Citation: ZHAO Qing-ning, SONG Qing-wen, LIU Ping, ZHANG Kan, HAO Jian. Ag(Ⅰ)/(nC7H15)4NBr-catalyzed reaction of ammonium carbamates and propargylic alcohols:Quantitative conversion of CO2 into β-oxopropylcarbamates[J]. Journal of Fuel Chemistry and Technology, ;2018, 46(8): 1009-1017. shu

Ag(Ⅰ)/(nC7H15)4NBr-catalyzed reaction of ammonium carbamates and propargylic alcohols:Quantitative conversion of CO2 into β-oxopropylcarbamates

  • Corresponding author: SONG Qing-wen, songqingwen@sxicc.ac.cn ZHANG Kan, zhangkan@sxicc.ac.cn HAO Jian, jhao@shu.edu.cn
  • Received Date: 25 April 2018
    Revised Date: 20 June 2018

    Fund Project: the National Natural Science Foundation of China 21672139the Natural Science Foundation of Shanxi Province 201701D221057the National Natural Science Foundation of China 21602232The project was supported by the National Natural Science Foundation of China (21602232, 21672139) and the Natural Science Foundation of Shanxi Province (201701D221057)

Figures(5)

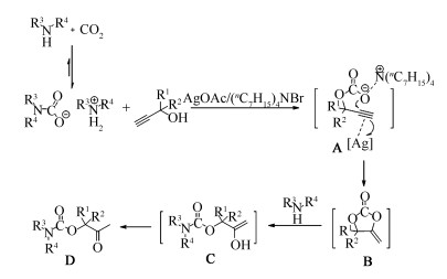
  • A simple dual-component catalytic system, i.e., Ag(Ⅰ)/(nC7H15)4NBr was applied for the synthesis of various β-oxopropylcarbamates via dual-component coupling of ammonium carbamates and propargylic alcohols under atmospheric pressure.This simple method was proved to be a highly efficient system without the use of ligand, and capable of converting various propargylic alcohols and secondary amines into corresponding organic carbamates.Notably, quantitative conversion of CO2 was achieved, thus improved the efficiency of CO2 utilization.
  • 加载中
    1. [1]

      HE Liang-nian.CO2 Chemistry[M].Beijing:Science Press, 2013.

    2. [2]

      SAKAKURA T, CHOI J C, YASUDA H. Transformation of carbon dioxide[J]. Chem Rev, 2007,107(6):2365-2387. doi: 10.1021/cr068357u

    3. [3]

      SONG Q W, ZHOU Z H, HE L N. Efficient, selective and sustainable catalysis of carbon dioxide[J]. Green Chem, 2017,19(16):3707-3728. doi: 10.1039/C7GC00199A

    4. [4]

      GAO Jian, MIAO Cheng-xia, WANG Jing-lun, HE Liang-nian. Recent advances in utilization of carbon dioxide as a renewable resource[J]. Petrochem Technol, 2010,39(5):465-475.  

    5. [5]

      HE M Y, SUN Y H, HAN B X. Green carbon science:Scientific basis for integrating carbon resource processing, utilization, and recycling[J]. Angew Chem Int Ed, 2013,52(37):9620-9633. doi: 10.1002/anie.201209384

    6. [6]

      LIU An-hua, HE Liang-nian, GAO Jian, YANG Zhen-zhen, LI Yu-nong, LI Bin, YU Bing. Carbon dioxide chemistry:Catalytic conversion of CO2 into value-added fuels and chemicals[J]. Chin J Synth Chem, 2010,18(S1):80-91.  

    7. [7]

      ARESTA M, DIBENEDETTO A, FRACCHIOLLA E, GIANNOCCARO P, PASTORE C, PÁPAI I, SCHUBERT G. Mechanism of formation of organic carbonates from aliphatic alcohols and carbon dioxide under mild conditions promoted by carbodiimides.DFT calculation and experimental study[J]. J Org Chem, 2005,70(16):6177-6186. doi: 10.1021/jo050392y

    8. [8]

      YAMAZAKI Y, KAKUMA K, DU Y, SAITO S. Synthesis of carbonates directly from 1 atm CO2 and alcohols using CH2Cl2[J]. Tetrahedron, 2010,66(51):9675-9680. doi: 10.1016/j.tet.2010.10.051

    9. [9]

      KINDERMANN N, JOSE T, KLEIJ A W. Synthesis of carbonates from alcohols and CO2[J]. Top Curr Chem, 2017,375(1)15. doi: 10.1007/s41061-016-0101-8

    10. [10]

      SHI F, DENG Y, SIMA T L, PENG J J, GU Y L, QIAO B T. Alternatives to phosgene and carbon monoxide:Synthesis of symmetric urea derivatives with carbon dioxide in ionic liquids[J]. Angew Chem Int Ed, 2003,42(28):3257-3260. doi: 10.1002/anie.200351098

    11. [11]

      JIANG T, MA X, ZHOU Y X, LIANG S G, ZHANG J, HAN B X. Solvent-free synthesis of substituted ureas from CO2 and amines with a functional ionic liquid as the catalyst[J]. Green Chem, 2008,10(4):465-469. doi: 10.1039/b717868a

    12. [12]

      WU C, CHENG H, LIU R X, WANG Q, HAO Y F, YU Y C, ZHAO F Y. Synthesis of urea derivatives from amines and CO2 in the absence of catalyst and solvent[J]. Green Chem, 2010,12(10):1811-1816. doi: 10.1039/c0gc00059k

    13. [13]

      STIEBER S C E, HUGUET N, KAGEYAMA T, JEVTOVIKJ I, ARIYANANDA P, GORDILLO A, SCHUNK S A, ROMINGER F, HOFMANN P, LIMBACH M. Acrylate formation from CO2 and ethylene:Catalysis with palladium and mechanistic insight[J]. Chem Commun, 2015,51(54):10907-10909. doi: 10.1039/C5CC01932J

    14. [14]

      KNOPF I, TOFAN D, BEETSTRA D, NEZARI A A, BAHILY K A, CUMMINS C C. A family of cis-macrocyclic diphosphines:Modular, stereoselective synthesis and application in catalytic CO2/ethylene coupling[J]. Chem Sci, 2017,8(2):1463-1468. doi: 10.1039/C6SC03614G

    15. [15]

      YU D, ZHANG Y. Copper-and copper-N-heterocyclic carbene-catalyzed C-H activating carboxylation of terminal alkynes with CO2 at ambient conditions[J]. Proc Natl Acad Sci, 2010,107(47):20184-20189. doi: 10.1073/pnas.1010962107

    16. [16]

      KIM S H, KIM K H, HONG S H. Carbon dioxide capture and use:organic synthesis using carbon dioxide from exhaust gas[J]. Angew Chem Int Ed, 2014,53(3):771-774. doi: 10.1002/anie.201308341

    17. [17]

      JI Dong-feng, WANG Hui, HE Ren. Study on chemical fixation of CO2 and syntheses of alkylene carbonate[J]. J Fuel Chem Technol, 2001,29(6):486-489.  

    18. [18]

      YOSHIDA S, FUKUI K, KIKUCHI S, YAMADA T. Silver-catalyzed enantioselective carbon dioxide incorporation into bispropargylic alcohols[J]. J Am Chem Soc, 2010,132(12):4072-4073. doi: 10.1021/ja1007118

    19. [19]

      TAMURA M, HONDA M, NORO K, NAKAGAWA Y, TOMISHIGE K. Heterogeneous CeO2-catalyzed selective synthesis of cyclic carbamates from CO2 and aminoalcohols in acetonitrile solvent[J]. J Catal, 2013,305:191-203. doi: 10.1016/j.jcat.2013.05.013

    20. [20]

      HU J, MA J, ZHU Q L, QIAN Q L, HAN H L, MEI Q Q, HAN B X. Zinc (Ⅱ)-catalyzed reactions of carbon dioxide and propargylic alcohols to carbonates at room temperature[J]. Green Chem, 2016,18(2):382-385. doi: 10.1039/C5GC01870F

    21. [21]

      YANG Z Z, HE L N, ZHAO Y N, LI B, YU B. CO2 capture and activation by superbase/polyethylene glycol and its subsequent conversion[J]. Energy Environ Sci, 2011,4(10):3971-3975. doi: 10.1039/c1ee02156g

    22. [22]

      LIU A H, MA R, SONG C, YANG Z Z, YU A, CAI Y, HE L N, ZHAO Y N, YU B, SONG Q W. Equimolar CO2 capture by N-substituted amino acid salts and subsequent conversion[J]. Angew Chem Int Ed, 2012,51(45):11306-11310. doi: 10.1002/anie.201205362

    23. [23]

      BARZAGLI F, LAI S, MANI F. A new class of single-component absorbents for reversible carbon dioxide capture under mild conditions[J]. ChemSusChem, 2015,8(1):184-191. doi: 10.1002/cssc.201402421

    24. [24]

      SONG Q W, ZHOU Z H, YIN H, HE L N. Silver(Ⅰ)-catalyzed synthesis of β-oxopropylcarbamates from propargylic alcohols and CO2 surrogate:A gas-free process[J]. ChemSusChem, 2015,8(23):3967-3972. doi: 10.1002/cssc.201501176

    25. [25]

      YU B, CHENG B B, LIU W Q, LI W, WANG S S, CAO J, HU C W. Atmospheric pressure of CO2 as protecting reagent and reactant:Efficient synthesis of oxazolidin-2-ones with carbamate salts, aldehydes and alkynes[J]. Adv Synth Catal, 2016,358(1):90-97. doi: 10.1002/adsc.v358.1

    26. [26]

      REZAYEE N M, HUFF C A, SANFORD M S. Tandem amine and ruthenium-catalyzed hydrogenation of CO2 to methanol[J]. J Am Chem Soc, 2015,137(3):1028-1031. doi: 10.1021/ja511329m

    27. [27]

      SASAKI Y, DIXNEUF P H. Ruthenium-catalyzed reaction of carbon dioxide, amine, and acetylenic alcohol[J]. J Org Chem, 1987,52(19):4389-4391. doi: 10.1021/jo00228a046

    28. [28]

      BRUNEAU C, DIXNEUF P H. Catalytic synthesis of O-β-oxoalkylcarbamates[J]. Tetrahedron Lett, 1987,28(18):2005-2008. doi: 10.1016/S0040-4039(00)96031-3

    29. [29]

      KIM T J, KWON K H, KWON S C, BAEG J O, SHIM S C. Iron complexes of 1, 1'-bis (diphenylphosphino)ferrocene(BPPF) as efficient catalysts in the synthesis of carbamates.X-ray crystal structure of (BPPF)Fe(CO)3[J]. J Organomet Chem, 1990,389(2):205-217. doi: 10.1016/0022-328X(90)85412-R

    30. [30]

      KIM H S, KIM J W, KWON S C, SHIM S C, KIM T J. Catalytic formation of carbamates and cyclic carbonates by copper complex of 2, 5, 19, 22-tetraaza[6, 6] (1, 1')ferrocenophane-1, 5-diene X-ray crystal structure of[Cu(1)]PF6[J]. J Organomet Chem, 1997,545:337-344.

    31. [31]

      LI Xue-dong, LANG Xian-dong, SONG Qing-wen, GUO Ya-kun, HE Liang-nian. Cu(Ⅰ)-catalyzed three-component reaction of propargylic alcohol, secondary amines and atmospheric CO2[J]. Chin J Org Chem, 2016,36:744-751.  

    32. [32]

      QI C, HUANG L, JIANG H. Efficient synthesis of β-oxoalkyl carbamates from carbon dioxide, internal propargylic alcohols, and secondary amines catalyzed by silver salts and DBU[J]. Synthesis, 2010,41(35):1433-1440.

    33. [33]

      SONG Q W, YU B, LI X D, MA R, DIAO Z F, LI R G, LI W, HE L N. Efficient chemical fixation of CO2 promoted by a bifunctional Ag2WO4/Ph3P system[J]. Green Chem, 2014,16(3):1633-1638. doi: 10.1039/c3gc42406e

    34. [34]

      SONG Q W, CHEN W Q, MA R, YU A, LI Q Y, CHANG Y, HE L N. Bifunctional silver(Ⅰ) complex-catalyzed CO2 conversion at ambient conditions:Synthesis of α-methylene cyclic carbonates and derivatives[J]. ChemSusChem, 2015,8(5):821-827. doi: 10.1002/cssc.v8.5

    35. [35]

      SEKINE K, YAMADA T. Silver-catalyzed carboxylation[J]. Chem Soc Rev, 2016,45(16):4524-4532. doi: 10.1039/C5CS00895F

    36. [36]

      SONG Q W, LIU P, HAN L H, ZHANG K, HE L N. Upgrading CO2 by incorporation into urethanes through silver-catalyzed one-pot stepwise amidation reaction[J]. Chin J Chem, 2018,36(2):147-152. doi: 10.1002/cjoc.201700572

    37. [37]

      CA N D, GABRIELE B, RUFFOLO G, VELTRI L, ZANETTA T, COSTA M. Effective guanidine-catalyzed synthesis of carbonate and carbamate derivatives from propargyl alcohols in supercritical carbon dioxide[J]. Adv Synth Catal, 2011,353(1):133-146. doi: 10.1002/adsc.201000607

    38. [38]

      SONG Q W, HE L N. Robust silver(Ⅰ) catalyst for the carboxylative cyclization of propargylic alcohols with carbon dioxide under ambient conditions[J]. Adv Synth Catal, 2016,358(8):1251-1258. doi: 10.1002/adsc.v358.8

  • 加载中
    1. [1]

      Yanhui GuoLi WeiZhonglin WenChaorong QiHuanfeng Jiang . Recent Progress on Conversion of Carbon Dioxide into Carbamates. Acta Physico-Chimica Sinica, 2024, 40(4): 2307004-0. doi: 10.3866/PKU.WHXB202307004

    2. [2]

      Rongzhan LOUQiaoling KANGZhenchao BAIDongyun LIYang XURui WANGQingyi LU . Research progress of sodium ion high entropy layered oxide cathode. Chinese Journal of Inorganic Chemistry, 2025, 41(12): 2411-2428. doi: 10.11862/CJIC.20250142

    3. [3]

      Yan KongWei WeiLekai XuChen Chen . Electrochemical Synthesis of Organonitrogen Compounds from N-integrated CO2 Reduction Reaction. Acta Physico-Chimica Sinica, 2024, 40(8): 2307049-0. doi: 10.3866/PKU.WHXB202307049

    4. [4]

      Lin′an CAODengyue MAGang XU . Research advances in electrically conductive metal-organic frameworks-based electrochemical sensors. Chinese Journal of Inorganic Chemistry, 2025, 41(10): 1953-1972. doi: 10.11862/CJIC.20250160

    5. [5]

      Xiangyu CHENZhenzhen MIAOLigang XUGuangbao WUZhuang LIUWenzhen LÜRunfeng CHEN . Research progress on low-dimensional organic-inorganic hybrid metal halide optoelectronic materials. Chinese Journal of Inorganic Chemistry, 2025, 41(11): 2201-2217. doi: 10.11862/CJIC.20250056

    6. [6]

      Zhiquan ZhangBaker RhimiZheyang LiuMin ZhouGuowei DengWei WeiLiang MaoHuaming LiZhifeng Jiang . Insights into the Development of Copper-Based Photocatalysts for CO2 Conversion. Acta Physico-Chimica Sinica, 2024, 40(12): 2406029-0. doi: 10.3866/PKU.WHXB202406029

    7. [7]

      Qiang ZhangYuanbiao HuangRong Cao . Imidazolium-Based Materials for CO2 Electroreduction. Acta Physico-Chimica Sinica, 2024, 40(4): 2306040-0. doi: 10.3866/PKU.WHXB202306040

    8. [8]

      Xiaofei LiuHe WangLi TaoWeimin RenXiaobing LuWenzhen Zhang . Electrocarboxylation of Benzylic Phosphates and Phosphinates with Carbon Dioxide. Acta Physico-Chimica Sinica, 2024, 40(9): 2307008-0. doi: 10.3866/PKU.WHXB202307008

    9. [9]

      Bing WEIJianfan ZHANGZhe CHEN . Research progress in fine tuning of bimetallic nanocatalysts for electrocatalytic carbon dioxide reduction. Chinese Journal of Inorganic Chemistry, 2025, 41(3): 425-439. doi: 10.11862/CJIC.20240201

    10. [10]

      Jianan HongChenyu XuYan LiuChangqi LiMenglin WangYanwei Zhang . Decoding the interfacial competition between hydrogen evolution and CO2 reduction via edge-active-site modulation in photothermal catalysis. Acta Physico-Chimica Sinica, 2025, 41(9): 100099-0. doi: 10.1016/j.actphy.2025.100099

    11. [11]

      Bizhu ShaoHuijun DongYunnan GongJianhua MeiFengshi CaiJinbiao LiuDichang ZhongTongbu Lu . Metal-Organic Framework-Derived Nickel Nanoparticles for Efficient CO2 Electroreduction in Wide Potential Windows. Acta Physico-Chimica Sinica, 2024, 40(4): 2305026-0. doi: 10.3866/PKU.WHXB202305026

    12. [12]

      Hui-Ying ChenHao-Lin ZhuPei-Qin LiaoXiao-Ming Chen . Integration of Ru(Ⅱ)-Bipyridyl and Zinc(Ⅱ)-Porphyrin Moieties in a Metal-Organic Framework for Efficient Overall CO2 Photoreduction. Acta Physico-Chimica Sinica, 2024, 40(4): 2306046-0. doi: 10.3866/PKU.WHXB202306046

    13. [13]

      Haoran Zhang Yaxin Jin Peng Kang Sheng Zhang . The Convergence and Innovative Application of Artificial Intelligence in Scientific Research: A Case Study of Electrocatalytic Carbon Dioxide Reduction in the Context of the Dual-Carbon Strategy. University Chemistry, 2025, 40(9): 148-155. doi: 10.12461/PKU.DXHX202412099

    14. [14]

      Ling Liu Haibin Wang Genrong Qiang . Curriculum Ideological and Political Design for the Comprehensive Preparation Experiment of Ethyl Benzoate Synthesized from Benzyl Alcohol. University Chemistry, 2024, 39(2): 94-98. doi: 10.3866/PKU.DXHX202304080

    15. [15]

      Jiayin Hu Yafei Guo Long Li Tianlong Deng . Teaching Innovation of Salt-Water System Phase Diagrams under the “Dual Carbon” Background: Introducing the Pressurized CO2 Carbonization Phase Equilibria. University Chemistry, 2025, 40(11): 31-36. doi: 10.12461/PKU.DXHX202412031

    16. [16]

      Xin FengKexin GuoChunguang JiaBowen LiuSuqin CiJunxiang ChenZhenhai Wen . Hydrogen Generation Coupling with High-Selectivity Electrocatalytic Glycerol Valorization into Formate in an Acid-Alkali Dual-Electrolyte Flow Electrolyzer. Acta Physico-Chimica Sinica, 2024, 40(5): 2303050-0. doi: 10.3866/PKU.WHXB202303050

    17. [17]

      Wenjuan SHIYuke LUXiuyuan LILei HOUYaoyu WANG . Mg(Ⅱ) metal-organic frameworks based on biphenyltetracarboxylic acid: Synthesis and CO2 adsorption and catalytic conversion performance. Chinese Journal of Inorganic Chemistry, 2025, 41(12): 2455-2463. doi: 10.11862/CJIC.20250220

    18. [18]

      Shiyi ChenJialong FuJianping QiuGuoju ChangShiyou Hao . Waste medical mask-derived carbon quantum dots enhance the photocatalytic degradation of polyethylene terephthalate (PET) over BiOBr/g-C3N4 S-scheme heterojunction. Acta Physico-Chimica Sinica, 2026, 42(1): 100135-0. doi: 10.1016/j.actphy.2025.100135

    19. [19]

      Jie ZHAOHuili ZHANGXiaoqing LUZhaojie WANG . Theoretical calculations of CO2 capture and separation by functional groups modified 2D covalent organic framework. Chinese Journal of Inorganic Chemistry, 2025, 41(2): 275-283. doi: 10.11862/CJIC.20240213

    20. [20]

      Linjie ZHUXufeng LIU . Synthesis, characterization and electrocatalytic hydrogen evolution of two di-iron complexes containing a phosphine ligand with a pendant amine. Chinese Journal of Inorganic Chemistry, 2025, 41(5): 939-947. doi: 10.11862/CJIC.20240416

Metrics
  • PDF Downloads(3)
  • Abstract views(696)
  • HTML views(52)

通讯作者: 陈斌, bchen63@163.com
  • 1. 

    沈阳化工大学材料科学与工程学院 沈阳 110142

  1. 本站搜索
  2. 百度学术搜索
  3. 万方数据库搜索
  4. CNKI搜索
Address:Zhongguancun North First Street 2,100190 Beijing, PR China Tel: +86-010-82449177-888
Powered By info@rhhz.net

/

DownLoad:  Full-Size Img  PowerPoint
Return