Citation: Ouyang Feng, Zhang Yingying, Zhang Xingwang, Huang Yiwen, Zhao Bing, Wang Liyan, Song Bo. A Ratiometric Fluorescent Probe for Bisulfite Based on Intramolecular Charge Transfer[J]. Chemistry, ;2019, 82(6): 504-509. shu

A Ratiometric Fluorescent Probe for Bisulfite Based on Intramolecular Charge Transfer

  • Corresponding author: Song Bo, songboliu@sina.com
  • Received Date: 20 December 2018
    Accepted Date: 19 March 2019

Figures(12)

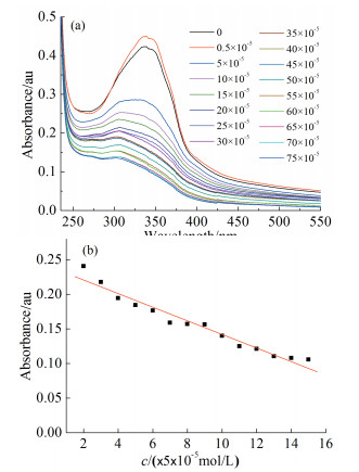
  • In this paper, A hemicyanine dye (HCy) which contains benzaldehyde structure was prepared by one-step reaction of 2-methylbenzothiazole with terephthalaldehyde, Its structure was characterized by 1H NMR and MS. The recognition of HCy to HSO3- in both aqueous and DMSO solution, and the effects on the spectral properties of HCy caused by different environments were tested. The toxicity of HCy to hepatocytes (HL-7702) and hepatoma cells (HepG2) were also investigated. The results showed that this benzaldehyde-based fluorescent probe exhibits excellent selectivity and sensitivity to bisulfite in both aqueous and DMSO solution. In addition, our results also showed that HCy can respond to GSH specifically, and HCy has excellent biocompatibility in the cell experiments.
  • 加载中
    1. [1]

      H Li, Q Yao, J Fan et al. Ind. Eng. Chem. Res., 2016, 55(6):1477~1483. 

    2. [2]

      Y Sun, Y Li, X Ma et al. RSC Adv., 2016, 6(83):79830~79835. 

    3. [3]

      J Singh, M Yadav, A Singh et al. Dalton Transac., 2015, 44(28):12589~12597. 

    4. [4]

      MZhao, D Liu, L Zhou et al. Sens. Actuat. B, 2018, 255:1228~1237. 

    5. [5]

      M Y Wu, K Li, C Y Li et al. Chem. Commun., 2014, 50(2):183~185. 

    6. [6]

      YLiu, K Li, M Y Wu et al. Chem. Commun., 2015, 51(50):10236~10239. 

    7. [7]

      TWei, F Wang, Y Chen et al. Dyes Pigm., 2018, 159:322~330. 

    8. [8]

      JLi, Y Gao, H Guo et al. Dyes Pigm., 2019, 163:285~290. 

    9. [9]

      HWang, X Wu, S Yang et al. Dyes Pigm., 2019, 160:757~764. 

    10. [10]

      JChao, X Wang, Y Liu et al. Sens. Actuat. B, 2018, 272:195~202. 

    11. [11]

      ZChen, F Chen, Y Sun et al. RSC Adv., 2017, 7(5):2573~2577. 

    12. [12]

      JChao, Z Li, Y Zhang et al. J. Mater. Chem. B, 2016, 4(21):3703~3712. 

    13. [13]

      JWu, J Pan, Z Ye et al. Sens. Actuat. B, 2018, 274:274~284. 

    14. [14]

      Y Sun, S Fan, S Zhang et al. Sens. Actuat. B, 2014, 193:173~177. 

    15. [15]

      Y Zhu, W Du, M Zhang et al. J. Mater. Chem. B, 2017, 5(21):3862~3869. 

    16. [16]

      X Guo, W J Zhu, X R Wei et al. Anal. Methods, 2018, 10(31):3872~3877. 

    17. [17]

      X Su, R Hu, X Li et al. Inorg. Chem., 2016, 55(2):745~754. 

    18. [18]

      YWang, Q Meng, R Zhang et al. J. Lumin., 2017, 192:297~302. 

    19. [19]

      LTan, W Lin, S Zhu et al. Org. Biomol. Chem., 2014, 12(26):4637~4643. 

    20. [20]

      H Agarwalla, S Pal, A Paul et al. J. Mater. Chem. B, 2016, 4(48):7888~7894. 

    21. [21]

      DZhang, L Wenya, K Chen et al. RSC Adv., 2016, 6(106):103905~103909. 

    22. [22]

      D P Li, X J Han, Z Q Yan et al. Dyes Pigm., 2018, 151:95~101. 

    23. [23]

      Y Q Sun, P Wang, J Liu et al. Analyst, 2012, 137(15):3430~3433. 

    24. [24]

      G Wang, H Qi, X F Yang. Luminescence, 2013, 28(2):97~101. 

    25. [25]

      L J Zhang, Z Y Wang, J T Liu et al. Sens. Actuat. B, 2017, 253:19~26. 

    26. [26]

      X Cheng, H Jia, J Feng et al. Sens. Actuat. B, 2013, 184:274~280. 

    27. [27]

      L J Zhang, Z Y Wang, X J Cao et al. Sens. Actuat. B, 2016, 236:741~748. 

    28. [28]

      YZhang, L Guan, H Yu et al. Anal. Chem., 2016, 88(8):4426~4431. 

    29. [29]

      SChatterjee, A R Paital. Adv. Funct. Mater., 2018, 28(9):1704726. 

  • 加载中
    1. [1]

      Yanxi LIUMengjia XUHaonan CHENQuan LIUYuming ZHANG . A fluorescent-colorimetric probe for peroxynitrite-anion-imaging in living cells. Chinese Journal of Inorganic Chemistry, 2025, 41(6): 1112-1122. doi: 10.11862/CJIC.20240423

    2. [2]

      Yingpeng ZHANGXingxing LIYunshang YANGZhidong TENG . A pyrazole-based turn-off fluorescent probe for visual detection of hydrazine. Chinese Journal of Inorganic Chemistry, 2025, 41(7): 1301-1308. doi: 10.11862/CJIC.20250064

    3. [3]

      Yuting DUJing YUANPeiyao DENG . Synthesis and application of a fluorescent probe for the detection of reduced glutathione. Chinese Journal of Inorganic Chemistry, 2025, 41(7): 1331-1337. doi: 10.11862/CJIC.20240461

    4. [4]

      Qiang HUZhiqi CHENZhong CHENXu WANGWeina WU . Pyridinium-chalcone-based ClO- fluorescent probe: Preparation and biological imaging applications. Chinese Journal of Inorganic Chemistry, 2025, 41(9): 1789-1795. doi: 10.11862/CJIC.20250086

    5. [5]

      Jinlong YANWeina WUYuan WANG . A simple Schiff base probe for the fluorescent turn-on detection of hypochlorite and its biological imaging application. Chinese Journal of Inorganic Chemistry, 2024, 40(9): 1653-1660. doi: 10.11862/CJIC.20240154

    6. [6]

      Jun LUOBaoshu LIUYunchang ZHANGBingkai WANGBeibei GUOLan SHETianheng CHEN . Europium(Ⅲ) metal-organic framework as a fluorescent probe for selectively and sensitively sensing Pb2+ in aqueous solution. Chinese Journal of Inorganic Chemistry, 2024, 40(12): 2438-2444. doi: 10.11862/CJIC.20240240

    7. [7]

      Pengli GUANRenhu BAIXiuling SUNBin LIU . Trianiline-derived aggregation-induced emission luminogen probe for lipase detection and cell imaging. Chinese Journal of Inorganic Chemistry, 2025, 41(9): 1817-1826. doi: 10.11862/CJIC.20250058

    8. [8]

      Yu SUXinlian FANYao YINLin WANG . From synthesis to application: Development and prospects of InP quantum dots. Chinese Journal of Inorganic Chemistry, 2024, 40(11): 2105-2123. doi: 10.11862/CJIC.20240126

    9. [9]

      Benhua Wang Chaoyi Yao Yiming Li Qing Liu Minhuan Lan Guipeng Yu Yiming Luo Xiangzhi Song . 一种基于香豆素氟离子荧光探针的合成、表征及性能测试——“科研反哺教学”在有机化学综合实验教学中的探索与实践. University Chemistry, 2025, 40(6): 201-209. doi: 10.12461/PKU.DXHX202408070

    10. [10]

      Meirong HANXiaoyang WEISisi FENGYuting BAI . A zinc-based metal-organic framework for fluorescence detection of trace Cu2+. Chinese Journal of Inorganic Chemistry, 2024, 40(8): 1603-1614. doi: 10.11862/CJIC.20240150

    11. [11]

      Yuan ZHUXiaoda ZHANGShasha WANGPeng WEITao YI . Conditionally restricted fluorescent probe for Fe3+ and Cu2+ based on the naphthalimide structure. Chinese Journal of Inorganic Chemistry, 2025, 41(1): 183-192. doi: 10.11862/CJIC.20240232

    12. [12]

      Shuwen SUNGaofeng WANG . Design and synthesis of a Zn(Ⅱ)-based coordination polymer as a fluorescent probe for trace monitoring 2, 4, 6-trinitrophenol. Chinese Journal of Inorganic Chemistry, 2025, 41(4): 753-760. doi: 10.11862/CJIC.20240399

    13. [13]

      Zhifeng CAIYing WUYanan LIGuiyu MENGTianyu MIAOYihao ZHANG . Effective detection of malachite green by folic acid stabilized silver nanoclusters. Chinese Journal of Inorganic Chemistry, 2025, 41(5): 983-993. doi: 10.11862/CJIC.20240394

    14. [14]

      Wei GAOMeiqi SONGXuan RENJianliang BAIJing SUJianlong MAZhijun WANG . A self-calibrating fluorescent probe for the selective detection and bioimaging of HClO. Chinese Journal of Inorganic Chemistry, 2025, 41(6): 1173-1182. doi: 10.11862/CJIC.20250112

    15. [15]

      Lei ZHANGCheng HEYang JIAO . An azo-based fluorescent probe for the detection of hypoxic tumor cells. Chinese Journal of Inorganic Chemistry, 2025, 41(6): 1162-1172. doi: 10.11862/CJIC.20250081

    16. [16]

      Pingping LUShuguang ZHANGPeipei ZHANGAiyun NI . Preparation of zinc sulfate open frameworks based probe materials and detection of Pb2+ and Fe3+ ions. Chinese Journal of Inorganic Chemistry, 2025, 41(5): 959-968. doi: 10.11862/CJIC.20240411

    17. [17]

      Jiakun BAITing XULu ZHANGJiang PENGYuqiang LIJunhui JIA . A red-emitting fluorescent probe with a large Stokes shift for selective detection of hypochlorous acid. Chinese Journal of Inorganic Chemistry, 2024, 40(6): 1095-1104. doi: 10.11862/CJIC.20240002

    18. [18]

      Peiran ZHAOYuqian LIUCheng HEChunying DUAN . A functionalized Eu3+ metal-organic framework for selective fluorescent detection of pyrene. Chinese Journal of Inorganic Chemistry, 2024, 40(4): 713-724. doi: 10.11862/CJIC.20230355

    19. [19]

      Lin LILe CHENLingjie HOUJiaqi JINGJiayu DINGTao ZHOURuiping ZHANG . Smartphone-assisted fluorescent silver nanoclusters as ratiometric sensor for visual colorimetric detection of sulfide. Chinese Journal of Inorganic Chemistry, 2025, 41(11): 2261-2271. doi: 10.11862/CJIC.20250130

    20. [20]

      Yan ZHAOXiaokang JIANGZhonghui LIJiaxu WANGHengwei ZHOUHai GUO . Preparation and fluorescence properties of Eu3+-doped CaLaGaO4 red-emitting phosphors. Chinese Journal of Inorganic Chemistry, 2024, 40(10): 1861-1868. doi: 10.11862/CJIC.20240242

Metrics
  • PDF Downloads(5)
  • Abstract views(702)
  • HTML views(78)

通讯作者: 陈斌, bchen63@163.com
  • 1. 

    沈阳化工大学材料科学与工程学院 沈阳 110142

  1. 本站搜索
  2. 百度学术搜索
  3. 万方数据库搜索
  4. CNKI搜索
Address:Zhongguancun North First Street 2,100190 Beijing, PR China Tel: +86-010-82449177-888
Powered By info@rhhz.net

/

DownLoad:  Full-Size Img  PowerPoint
Return