Citation: GUO Zhong-sen, ZU Yun, HUI Yu, QIN Yu-cai, WANG Huan, ZHANG Xiao-tong, SONG Li-juan. Influence of olefin on the mechanism of thiophene adsorption on the active species of Al-MCM-41 mesoporous zeolites[J]. Journal of Fuel Chemistry and Technology, ;2019, 47(4): 474-483. shu

Influence of olefin on the mechanism of thiophene adsorption on the active species of Al-MCM-41 mesoporous zeolites

  • Corresponding author: SONG Li-juan, lsong56@263.net
  • Received Date: 5 December 2018
    Revised Date: 27 January 2019

    Fund Project: the National Natural Science Foundation of China U1662135the National Natural Science Foundation of China 21376114Liaoning Province, PhD Research Initiated Fund Project 201601318The project was supported by the National Natural Science Foundation of China (U1662135, 21376114) and Liaoning Province, PhD Research Initiated Fund Project (201601318)

Figures(10)

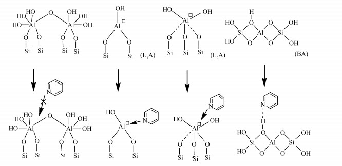
  • The Al-MCM-41 zeolites with different Al contents were prepared by post-grafting method and characterized by means of XRD, N2 adsorption-desorption, NH3-TPD, and Py-FTIR. The adsorptive performance of thiophene on these samples was investigated in a fixed bed by using micro coulombmeter and GC-SCD technique. The thiophene adsorption capacity was correlated with the acid properties and texture properties of the molecular sieve, and the effect of olefin on the adsorption desulfurization mechanism of active species in Al-MCM-41 was investigated. The results show that the introduction of lower content aluminum species is conducive to the formation of B (Brønsted) acid center and L1 (Lewis) acid center, while higher content aluminum species is conducive to the formation of L2 (Lewis) acid center. L2 acid center exhibits a far stronger thiophene adsorption ability than L1 acid center that has a slightly stronger thiophene adsorption ability than B acid center. Competitive adsorption and catalytic conversion of olefin and thiophene take place on the B acid center, and the catalytic reaction is dominated. The existence of L2 acid center greatly promotes the catalytic conversion reaction on the B acid center. The adsorption of macromolecular sulfide instead of thiophene increases the saturated adsorption capacity of Al-MCM-41 zeolites.
  • 加载中
    1. [1]

      MAO Yan-hong, LIU Dong-mei, WANG Hai-yan, WANG Yu-jia. Study on the performance of alkali acid modified ZSM-5 catalysts for thiophene alkylation reaction[J]. J Fuel Chem Technol, 2017,45(12):1456-1466. doi: 10.3969/j.issn.0253-2409.2017.12.007 

    2. [2]

      DEHGHAN R, ANBIA M. Zeolites for adsorptive desulfurization from fuels:A review[J]. Fuel Process Technol, 2017,167:99-116. doi: 10.1016/j.fuproc.2017.06.015

    3. [3]

      SONG C S. An overview of new approaches to deep desulfurization for ultra-clean gasoline, diesel fuel and jet fuel[J]. Catal Today, 2003,86(1):211-263.  

    4. [4]

      ZHOU A N, MA X L, SONG C S. Effects of oxidative modification of carbon surface on the adsorption of sulfur compounds in diesel fuel[J]. Appl Catal B:Environ, 2009,87:190-199. doi: 10.1016/j.apcatb.2008.09.024

    5. [5]

      WANG Hong-guo, JIANG Heng, XU Jing, SUN Zhao-lin, ZHANG Xiao-tong, ZHU He-li, SONG Li-juan. Effects of benzene and 1-octene on desulfurization by selective adsorption with Ce(Ⅳ)Y[J]. Acta Phys-Chim Sin, 2008,24(9):1714-1718. doi: 10.3866/PKU.WHXB20080933

    6. [6]

      DUAN L H, GAO X H, MENG X H, ZHANG H T, WANG Q, QIN Y C, ZHANG X T, SONG L J. Adsorption, co-adsorption, and reactions of sulfur compounds, aromatics, olefins over Ce-exchanged Y Zeolite[J]. J Phys Chem C, 2012,116(49):25758-25756.  

    7. [7]

      SONG Li-juan, HU Yue-ting, QIN Yu-cai, YU Wen-guang, ZHANG Xiao-tong. Mechanism of effects of surface acidity on performance of adsorption desulfurization of NiY zeolites[J]. J Fuel Chem Technol, 2016,44(9):1082-1088. doi: 10.3969/j.issn.0253-2409.2016.09.008 

    8. [8]

      ZU Y, QIN Y C, GAO X H, LIU H H, ZHANG X T, ZHANG J D, SONG L J. Insight into the correlation between the adsorption-transformation behaviors of methylthiophenes and the active sites of zeolites Y[J]. Appl Catal B:Environ, 2017,203:96-107. doi: 10.1016/j.apcatb.2016.10.008

    9. [9]

      WANG Wang-yin, PAN Ming-xue, QIN Yu-cai, WANG Ling-tao, SONG Li-juan. Effects of surface acidity on the adsorption desulfurization of Cu(Ⅰ)Y zeolites[J]. Acta Phys-Chim Sin, 2011,27(5):1176-1180. doi: 10.3866/PKU.WHXB20110442

    10. [10]

      SCHALLMOSER S, HALLER G L, SANCHEZ-SANCHEZ M, LERCHER J A. Role of spatial constraints of Brønsted acid sites for adsorption and surface reactions of linear pentenes[J]. J Am Chem Soc, 2017,139(25):8646-8652. doi: 10.1021/jacs.7b03690

    11. [11]

      RICHARDEAU D, JOLY G, CANAFF C, MAGNOUX P, GUISNET M, THOMAS M, NICOLAOS A. Adsorption and reaction over HFAU zeolites of thiophene in liquid hydrocarbon solutions[J]. Appl Catal A:Gen, 2004,263(1):49-61. doi: 10.1016/j.apcata.2003.11.039

    12. [12]

      SHI Y C, ZHANG W, ZHANG H X, TIAN F P, JIA C Y, CHEN Y Y. Effect of cyclohexene on thiophene adsorption over NaY and LaNaY zeolites[J]. Fuel Process Technol, 2013,110:24-32. doi: 10.1016/j.fuproc.2013.01.008

    13. [13]

      SELVARAJ M, LEE T G. Room temperature synthesis of diphenylmethane over novel mesoporous Lewis acid catalysts[J]. J Mol Catal:A Chem, 2006,243(2):176-182. doi: 10.1016/j.molcata.2005.08.020

    14. [14]

      WANG Z C, JIANG Y J, LAFON O, TREBOSC J, KIM K D, STAMPF C, BAIKER A, AMOUREUS J-P, HUANG J. Brønsted acid sites based on penta-coordinated aluminum species[J]. Nat Commun, 2016,713820. doi: 10.1038/ncomms13820

    15. [15]

      HU W, LUO Q, SU Y C, CHEN L, YUE Y, YE C H, DENG F. Acid sites in mesoporous Al-SBA-15 material as revealed by solid-state NMR spectroscopy[J]. Microporous Mesoporous Mater, 2006,92(1):22-30.

    16. [16]

      GURINOV A A, ROZHKOVA Y A, ZUKALA , CEJKA J, SHENDEROVICH I G. Mutable lewis and Brønsted acidity of aluminated SBA-15 as revealed by NMR of adsorbed pyridine-15N[J]. Langmuir, 2011,27(19)12115. doi: 10.1021/la2017566

    17. [17]

      TANG K, SONG L J, DUAN L H, LI X Q, GUI J Z, SUN Z L. Deep desulfurization by selective adsorption on a heteroatoms zeolite prepared by secondary synthesis[J]. Fuel Process Technol, 2008,89(1):1-6.  

    18. [18]

      QIN Yu-cai, GAO Xiong-hou, PEI Ting-ting, ZHENG Lan-ge, WANG Lin, MO Zhou-sheng, SONG Li-juan. Adsorption and catalytic conversion of thiophene on Y-type zeolites modified with rare-earth metal ions[J]. J Fuel Chem Technol, 2013,41(7):889-896. doi: 10.3969/j.issn.0253-2409.2013.07.017 

    19. [19]

      ZHANG Chang, QIN Yu-cai, GAO Xiong-hou, ZHANG Hai-tao, MO Zhou-sheng, CHU Chun-yu, ZHANG Xiao-tong, SONG Li-juan. Modulation mechanisms of the acidity and catalytic properties of Y zeolites modified by cerium cations[J]. Acta Phys-Chim Sin, 2015,31(2):344-352.  

    20. [20]

      ZU Yun, QIN Yu-cai, GAO Xiong-hou, MO Zhou-sheng, ZHANG Lei, ZHANG Xiao-tong, SONG Li-juan. Mechanisms of thiophene conversion over the modified Y zeolites under catalytic cracking conditions[J]. J Fuel Chem Technol, 2015,43(7):862-869. doi: 10.3969/j.issn.0253-2409.2015.07.012 

    21. [21]

      DING Run-dong, ZU Yun, ZHOU Chuan-hang, WANG Huan, MO Zhou-sheng, QIN Yu-cai, SUN Zhao-lin, SONG Li-juan. Insight into the correlation between effective adsorption sites and adsorption desulfurization performance of CuNaY zeolite[J]. J Fuel Chem Technol, 2018,46(4):451-458. doi: 10.3969/j.issn.0253-2409.2018.04.010 

    22. [22]

      DUBÉ D, ROYR S, ON D T, BELAND F, KALIAGUINE S. Aluminum chloride grafted mesoporous molecular sieves as alkylation catalysts[J]. Microporous Mesoporous Mater, 2005,79:137-144. doi: 10.1016/j.micromeso.2004.11.002

    23. [23]

      GALLO J M R, BISIO C, GATTI G, MARCHESE L, PASTORE H O. Physicochemical characterization and surface acid properties of mesoporous[J]. Langmuir, 2010,26(8):5791-5800. doi: 10.1021/la903661q

    24. [24]

      MARQUES J P, GENER I, AYRAULT P, BORDADO J C, LOPES J M, RIBEIRO F R, GUISNET M. Infrared spectroscopic study of the acid properties of dealuminated BEA zeolites[J]. Microporous Mesoporous Mater, 2003,60:251-262. doi: 10.1016/S1387-1811(03)00382-2

    25. [25]

      EMIES C A. Determination of integrated molar extinction coefficients for infrared absorption bands of pyridine adsorbed on solid acid catalysts[J]. J Catal, 1993,141:347-354. doi: 10.1006/jcat.1993.1145

  • 加载中
    1. [1]

      Zhenxing Liu Jiaen Hu Zishi Cheng Xinqi Hao . 基础有机化学教学中烯烃的氧化反应. University Chemistry, 2025, 40(6): 139-144. doi: 10.12461/PKU.DXHX202408107

    2. [2]

      Qi Zhang Ziyu Liu Hongxia Tan Jun Tong Dazhen Xu . Research Progress on Direct Synthesis of β-Hydroxy Sulfones via Difunctionalization of Olefins. University Chemistry, 2025, 40(11): 199-209. doi: 10.12461/PKU.DXHX202412064

    3. [3]

      Danqing Wu Jiajun Liu Tianyu Li Dazhen Xu Zhiwei Miao . Research Progress on the Simultaneous Construction of C—O and C—X Bonds via 1,2-Difunctionalization of Olefins through Radical Pathways. University Chemistry, 2024, 39(11): 146-157. doi: 10.12461/PKU.DXHX202403087

    4. [4]

      Weihan ZhangMenglu WangAnkang JiaWei DengShuxing Bai . Surface Sulfur Species Influence Hydrogenation Performance of Palladium-Sulfur Nanosheets. Acta Physico-Chimica Sinica, 2024, 40(11): 2309043-0. doi: 10.3866/PKU.WHXB202309043

    5. [5]

      Yufang GAONan HOUYaning LIANGNing LIYanting ZHANGZelong LIXiaofeng LI . Nano-thin layer MCM-22 zeolite: Synthesis and catalytic properties of trimethylbenzene isomerization reaction. Chinese Journal of Inorganic Chemistry, 2024, 40(6): 1079-1087. doi: 10.11862/CJIC.20240036

    6. [6]

      Jiali CHENGuoxiang ZHAOYayu YANWanting XIAQiaohong LIJian ZHANG . Machine learning exploring the adsorption of electronic gases on zeolite molecular sieves. Chinese Journal of Inorganic Chemistry, 2025, 41(1): 155-164. doi: 10.11862/CJIC.20240408

    7. [7]

      Yi RUTao MENGZhaoteng XUEDongsen MAO . Synergistic catalysis of Al distribution and pore structure in ZSM-5 zeolite for bioethanol-to-propylene. Chinese Journal of Inorganic Chemistry, 2026, 42(2): 247-262. doi: 10.11862/CJIC.20250255

    8. [8]

      Jiaxun Wu Mingde Li Li Dang . The R eaction of Metal Selenium Complexes with Olefins as a Tutorial Case Study for Analyzing Molecular Orbital Interaction Modes. University Chemistry, 2025, 40(3): 108-115. doi: 10.12461/PKU.DXHX202405098

    9. [9]

      Lilong Gao Yuhao Zhai Dongdong Zhang Linjun Huang Kunyan Sui . Exploration of Thiol-Ene Click Polymerization in Polymer Chemistry Experiment Teaching. University Chemistry, 2025, 40(4): 87-93. doi: 10.12461/PKU.DXHX202405143

    10. [10]

      Xiaoqi LANWei LILong JINGMengyu SUXiaoling LUOZheng LIUQun TANG . Synthesis, crystal structure, and spectral properties of transition-metal-organic frameworks based on thiophene carboxylic acid ligands. Chinese Journal of Inorganic Chemistry, 2026, 42(2): 309-316. doi: 10.11862/CJIC.20250212

    11. [11]

      Xueqi YangJuntao ZhaoJiawei YeDesen ZhouTingmin DiJun Zhang . 调节NNU-55(Fe)的d带中心以增强CO2吸附和光催化活性. Acta Physico-Chimica Sinica, 2025, 41(7): 100074-0. doi: 10.1016/j.actphy.2025.100074

    12. [12]

      Fei XieChengcheng YuanHaiyan TanAlireza Z. MoshfeghBicheng ZhuJiaguo Yud-Band Center Regulated O2 Adsorption on Transition Metal Single Atoms Loaded COF: A DFT Study. Acta Physico-Chimica Sinica, 2024, 40(11): 2407013-0. doi: 10.3866/PKU.WHXB202407013

    13. [13]

      Hongling Yuan Jialin Xie Jiawei Wang Jixiang Zhao Jiayan Liu Qing Feng Wei Qi Min Liu . Cyclic Olefin Copolymer (COC): The Agile Vanguard in the Realm of Materials. University Chemistry, 2024, 39(7): 294-298. doi: 10.12461/PKU.DXHX202311041

    14. [14]

      Yong Shu Xing Chen Sai Duan Rongzhen Liao . How to Determine the Equilibrium Bond Distance of Homonuclear Diatomic Molecules: A Case Study of H2. University Chemistry, 2024, 39(7): 386-393. doi: 10.3866/PKU.DXHX202310102

    15. [15]

      Xunzhang Fan Yuanjin Zhao Shufang Luo Aihua He . Karl Ziegler: A Pioneer in the Polyolefin Industry – Commemorating the 50th Anniversary of the German Chemist’s Passing. University Chemistry, 2024, 39(8): 389-394. doi: 10.3866/PKU.DXHX202312065

    16. [16]

      Zihao Guo Shichen Ma Kin Shing Chan . 烯烃环化反应中6电子试剂的等瓣相似性和等电子关系. University Chemistry, 2025, 40(6): 160-166. doi: 10.12461/PKU.DXHX202408038

    17. [17]

      Jiamin Li Wenyue Zhong Kin Shing Chan . “烯”君入瓮又入学——据元素周期表与酸碱理论谈烯烃教学. University Chemistry, 2025, 40(6): 177-182. doi: 10.12461/PKU.DXHX202408040

    18. [18]

      Yuhao SUNQingzhe DONGLei ZHAOXiaodan JIANGHailing GUOXianglong MENGYongmei GUO . Synthesis and antibacterial properties of silver-loaded sod-based zeolite. Chinese Journal of Inorganic Chemistry, 2024, 40(4): 761-770. doi: 10.11862/CJIC.20230169

    19. [19]

      Yiping HUANGLiqin TANGYufan JICheng CHENShuangtao LIJingjing HUANGXuechao GAOXuehong GU . Hollow fiber NaA zeolite membrane for deep dehydration of ethanol solvent by vapor permeation. Chinese Journal of Inorganic Chemistry, 2025, 41(2): 225-234. doi: 10.11862/CJIC.20240224

    20. [20]

      Pei LiYuenan ZhengZhankai LiuAn-Hui Lu . Boron-Containing MFI Zeolite: Microstructure Control and Its Performance of Propane Oxidative Dehydrogenation. Acta Physico-Chimica Sinica, 2025, 41(4): 100034-0. doi: 10.3866/PKU.WHXB202406012

Metrics
  • PDF Downloads(7)
  • Abstract views(1691)
  • HTML views(266)

通讯作者: 陈斌, bchen63@163.com
  • 1. 

    沈阳化工大学材料科学与工程学院 沈阳 110142

  1. 本站搜索
  2. 百度学术搜索
  3. 万方数据库搜索
  4. CNKI搜索
Address:Zhongguancun North First Street 2,100190 Beijing, PR China Tel: +86-010-82449177-888
Powered By info@rhhz.net

/

DownLoad:  Full-Size Img  PowerPoint
Return