Citation: ZHANG Zhuo, XIE Feng, ZHENG Yi, CHENG Huan, WANG Qi. Coke microcrystalline texture and its effect on coke reactivity[J]. Journal of Fuel Chemistry and Technology, ;2018, 46(4): 406-412. shu

Coke microcrystalline texture and its effect on coke reactivity

  • Corresponding author: WANG Qi, wangqi8822@sina.com
  • Received Date: 19 November 2017
    Revised Date: 25 January 2018

    Fund Project: The project was supported by the National Natural Science Foundation of China (U1361212)the National Natural Science Foundation of China U1361212

Figures(6)

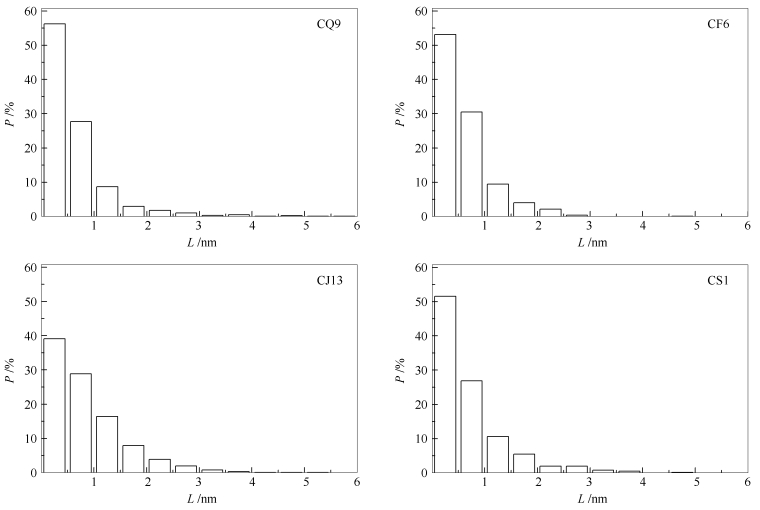
  • The coke microcrystalline texture was studied by a high resolution transmission electron microscopy combined with digital image analytical technique (HRTEM-DI). The length, inclination angle and curvature characterization parameters of coke microcrystalline texture may be used to express the size of coke microcrystal, the order degree of microcrystalline lamellar and the order degree of microcrystalline stacking. The developed crystallographic index which is used to characterize the size and order degree could better reflect the effect of coke crystallinity on the coke reactivity.
  • 加载中
    1. [1]

      DUVAL B, GUET J M, RICHARD J R, ROUZAUD J N. Coke properties and their microtexture. Part Ⅲ:First results about relationship between microtexture and reactivity of some cokes[J]. Fuel Process Technol, 1988,20:163-175. doi: 10.1016/0378-3820(88)90017-3

    2. [2]

      LU L, SAHAJWAILA V, HARRIS D. Coal char reactivity and structural evolution during combustion-Factors influencing blast furnace pulverized coal injection operation[J]. Metall Mater Trans B, 2002,43:811-820.  

    3. [3]

      WANG Mei-qiang, GUO Xing-qi, LU Yun-juan. Study of relationship between coke structures and its quality[J]. Res Iron Steel, 1995,87(6):39-45.  

    4. [4]

      KANG Xi-dong, HU Shan-ting, PAN Zhi-gui, PAN Yin-miao, WANG Ling-zhi. Influence of coal metamorphic degree on texture and structure of coke[J]. J Changchun Univ Earth Sci, 1997,27(3):323-326.  

    5. [5]

      DAI Zhong-chu. Study on the relationship between maceral group and optical texture, coke quality[J]. J Wuhan Iron Steel Univ, 1993,16(2):139-145.  

    6. [6]

      CHEN Ai-guo, ZHOU Shu-yi. Study on the relationship between maceral of coal and optical texture of its coke[J]. Coal Chemical Industry, 1995(4):38-41, 48.  

    7. [7]

      HUANG Ying-hua, REN De-qing, HIROMI Yamashita, AKIRA Tomita. Thermal nature of macerals and coke characteristic[J]. Fuel Chem Proc, 1994,25(3):121-124.  

    8. [8]

      WU Xiao-yeng. Study of XRD on the crystallite structure characteristics of high temperature coke of coals[J]. J XI'an Min Inst, 1999,19(2):158-160.  

    9. [9]

      SHARMA A, KYOTANI T, TOMITA A. A new quantitative approach for microstructural analysis of coal char using HRTEM images[J]. Fuel, 1999,78:1203-1212. doi: 10.1016/S0016-2361(99)00046-0

    10. [10]

      HONG-SHIG S, ROBERT H H, NANCY Y C, YA NG. A methodology for analysis of 002 lattice fringe images and its application to combustion-derived carbons[J]. Carbon, 2002,38:29-45.  

    11. [11]

      PUSZ, KRZESIŃSKA, Smedowski. Changes in a coke structure due to reaction with carbon dioxide[J]. Int J Coal Geol, 2010,81:287-292. doi: 10.1016/j.coal.2009.07.013

    12. [12]

      ANDRIANI G F, WALSH N. Physical properties and textural parameters of calcarenitic rocks:Qualitative and quantitative evaluations[J]. Eng Geol, 2002,67:5-15. doi: 10.1016/S0013-7952(02)00106-0

    13. [13]

      SMEDOWSKI Y, KRZESI ŃSKA M, KWAŚNY W, KOZANECKI M. Development of ordered structures in the high-temperature(HT) cokes from binary and ternary coal blends studied by meansof X-ray diffraction and raman spectroscopy 2011 American chemical society[J]. Energy Fuels, 2011,25:3142-3149. doi: 10.1021/ef200609t

    14. [14]

      FANG Yong-zheng, CAO Yin-ping, JIN Ming-lin, YANG Jun-he, QIAN Zhan-fen. Effect of anthracite in coal blend on micro-crystal and pore structure of coke[J]. Iron Steel, 2006,41(10):16-18.  

    15. [15]

      ROUZAUD J R, VOGT D, OBERLIN A. Coke properties and their microtexture Part Ⅰ:Microtextural analysis:A guide for cokemaking[J]. Fuel Process Technol, 1998,20:143-154.  

    16. [16]

      ROUZAUD J N, JEHLICKA J, FAUGERE A M, PIS J J, ALVAREZ R. Influence of the oxidation of coals of different rank on coke microtexture and other relevant properties[J]. Fuel, 1994,73:810-815. doi: 10.1016/0016-2361(94)90272-0

    17. [17]

      FAN Xiao-lei, YANG Fan, ZHANG Wei, ZHOU Zhi-jie, WANG Fu-chen, YU Zun-hong. Variation of the crysta lline structure of coal char during pyrolysis and its effect on gasification reactivity[J]. J Fuel Chem Technol, 2006,34(4):395-398.  

    18. [18]

      HU De-sheng. Crystallite structure characteristics of coke[J]. Iron Steel, 2006,41(11):10-12. doi: 10.3321/j.issn:0449-749X.2006.11.003

    19. [19]

      ZHANG Shou-yu, LÜ Jun-fu, WANG Wen-xuan, ZHU Ting-yu, LI Yong, YUE Guang-xi. Effect of heat treatment on the reactivity and microstructure of coal-char[J]. J Fuel Chem Technol, 2004,32(6):673-678.  

    20. [20]

      YANG J H, CHENG S H. Quantitative analysis of microstructure of carbon materials by HRTEM Trans[J]. Nonferrous Met SOC China, 2006,16:796-803. doi: 10.1016/S1003-6326(06)60303-8

    21. [21]

      DOBB M G, GUO H, JOHNSON D J. Image analysis of lattice imperfections in carbon fibers[J]. Carbon, 1995,33:1115-1120. doi: 10.1016/0008-6223(95)00060-Q

  • 加载中
    1. [1]

      Yan LongWenbo ZhaoQing CaoXiangyu LiFukui LiYanwei HuShiyu SongKaikai Liu . Phosphorescent carbon nanodot inks for scalable and high-resolution invisible printing. Acta Physico-Chimica Sinica, 2026, 42(3): 100198-0. doi: 10.1016/j.actphy.2025.100198

    2. [2]

      Shitong Wang Yangyang He Xihong Xiong Wei Zhang Meilin Xia Fenglin Tang . 基于手机RGB图像-微信小程序的化学需氧量(COD)实时可视化快速分析. University Chemistry, 2026, 41(1): 394-405. doi: 10.12461/PKU.DXHX202506011

    3. [3]

      Baitong Wei Jinxin Guo Xigong Liu Rongxiu Zhu Lei Liu . Theoretical Study on the Structure, Stability of Hydrocarbon Free Radicals and Selectivity of Alkane Chlorination Reaction. University Chemistry, 2025, 40(3): 402-407. doi: 10.12461/PKU.DXHX202406003

    4. [4]

      Zhi Chai Huashan Huang Xukai Shi Yujing Lan Zhentao Yuan Hong Yan . Wittig反应的立体选择性. University Chemistry, 2025, 40(8): 192-201. doi: 10.12461/PKU.DXHX202410046

    5. [5]

      Chunfang Zhang Cuimiao Zhang Shuai Liu Yaduo Zheng Lin Yang Kehan Jiang Mingtao Run . Refined Experiment for Magnetic Susceptibility Determination: A Digital Empowered Experiment Based on WeChat Mini Program and Animated Video. University Chemistry, 2026, 41(1): 244-252. doi: 10.12461/PKU.DXHX202505056

    6. [6]

      Shi-Yu LuWenzhao DouJun ZhangLing WangChunjie WuHuan YiRong WangMeng Jin . Amorphous-Crystalline Interfaces Coupling of CrS/CoS2 Few-Layer Heterojunction with Optimized Crystallinity Boosted for Water-Splitting and Methanol-Assisted Energy-Saving Hydrogen Production. Acta Physico-Chimica Sinica, 2024, 40(8): 2308024-0. doi: 10.3866/PKU.WHXB202308024

    7. [7]

      Yuting Zhang Zhiqian Wang . Methods and Case Studies for In-Depth Learning of the Aldol Reaction Based on Its Reversible Nature. University Chemistry, 2024, 39(7): 377-380. doi: 10.3866/PKU.DXHX202311037

    8. [8]

      Heng ChenLonghui NieKai XuYiqiong YangCaihong Fang . Remarkable Photocatalytic H2O2 Production Efficiency over Ultrathin g-C3N4 Nanosheet with Large Surface Area and Enhanced Crystallinity by Two-Step Calcination. Acta Physico-Chimica Sinica, 2024, 40(11): 2406019-0. doi: 10.3866/PKU.WHXB202406019

    9. [9]

      Qin′ai FENGJianjun LILili ZHANGLinxin WUHuiling WANGWenjing HOULei WANGMingjie REN . Amphiphilic surface modification of magnetic adsorbents and its adsorption properties of two microplastics. Chinese Journal of Inorganic Chemistry, 2026, 42(4): 789-807. doi: 10.11862/CJIC.20250208

    10. [10]

      Renxiao Liang Zhe Zhong Zhangling Jin Lijuan Shi Yixia Jia . A Palladium/Chiral Phosphoric Acid Relay Catalysis for the One-Pot Three-Step Synthesis of Chiral Tetrahydroquinoline. University Chemistry, 2024, 39(5): 209-217. doi: 10.3866/PKU.DXHX202311024

    11. [11]

      Xinyu XuJiale LuBo SuJiayi ChenXiong ChenSibo Wang . Steering charge dynamics and surface reactivity for photocatalytic selective methane oxidation to ethane over Au/Ti-CeO2. Acta Physico-Chimica Sinica, 2025, 41(11): 100153-0. doi: 10.1016/j.actphy.2025.100153

    12. [12]

      Jiaqi ANYunle LIUJianxuan SHANGYan GUOCe LIUFanlong ZENGAnyang LIWenyuan WANG . Reactivity of extremely bulky silylaminogermylene chloride and bonding analysis of a cubic tetragermylene. Chinese Journal of Inorganic Chemistry, 2024, 40(8): 1511-1518. doi: 10.11862/CJIC.20240072

    13. [13]

      Ke QIAOYanlin LIShengli HUANGGuoyu YANG . Advancements in asymmetric catalysis employing chiral iridium (ruthenium) complexes. Chinese Journal of Inorganic Chemistry, 2024, 40(11): 2091-2104. doi: 10.11862/CJIC.20240265

    14. [14]

      Zihao Guo Shichen Ma Kin Shing Chan . 烯烃环化反应中6电子试剂的等瓣相似性和等电子关系. University Chemistry, 2025, 40(6): 160-166. doi: 10.12461/PKU.DXHX202408038

    15. [15]

      Jingxuan Zhang Weihao Jiang Siyuan Zhang Hongye Tian Ziye Huang Lin Huang Qikun Wu Jing Yang Yibin Jiang Cheng Wang . Automation and AI-Assisted Investigation of the Chemical Reactivity of Sulfosalicylic Acid. University Chemistry, 2026, 41(1): 332-345. doi: 10.12461/PKU.DXHX202505108

    16. [16]

      Zhongbin Pan Shijie Huang Yunjie Luo Hongzhen Xie . Design of a Comprehensive Experiment for Determining Permanganate Index (CODMn) in Drinking Water. University Chemistry, 2024, 39(7): 354-360. doi: 10.12461/PKU.DXHX202311040

    17. [17]

      Min Gu Huiwen Xiong Liling Liu Jilie Kong Xueen Fang . Rapid Quantitative Detection of Procalcitonin by Microfluidics: An Instrumental Analytical Chemistry Experiment. University Chemistry, 2024, 39(4): 87-93. doi: 10.3866/PKU.DXHX202310120

    18. [18]

      Qi LiPingan LiZetong LiuJiahui ZhangHao ZhangWeilai YuXianluo Hu . Fabricating Micro/Nanostructured Separators and Electrode Materials by Coaxial Electrospinning for Lithium-Ion Batteries: From Fundamentals to Applications. Acta Physico-Chimica Sinica, 2024, 40(10): 2311030-0. doi: 10.3866/PKU.WHXB202311030

    19. [19]

      Pan He Junlin Yan Zhigang Chen Enming Dai Xin Zhao Ruijuan Wang . Design of Digital Experiment for Field Emission Scanning Electron Microscopy Based on Semi-Physical Simulation. University Chemistry, 2026, 41(1): 114-121. doi: 10.12461/PKU.DXHX202505104

    20. [20]

      Lijun Yue Siya Liu Peng Liu . 不同晶相纳米MnO2的制备及其对生物乙醇选择性氧化催化性能的测试——一个科研转化的综合化学实验. University Chemistry, 2025, 40(8): 225-232. doi: 10.12461/PKU.DXHX202410005

Metrics
  • PDF Downloads(10)
  • Abstract views(1608)
  • HTML views(232)

通讯作者: 陈斌, bchen63@163.com
  • 1. 

    沈阳化工大学材料科学与工程学院 沈阳 110142

  1. 本站搜索
  2. 百度学术搜索
  3. 万方数据库搜索
  4. CNKI搜索
Address:Zhongguancun North First Street 2,100190 Beijing, PR China Tel: +86-010-82449177-888
Powered By info@rhhz.net

/

DownLoad:  Full-Size Img  PowerPoint
Return