(1/2):30-35.  

    12. [12]

      KUMAR P, SRIVASTAVA V C, MISHRA I M. Dimethyl carbonate synthesis from propylene carbonate with methanol using Cu-Zn-Al catalyst[J]. Energy Fuels, 2015,29(4):2664-2675. doi: 10.1021/ef502856z

    13. [13]

      KUMAR P, SRIVASTAVA V C, MISHRA I M. Synthesis and characterization of Ce-La oxides for the formation of dimethyl carbonate by transesterification of propylene carbonate[J]. Catal Commun, 2015,60:27-31. doi: 10.1016/j.catcom.2014.11.006

    14. [14]

      LEE K H, LEE S, SHIN D, HAHM H S. Dimethyl carbonate synthesis via transesterification of ethylene carbonate and methanol using ionic liquid catalysts immobilized on mesoporous cellular foams[J]. Res Chem Intermed, 2016,42(1):109-121. doi: 10.1007/s11164-015-2396-4

    15. [15]

      DU G F, GUO H, WANG Y, LI W J, SHI W J, DAI B. N-heterocyclic carbene catalyzed synthesis of dimethyl carbonate via transesterification of ethylene carbonate with methanol[J]. J Saudi Chem Soc, 2015,19(1):112-115. doi: 10.1016/j.jscs.2014.03.003

    16. [16]

      LIAO Y H, LI F, DAI X, ZHAO N, XIAO F. Solid base catalysts derived from Ca-M-Al (M=Mg, La, Ce, Y) layered double hydroxides for dimethyl carbonate synthesis by transesterification of methanol with propylene carbonate[J]. Chin J Catal, 2017,38(11):1860-1869. doi: 10.1016/S1872-2067(17)62898-5

    17. [17]

      UNNIKRISHNAN P, SRINIVAS D. Calcined, rare earth modified hydrotalcite as a solid, reusable catalyst for dimethyl carbonate synthesis[J]. Ind Eng Chem Res, 2012,51(18):6356-6363. doi: 10.1021/ie300678p

    18. [18]

      WANG H, WANG M, ZHAO N, WEI W, SUN Y. CaO-ZrO2 Solid solution:A highly stable catalyst for the synthesis of dimethyl carbonate from propylene carbonate and methanol[J]. Catal Lett, 2005,105(3/4):253-257.  

    19. [19]

      WANG J, HAN L, WANG S, ZHANG J, YANG Y. Magnesium aluminum spinel as an acid-base catalyst for transesterification of diethyl carbonate with dimethyl carbonate[J]. Catal Lett, 2014,144(9):1602-1608. doi: 10.1007/s10562-014-1293-6

    20. [20]

      WANG L, WANG Y, LIU S, LU L, MA X, DENG Y. Efficient synthesis of dimethyl carbonate via transesterification of ethylene carbonate with methanol over binary zinc-yttrium oxides[J]. Catal Commun, 2011,16(1):45-49.  

    21. [21]

      XU J, LONG K Z, WU F, XUE B, LI Y X, CAO Y. Efficient synthesis of dimethyl carbonate via transesterification of ethylene carbonate over a new mesoporous ceria catalyst[J]. Appl Catal A:Gen, 2014,484:1-7. doi: 10.1016/j.apcata.2014.07.009

    22. [22]

      WU X, KANG M, ZHAO N, WEI W, SUN Y. Dimethyl carbonate synthesis over ZnO-CaO bi-functional catalysts[J]. Catal Commun, 2014,46:46-50. doi: 10.1016/j.catcom.2013.10.040

    23. [23]

      LI H, GAO D, GAO P, WANG F, ZHAO N, XIAO F, WEI W, SUN Y. The synthesis of glycerol carbonate from glycerol and CO2 over La2O2CO3-ZnO catalysts[J]. Catal Sci Technol, 2013,3:2801-2809. doi: 10.1039/c3cy00335c

    24. [24]

      WANG D, ZHANG X, MA J, YU H, SHEN J, WEI W. La-modified mesoporous Mg-Al mixed oxides:Effective and stable base catalysts for the synthesis of dimethyl carbonate from methyl carbamate and methanol[J]. Catal Sci Technol, 2016,6:1530-1545. doi: 10.1039/C5CY01712B

    25. [25]

      SINGH D, REDDY B, GANESH A, MAHAJANI S. Zinc/lanthanum mixed-oxide catalyst for the synthesis of glycerol carbonate by transesterification of glycerol[J]. Ind Eng Chem Res, 2014,53(49):18786-18795. doi: 10.1021/ie5011564

    26. [26]

      YAN S, KIM M, SALLEY S O, NG K Y S. Oil transesterification over calcium oxides modified with lanthanum[J]. Appl Catal A:Gen, 2009,360(2):163-170. doi: 10.1016/j.apcata.2009.03.015

    27. [27]

      WANG H, WANG M, ZHANG W, ZHAO N, WEI W, SUN Y. Synthesis of dimethyl carbonate from propylene carbonate and methanol using CaO-ZrO2 solid solutions as highly stable catalysts[J]. Catal Today, 2006,115(1/4):107-110.  

    28. [28]

      MURUGAN C, BAJAJ H C, JASRA R V. Transesterification of propylene carbonate by methanol using KF/Al2O3 as an efficient base catalyst[J]. Catal Lett, 2010,137(3/4):224-231.  

    29. [29]

      MALYAADRI M, JAGADEESWARAIAH K, PRASAD P S S, LINGAIAH N. Synthesis of glycerol carbonate by transesterification of glycerol with dimethyl carbonate over Mg/Al/Zr catalysts[J]. Appl Catal A:Gen, 2011,401(1/2):153-157.  

    30. [30]

      JIN L, ZHANG Y, DOMBROWSKI J P, CHEN C H, PRAVATAS A, XU L, PERKINS C, SUIB S L. ZnO/La2O2CO3 layered composite:A new heterogeneous catalyst for the efficient ultra-fast microwave biofuel production[J]. Appl Catal B:Environ, 2011,103(1/2):200-205.

    31. [31]

      PARK C, NGUYEN-PHU H, SHIN E W. Glycerol carbonation with CO2 and La2O2CO3/ZnO catalysts prepared by two different methods:Preferred reaction route depending on crystalline structure[J]. Mol Catal, 2017,435:99-109. doi: 10.1016/j.mcat.2017.03.025

    32. [32]

      JOE W, LEE H J, HONG U G, AHN Y S, SONG C J, KWON B J, SONG I K. Urea methanolysis to dimethyl carbonate over ZnO-CeO2-MO (MO:La2O3, Y2O3, Co2O3, Ga2O3, and ZrO2) catalysts[J]. J Ind Eng Chem, 2012,18(5)1730. doi: 10.1016/j.jiec.2012.03.017

  • 加载中
    1. [1]

      Xinyu LiuJialin YangZonglin HeJiaoyan AiLina SongBaohua Liu . Linear polyurethanes with excellent comprehensive properties from poly(ethylene carbonate) diol. Chinese Chemical Letters, 2025, 36(1): 110236-. doi: 10.1016/j.cclet.2024.110236

    2. [2]

      Xiaoxiao HuangZhi-Long HeYangpeng ChenLei LiZhenyu YangChunyang ZhaiMingshan Zhu . Novel P-doping-tuned Pd nanoflowers/S,N-GQDs photo-electrocatalyst for high-efficient ethylene glycol oxidation. Chinese Chemical Letters, 2024, 35(6): 109271-. doi: 10.1016/j.cclet.2023.109271

    3. [3]

      Mengjin Li Tian Xia Mengyu Wang Yujie Peng Sihan Zhang Xueliang Jiang Huan Yang . Biocarbon-Confined Bimetallic FeCo Metal-Organic Framework Orthogonal Nanosheet Arrays for Industry-level Ethylene Glycol Oxidation. Chinese Journal of Structural Chemistry, 2025, 44(8): 100627-100627. doi: 10.1016/j.cjsc.2025.100627

    4. [4]

      Jingfeng YueZhenxin TangYuxing ZhangZhongbao Jian . Oligomeric α-diimine nickel catalysts for enhanced ethylene polymerization. Chinese Chemical Letters, 2026, 37(1): 111930-. doi: 10.1016/j.cclet.2025.111930

    5. [5]

      Jiang GongFengling ZhengHanqing ZhangWeihan ShuHao WangNi ZhangPengbing HuangChuancai ZhangBin Dai . The interfacial effect of SiO2-Ni3Mo3N efficiently catalyzes the low-temperature hydrogenation of dimethyl oxalate to ethanol. Chinese Chemical Letters, 2025, 36(8): 111122-. doi: 10.1016/j.cclet.2025.111122

    6. [6]

      Hailong HeWenbing WangWenmin PangChen ZouDan Peng . Double stimulus-responsive palladium catalysts for ethylene polymerization and copolymerization. Chinese Chemical Letters, 2024, 35(7): 109534-. doi: 10.1016/j.cclet.2024.109534

    7. [7]

      Lei ZhangChenyang KouKun NiYiwen ChenTongchuan ZhangBaoliang Zhang . Microenvironment regulation of copper sites by chelating hydrophobic polymer for electrosynthesis of ethylene. Chinese Chemical Letters, 2025, 36(6): 110836-. doi: 10.1016/j.cclet.2025.110836

    8. [8]

      Junying LIXinyan CHENXihui DIAOMuhammad YaseenChao CHENHao WANGChuansong QIWei LI . Chiral fluorescent sensor Tb3+@Cd-CP based on camphoric acid for the enantioselective recognition of R- and S-propylene glycol. Chinese Journal of Inorganic Chemistry, 2024, 40(12): 2497-2504. doi: 10.11862/CJIC.20240084

    9. [9]

      Xinyu You Xin Zhang Shican Jiang Yiru Ye Lin Gu Hexun Zhou Pandong Ma Jamal Ftouni Abhishek Dutta Chowdhury . Efficacy of Ca/ZSM-5 zeolites derived from precipitated calcium carbonate in the methanol-to-olefin process. Chinese Journal of Structural Chemistry, 2024, 43(4): 100265-100265. doi: 10.1016/j.cjsc.2024.100265

    10. [10]

      Guihuang FangWei ChenHongwei YangHaisheng FangChuang YuMaoxiang Wu . Improved performance of LiMn0.8Fe0.2PO4 by addition of fluoroethylene carbonate electrolyte additive. Chinese Chemical Letters, 2024, 35(6): 108799-. doi: 10.1016/j.cclet.2023.108799

    11. [11]

      Xiuxiu JiaTao YinNianpeng LiHua ZhangAnxian ShiAbdukader AbdukayumSanshuang GaoGuangzhi Hu . Reticulated lanthanum (La) carbonate-carbon composite for efficient phosphorus removal from eutrophic wastewater. Chinese Chemical Letters, 2025, 36(6): 110398-. doi: 10.1016/j.cclet.2024.110398

    12. [12]

      Qiuxia TanE PangQin WangYuanyu TangPan ZhuShaojing ZhaoJianing YiShiguang JinMinhuan Lan . Manganese carbonate-based nanoplatform for starvation therapy cascaded chemodynamic therapy, enhanced phototherapy and immune activation. Chinese Chemical Letters, 2025, 36(10): 110770-. doi: 10.1016/j.cclet.2024.110770

    13. [13]

      Zhenjie YangChenyang HuXuan PangXuesi Chen . Sequence design in terpolymerization of ε-caprolactone, CO2 and cyclohexane oxide: Random ester-carbonate distributions lead to large-span tunability. Chinese Chemical Letters, 2024, 35(5): 109340-. doi: 10.1016/j.cclet.2023.109340

    14. [14]

      Junying ZhangRuochen LiHaihua WangWenbing KangXing-Dong Xu . Photo-induced tunable luminescence from an aggregated amphiphilic ethylene-pyrene derivative in aqueous media. Chinese Chemical Letters, 2024, 35(6): 109216-. doi: 10.1016/j.cclet.2023.109216

    15. [15]

      Jiahao LiGuinan ChenChunhong ChenYuanyuan LouZhihao XingTao ZhangChengtao GongYongwu Peng . Modulated synthesis of stoichiometric and sub-stoichiometric two-dimensional covalent organic frameworks for enhanced ethylene purification. Chinese Chemical Letters, 2025, 36(1): 109760-. doi: 10.1016/j.cclet.2024.109760

    16. [16]

      Yao-Yu MaWen-Juan ShiGang-Ding WangXin LiuLei HouYao-Yu Wang . Enhancing ethane/ethylene separation performance through the amino-functionalization of ethane-selective MOF. Chinese Chemical Letters, 2025, 36(3): 109729-. doi: 10.1016/j.cclet.2024.109729

    17. [17]

      Jun LuoYanya LiuJianghuaxiong ZhuChengxiong WangYunkun ZhaoDong YanJian LiLichao Jia . A proton-conducting solid oxide fuel cell for co-production of ethylene and power via ethane conversion. Chinese Chemical Letters, 2025, 36(7): 110171-. doi: 10.1016/j.cclet.2024.110171

    18. [18]

      Jundi Qin Dezhong Hu Dong Xiang Xiongwu Kang . CuMoRuFeW high entropy alloy surfaced nanorods: Superior electrochemical CO2 reduction to ethylene. Chinese Journal of Structural Chemistry, 2025, 44(5): 100571-100571. doi: 10.1016/j.cjsc.2025.100571

    19. [19]

      Heng GaoZhaocong ChengGuangshui TuZonglin QiuXieyi XiaoHaotian ZhouHandou ZhengHaiyang Gao . Thermally robust bis(imino)pyridyl iron catalysts for ethylene polymerization: Synergy effects of weak π-π interaction, steric bulk, and electronic tuning. Chinese Chemical Letters, 2025, 36(5): 110762-. doi: 10.1016/j.cclet.2024.110762

    20. [20]

      Kunyao PengXianbin WangXingbin Yan . Converting LiNO3 additive to single nitrogenous component Li2N2O2 SEI layer on Li metal anode in carbonate-based electrolyte. Chinese Chemical Letters, 2024, 35(9): 109274-. doi: 10.1016/j.cclet.2023.109274

Metrics
  • PDF Downloads(17)
  • Abstract views(1323)
  • HTML views(68)

通讯作者: 陈斌, bchen63@163.com
  • 1. 

    沈阳化工大学材料科学与工程学院 沈阳 110142

  1. 本站搜索
  2. 百度学术搜索
  3. 万方数据库搜索
  4. CNKI搜索
Address:Zhongguancun North First Street 2,100190 Beijing, PR China Tel: +86-010-82449177-888
Powered By info@rhhz.net

/

DownLoad:  Full-Size Img  PowerPoint
Return