Citation:
Wang Yuting. Study on Preparation of WO3-x/C Nanocomposite by PECVD Method and Their Lithium-Ion Storage Properties[J]. Chemistry,
;2020, 83(6): 557-563, 575.
-
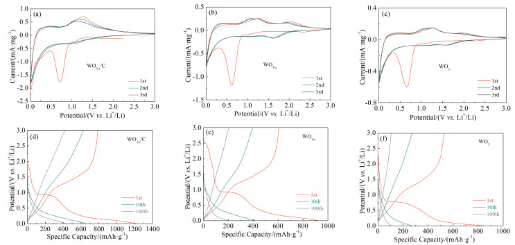
By virtue of the high theoretical capacity (~700 mAh·g-1) in lithium-ion battery and the comparatively low cost, tungsten trioxide (WO3) has attracted great interest of researchers. However, it still suffers from its low conductivity and the severe volume variation during the discharge/charge processes, which lead to the inferior rate performance and cycling performance. To enhance its conductivity and mitigate the adverse effects caused by the volume variation, a plasma-enhanced chemical vapor deposition (PECVD) method was successfully used to coat nitrogen-doped amorphous carbon on defective WO3-x nanosheets. N-doped amorphous carbon coating can effectively alleviate the unsatisfactory volume variation effects, and provide more sites for lithium-ions to insert and extract. The electrochemical evaluations demonstrated that the prepared WO3-x/C electrode exhibits superior rate and cycle performance than that of WO3-x electrode and commercial WO3 electrode. Dynamic simulation and analysis suggested that the WO3-x/C electrode has smaller charge transfer resistance and the faster lithium-ion diffusion coefficient, thereby effectively improving its electrochemical performance.
-
-
- [1]
-
[2]
-
[3]
-
[4]
Yoon S, Jo C, Noh S Y, et al. Phys. Chem. Chem. Phys., 2011, 13(23): 11060~11066.
-
[5]
Park S K, Lee H J, Lee M H, et al. Chem. Eng. J., 2015, 281: 724~729.
-
[6]
Wang F, Valentin C D, Pacchioni G. Phys. Rev. B, 2011, 84(7): 073103.
-
[7]
Lee S, Lee Y W, Kwak D H, et al. Ceram. Int., 2015, 41(3): 4989~4995.
-
[8]
Jo C, Hwang I, Lee J, et al. J. Phys. Chem. C, 2011, 115(23): 11880~11886.
-
[9]
Bao K, Mao W, Liu G, et al. Nano Res., 2017, 10(6): 1903~1911.
-
[10]
Liu F, Kim J G, Lee C W, et al. Appl. Surf. Sci., 2014, 316: 604~609.
- [11]
-
[12]
Li Y, Chang K, Tang H, et al. Electrochim. Acta, 2019, 298: 640~649.
-
[13]
Kang E, An S, Yoon S, et al. J. Mater. Chem., 2010, 20(35): 7416~7421.
-
[14]
Gupta A, Ifeacho P, Schulz C, et al. Proceed. Combust. Inst., 2011, 33(2): 1883~1890.
-
[15]
Lu C, Li Z, Xia Z, et al. Nano Res., 2019, 12(12): 3051~3058.
-
[16]
Luo J Y, Xu N S, Zhao F L, et al. J. Appl. Phys., 2011, 109(2): 024312.
-
[17]
Lu Y, Lu Y, Niu Z, et al. Adv. Energy Mater., 2018, 8(17): 1702469.
-
[18]
Chu H, Pan J, Bai S, et al. Electrochim. Acta, 2017, 258: 236~240.
-
[19]
Liu Z, Li P, Dong Y, et al. Appl. Surf. Sci., 2017, 394: 70~77.
- [20]
-
[21]
Zuo X, Chang K, Zhao J, et al. J. Mater. Chem. A, 2016, 4(1): 51~58.
-
[22]
Bard A J, Faulkner L R. Electrochemical methods: fundamentals and applications. New York: Wiley, 1980: 96~99.
-
[23]
Sasidharan M, Gunawardhana N, Yoshio M, et al. Nano Energy, 2012, 1(3): 503~508.
-
[24]
Lian C, Xiao X, Chen Z, et al. Nano Res., 2016, 9(2): 435~441.
-
-
-
[1]
Qi Li , Pingan Li , Zetong Liu , Jiahui Zhang , Hao Zhang , Weilai Yu , Xianluo Hu . Fabricating Micro/Nanostructured Separators and Electrode Materials by Coaxial Electrospinning for Lithium-Ion Batteries: From Fundamentals to Applications. Acta Physico-Chimica Sinica, 2024, 40(10): 2311030-0. doi: 10.3866/PKU.WHXB202311030
-
[2]
Ying Li , Yushen Zhao , Kai Chen , Xu Liu , Tingfeng Yi , Li-Feng Chen . Rational Design of Cross-Linked N-Doped C-Sn Nanofibers as Free-Standing Electrodes towards High-Performance Li-Ion Battery Anodes. Acta Physico-Chimica Sinica, 2024, 40(3): 2305007-0. doi: 10.3866/PKU.WHXB202305007
-
[3]
Qingtang ZHANG , Xiaoyu WU , Zheng WANG , Xiaomei WANG . Performance of nano Li2FeSiO4/C cathode material co-doped by potassium and chlorine ions. Chinese Journal of Inorganic Chemistry, 2024, 40(9): 1689-1696. doi: 10.11862/CJIC.20240115
-
[4]
Liangliang Song , Haoyan Liang , Shunqing Li , Bao Qiu , Zhaoping Liu . Challenges and strategies on high-manganese Li-rich layered oxide cathodes for ultrahigh-energy-density batteries. Acta Physico-Chimica Sinica, 2025, 41(8): 100085-0. doi: 10.1016/j.actphy.2025.100085
-
[5]
Shuang Cao , Bo Zhong , Chuanbiao Bie , Bei Cheng , Feiyan Xu . Insights into Photocatalytic Mechanism of H2 Production Integrated with Organic Transformation over WO3/Zn0.5Cd0.5S S-Scheme Heterojunction. Acta Physico-Chimica Sinica, 2024, 40(5): 2307016-0. doi: 10.3866/PKU.WHXB202307016
-
[6]
Chenyue Huang , Hongfei Zheng , Ning Qin , Canpei Wang , Liguang Wang , Jun Lu . Single-Crystal Nickel-Rich Cathode Materials: Challenges and Strategies. Acta Physico-Chimica Sinica, 2024, 40(9): 2308051-0. doi: 10.3866/PKU.WHXB202308051
-
[7]
Yuanchao LI , Weifeng HUANG , Pengchao LIANG , Zifang ZHAO , Baoyan XING , Dongliang YAN , Li YANG , Songlin WANG . Effect of heterogeneous dual carbon sources on electrochemical properties of LiMn0.8Fe0.2PO4/C composites. Chinese Journal of Inorganic Chemistry, 2024, 40(4): 751-760. doi: 10.11862/CJIC.20230252
-
[8]
Zhihuan XU , Qing KANG , Yuzhen LONG , Qian YUAN , Cidong LIU , Xin LI , Genghuai TANG , Yuqing LIAO . Effect of graphene oxide concentration on the electrochemical properties of reduced graphene oxide/ZnS. Chinese Journal of Inorganic Chemistry, 2024, 40(7): 1329-1336. doi: 10.11862/CJIC.20230447
-
[9]
Xinpeng LIU , Liuyang ZHAO , Hongyi LI , Yatu CHEN , Aimin WU , Aikui LI , Hao HUANG . Ga2O3 coated modification and electrochemical performance of Li1.2Mn0.54Ni0.13Co0.13O2 cathode material. Chinese Journal of Inorganic Chemistry, 2024, 40(6): 1105-1113. doi: 10.11862/CJIC.20230488
-
[10]
Yuting ZHANG , Zunyi LIU , Ning LI , Dongqiang ZHANG , Shiling ZHAO , Yu ZHAO . Nickel vanadate anode material with high specific surface area through improved co-precipitation method: Preparation and electrochemical properties. Chinese Journal of Inorganic Chemistry, 2024, 40(11): 2163-2174. doi: 10.11862/CJIC.20240204
-
[11]
Yifeng Xu , Jiquan Liu , Bin Cui , Yan Li , Gang Xie , Ying Yang . “Xiao Li’s School Adventures: The Working Principles and Safety Risks of Lithium-ion Batteries”. University Chemistry, 2024, 39(9): 259-265. doi: 10.12461/PKU.DXHX202404009
-
[12]
Xintong Zhu , Bin Cao , Chong Yan , Cheng Tang , Aibing Chen , Qiang Zhang . Advances in coating strategies for graphite anodes in lithium-ion batteries. Acta Physico-Chimica Sinica, 2025, 41(9): 100096-0. doi: 10.1016/j.actphy.2025.100096
-
[13]
Jingshuo Zhang , Yue Zhai , Ziyun Zhao , Jiaxing He , Wei Wei , Jing Xiao , Shichao Wu , Quan-Hong Yang . Research Progress of Functional Binders in Silicon-Based Anodes for Lithium-Ion Batteries. Acta Physico-Chimica Sinica, 2024, 40(6): 2306006-0. doi: 10.3866/PKU.WHXB202306006
-
[14]
Wen Tang , Luyu Sui , Qian Chen , Jun Shao , Xinwen Peng , Jianwen Jiang , Shuiliang Chen . Project-based Teaching of “the Condensed State of Polymers”: Unveiling the Lithium-Ion Battery Separator. University Chemistry, 2025, 40(11): 115-126. doi: 10.12461/PKU.DXHX202412108
-
[15]
Siyu Zhang , Kunhong Gu , Bing'an Lu , Junwei Han , Jiang Zhou . Hydrometallurgical Processes on Recycling of Spent Lithium-lon Battery Cathode: Advances and Applications in Sustainable Technologies. Acta Physico-Chimica Sinica, 2024, 40(10): 2309028-0. doi: 10.3866/PKU.WHXB202309028
-
[16]
Aoyu Huang , Jun Xu , Yu Huang , Gui Chu , Mao Wang , Lili Wang , Yongqi Sun , Zhen Jiang , Xiaobo Zhu . Tailoring Electrode-Electrolyte Interfaces via a Simple Slurry Additive for Stable High-Voltage Lithium-Ion Batteries. Acta Physico-Chimica Sinica, 2025, 41(4): 100037-0. doi: 10.3866/PKU.WHXB202408007
-
[17]
Xueyu Lin , Ruiqi Wang , Wujie Dong , Fuqiang Huang . Rational Design of Bimetallic Oxide Anodes for Superior Li+ Storage. Acta Physico-Chimica Sinica, 2025, 41(3): 100021-0. doi: 10.3866/PKU.WHXB202311005
-
[18]
Junke LIU , Kungui ZHENG , Wenjing SUN , Gaoyang BAI , Guodong BAI , Zuwei YIN , Yao ZHOU , Juntao LI . Preparation of modified high-nickel layered cathode with LiAlO2/cyclopolyacrylonitrile dual-functional coating. Chinese Journal of Inorganic Chemistry, 2024, 40(8): 1461-1473. doi: 10.11862/CJIC.20240189
-
[19]
Xuechen Hu , Qiuying Xia , Fan Yue , Xinyi He , Zhenghao Mei , Jinshi Wang , Hui Xia , Xiaodong Huang . Electrochemical Characteristics of LiNbO3 Anode Film and Its Applications in All-Solid-State Thin-Film Lithium-Ion Battery. Acta Physico-Chimica Sinica, 2024, 40(2): 2309046-0. doi: 10.3866/PKU.WHXB202309046
-
[20]
Jiaxuan Zuo , Kun Zhang , Jing Wang , Xifei Li . Nucleation Regulation and Mechanism of Precursors for Nickel Cobalt Manganese-based Cathode Materials in Lithium-Ion Batteries. Acta Physico-Chimica Sinica, 2025, 41(1): 100009-0. doi: 10.3866/PKU.WHXB202404042
-
[1]
Metrics
- PDF Downloads(5)
- Abstract views(994)
- HTML views(302)
Login In
DownLoad: