Citation: Lin Guishan, Zhang Rui, Duan Wengui, He Yun, Cen Bo, Lu Shunzhong. Syntheses and Antifungal Activities of Verbenone-Based Thiazole-hydrazone Compounds[J]. Chemistry, ;2020, 83(2): 132-138. shu

Syntheses and Antifungal Activities of Verbenone-Based Thiazole-hydrazone Compounds

  • Corresponding author: Duan Wengui, wgduan@gxu.edu.cn
  • Received Date: 4 September 2019
    Accepted Date: 25 September 2019

Figures(3)

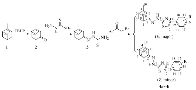
  • In this paper, nine verbenone-based thiazole-hydrazone compounds 4a~4i, including three pairs of E-Z isomers and three E-products were synthesized. All the target compounds were characterized by FTIR, 1H NMR, 13C NMR, ESI-MS, and NOESY, and their antifungal activities were evaluated as well. The results showed that, at 50mg/L, compounds 4a~4i showed certain antifungal activities against Physalospora piricola, Gibberella zeae, Fusarium oxysporum f. cucumerinum, Cercospora arachidicola, Alternaria solani, Rhizoctonia solani, Helminthosporium maydis, and Colleetotrichum lagenarium. It was found that the E-Z isomers exhibited obvious difference in antifungal activity against some pathogens. For example, the inhibition rate of (Z)-verbenone-based p-cyanophenyl thiazole-hydrazone (4f) against Gibberella zeae was 6 times that of (E)-verbenone-based p-cyanophenyl thiazole-hydrazone (4e). The frontier molecular orbitals of compounds 4e and 4f were calculated by Gaussian 09 software.
  • 加载中
    1. [1]

      Allal B A, Firdoussi L E, Allal S, et al. J. Mol. Catal. A, 2003, 200(1/2): 177~184. 

    2. [2]

       

    3. [3]

      Borden J H, Chong L J, Earle T J, et al. Forest. Chron., 2003, 79(3): 685~691. 

    4. [4]

      Shore T L, Safranyak L, Lindgren B S. J. Chem. Ecol., 1992, 18(4): 533~541. 

    5. [5]

      Gatilov Y V, Basalaeva L V, Kozlov N G, et al. Chem. Heterocycl. Com., 1995, 31(5): 625~628. 

    6. [6]

      Ju C, Song S, Hwang S, et al. Bioorg. Med. Chem. Lett., 2013, 23(19): 5421~5425. 

    7. [7]

      Pawar C D, Sarkate A P, Karnik K S, et al. Bioorg. Med. Chem. Lett., 2016, 26(15): 3525~3528. 

    8. [8]

      Grozav A, Porumb I D, Gaina L I, et al. Molecules, 2017, 22(2): 260~271.

    9. [9]

       

    10. [10]

      Mo W Y, Shi Y X, He J B, et al. J. Heterocycl. Chem., 2016, 53(1): 183~187.

    11. [11]

      Irahim H S, Abou-Seri S M, Ismail N S M, et al. Eur. J. Med. Chem., 2016, 108: 415~422.

    12. [12]

      Senkardes S, Kaushik-Basu N, Durmaz I, et al. Eur. J. Med. Chem., 2016, 108: 301~308.

    13. [13]

      Rawat P, Singh R N, Niranjan P, et al. J. Mol. Struct., 2017, 1149: 539~548.

    14. [14]

      Can N O, Osmaniye D, Levent S, et al. Molecules, 2017, 22(8): 1381~1399. 

    15. [15]

       

    16. [16]

      Lin G S, Bai X, Duan W G, et al. ACS Sustain. Chem. Eng., 2019, 7(8): 7862~7868.

    17. [17]

       

    18. [18]

      Hu Q, Lin G S, Duan W G, et al. Molecules, 2017, 22(10): 1678~1694. 

    19. [19]

      Chen N Y, Duan W G, Lin G S, et al. Mol. Divers., 2016, 20(4): 897~905. 

    20. [20]

      Lin G S, Ma C H, Duan W G, et al. Holzforschung, 2014, 68(1): 75~83. 

    21. [21]

    22. [22]

      Monte C D, Carradori S, Secci D, et al. Eur. J. Med. Chem., 2015, 105: 245~262.

    23. [23]

      Su N N, Li Y, Yu S J, et al. Res. Chem. Intermediat., 2013, 39(2): 759~766. 

    24. [24]

      Wang B L, Shi Y X, Zhang S J, et al. Eur. J. Med. Chem., 2016, 117: 167~178. 

    25. [25]

      Frisch M J, Trucks G W, Schlegel H B et al. Gaussian 09, Gaussian, Inc.: Wallingford, CT, 2009.

    26. [26]

      Dennington R, Keith T, Millam J. GaussView version 5, Semichem, Inc.: Shawnee Mission, KS, 2009.

  • 加载中
    1. [1]

      Xinting XIONGZhiqiang XIONGPanlei XIAOXuliang NIEXiuying SONGXiuguang YI . Synthesis, crystal structures, Hirshfeld surface analysis, and antifungal activity of two complexes Na(Ⅰ)/Cd(Ⅱ) assembled by 5-bromo-2-hydroxybenzoic acid ligands. Chinese Journal of Inorganic Chemistry, 2024, 40(9): 1661-1670. doi: 10.11862/CJIC.20240145

    2. [2]

      Jia JIZhaoyang GUOWenni LEIJiawei ZHENGHaorong QINJiahong YANYinling HOUXiaoyan XINWenmin WANG . Two dinuclear Gd(Ⅲ)-based complexes constructed by a multidentate diacylhydrazone ligand: Crystal structure, magnetocaloric effect, and biological activity. Chinese Journal of Inorganic Chemistry, 2025, 41(4): 761-772. doi: 10.11862/CJIC.20240344

    3. [3]

      Peipei CUIYawen ZHENGPan LIPeiyan GUANZhaohong QIAN . Praseodymium-organic framework with 4, 4′-oxybis(benzoic acid): Rare broken layer structure, antibacterial activity, and sensing for Cd2+ ions. Chinese Journal of Inorganic Chemistry, 2025, 41(8): 1641-1649. doi: 10.11862/CJIC.20250152

    4. [4]

      Lijuan Wang Yuping Ning Jian Li Sha Luo Xiongfei Luo Ruiwen Wang . Enhancing the Advanced Nature of Natural Product Chemistry Laboratory Courses with New Research Findings: A Case Study of the Application of Berberine Hydrochloride in Photodynamic Antimicrobial Films. University Chemistry, 2024, 39(11): 241-250. doi: 10.12461/PKU.DXHX202403017

    5. [5]

      Jingjie Tang Luying Xie Jiayu Liu Shangyu Shi Xinyu Sun Jiayang Lin Qikun Yang Chuan'ang Yu Zecheng Wang Yingying Wang Zengyang Xie . Efficient Rapid Synthesis and Antibacterial Activities of Tosylhydrazones: A Recommended Innovative Chemistry Experiment for Undergraduate Medical University. University Chemistry, 2024, 39(3): 316-326. doi: 10.3866/PKU.DXHX202309091

    6. [6]

      Zhuoming Liang Ming Chen Zhiwen Zheng Kai Chen . Multidimensional Studies on Ketone-Enol Tautomerism of 1,3-Diketones By 1H NMR. University Chemistry, 2024, 39(7): 361-367. doi: 10.3866/PKU.DXHX202311029

    7. [7]

      Shiqian WEIXinyu TIANHong LIUMaoxia CHENFan TANGQiang FANWeifeng FANYu HU . Oxygen reduction reaction/oxygen evolution reaction catalytic performances of different active sites on nitrogen-doped graphene loaded with iron single atoms. Chinese Journal of Inorganic Chemistry, 2025, 41(9): 1776-1788. doi: 10.11862/CJIC.20250102

    8. [8]

      Lihui Jiang Wanrong Dong Hua Yang Yongqing Xia Hongjian Peng Jun Yuan Xiaoqian Hu Zihan Zeng Yingping Zou Yiming Luo . Study on Extraction of p-Hydroxyacetophenone. University Chemistry, 2024, 39(11): 259-268. doi: 10.12461/PKU.DXHX202402056

    9. [9]

      Quanliang Chen Zhaohui Zhou . Research on the Active Site of Nitrogenase over Fifty Years. University Chemistry, 2024, 39(7): 287-293. doi: 10.3866/PKU.DXHX202310133

    10. [10]

      Xinyu ZENGGuhua TANGJianming OUYANG . Inhibitory effect of Desmodium styracifolium polysaccharides with different content of carboxyl groups on the growth, aggregation and cell adhesion of calcium oxalate crystals. Chinese Journal of Inorganic Chemistry, 2024, 40(8): 1563-1576. doi: 10.11862/CJIC.20230374

    11. [11]

      Yue Zhao Yanfei Li Tao Xiong . Copper Hydride-Catalyzed Nucleophilic Additions of Unsaturated Hydrocarbons to Aldehydes and Ketones. University Chemistry, 2024, 39(4): 280-285. doi: 10.3866/PKU.DXHX202309001

    12. [12]

      Liangzhen Hu Li Ni Ziyi Liu Xiaohui Zhang Bo Qin Yan Xiong . A Green Chemistry Experiment on Electrochemical Synthesis of Benzophenone. University Chemistry, 2024, 39(6): 350-356. doi: 10.3866/PKU.DXHX202312001

    13. [13]

      Guojie Xu Fang Yu Yunxia Wang Meng Sun . Introduction to Metal-Catalyzed β-Carbon Elimination Reaction of Cyclopropenones. University Chemistry, 2024, 39(8): 169-173. doi: 10.3866/PKU.DXHX202401060

    14. [14]

      Haitang WANGYanni LINGXiaqing MAYuxin CHENRui ZHANGKeyi WANGYing ZHANGWenmin WANG . Construction, crystal structures, and biological activities of two Ln3 complexes. Chinese Journal of Inorganic Chemistry, 2024, 40(8): 1474-1482. doi: 10.11862/CJIC.20240188

    15. [15]

      Yukai Jiang Yihan Wang Yunkai Zhang Yunping Wei Ying Ma Na Du . Characterization and Phase Diagram of Surfactant Lyotropic Liquid Crystal. University Chemistry, 2024, 39(4): 114-118. doi: 10.3866/PKU.DXHX202309033

    16. [16]

      Jiayu Gu Siqi Wang Jun Ling . Kinetics of Living Copolymerization: A Brief Discussion. University Chemistry, 2025, 40(4): 100-107. doi: 10.12461/PKU.DXHX202406012

    17. [17]

      Zhiyang LiHui DengXinqi CaiZhuo Chen . Magnetic Core/Shell-Capsules Locally Neutralize Gastric Acid for Efficient Delivery of Active Probiotics. Acta Physico-Chimica Sinica, 2024, 40(7): 2306051-0. doi: 10.3866/PKU.WHXB202306051

    18. [18]

      Ruiqin FengYe FanYun FangYongmei Xia . Strategy for Regulating Surface Protrusion of Gold Nanoflowers and Their Surface-Enhanced Raman Scattering. Acta Physico-Chimica Sinica, 2024, 40(4): 2304020-0. doi: 10.3866/PKU.WHXB202304020

    19. [19]

      Congqi ZhuBo LiuRuchun Li . Dual active sites enhancing alkaline H2-production performance. Acta Physico-Chimica Sinica, 2025, 41(11): 100146-0. doi: 10.1016/j.actphy.2025.100146

    20. [20]

      Yunting Shang Yue Dai Jianxin Zhang Nan Zhu Yan Su . Something about RGO (Reduced Graphene Oxide). University Chemistry, 2024, 39(9): 273-278. doi: 10.3866/PKU.DXHX202306050

Metrics
  • PDF Downloads(6)
  • Abstract views(750)
  • HTML views(206)

通讯作者: 陈斌, bchen63@163.com
  • 1. 

    沈阳化工大学材料科学与工程学院 沈阳 110142

  1. 本站搜索
  2. 百度学术搜索
  3. 万方数据库搜索
  4. CNKI搜索
Address:Zhongguancun North First Street 2,100190 Beijing, PR China Tel: +86-010-82449177-888
Powered By info@rhhz.net

/

DownLoad:  Full-Size Img  PowerPoint
Return