Citation: Wei Xiaolong, Qian Yaxuan, Zhang Yafang, Wang Zhihua. Development of Methyl Parathim Molecularly Imprinted Electrochemical Sensors Based on Multi-Walled Carbon Nanotubes Supported Gold Nanoparticles[J]. Chemistry, ;2018, 81(3): 223-230. shu

Development of Methyl Parathim Molecularly Imprinted Electrochemical Sensors Based on Multi-Walled Carbon Nanotubes Supported Gold Nanoparticles

  • Corresponding author: Wang Zhihua, zhwang@nwnu.edu.cn
  • Received Date: 2 October 2017
    Accepted Date: 5 December 2017

Figures(10)

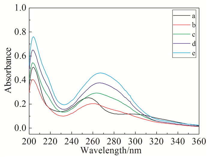
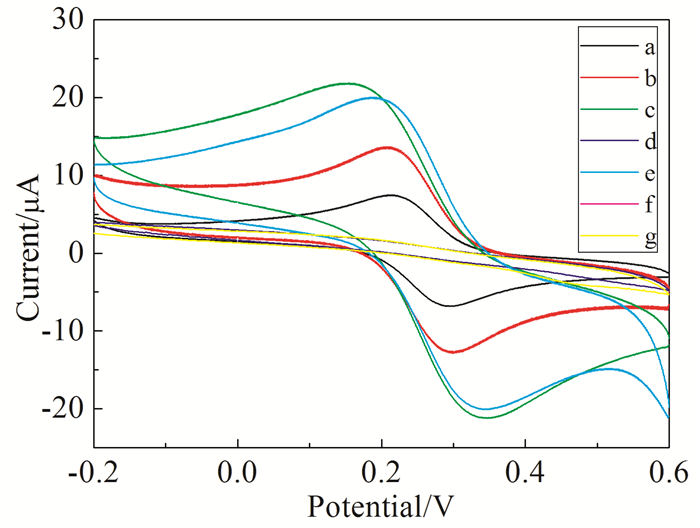
  • The methyl parathion molecularly imprinted electrochemical sensor was constructed based on WMCNTs and AuNPs, with tetramethylthiophenol (p-ATP) as functional monomer and methyl parathion (MP) as template molecule by electrochemical polymerization method. The electrochemical performance, selectivity, reproducibility and stability of the sensor were studied by cyclic voltammetry (CV), electrochemical impedance spectroscopy (EIS) and differential pulse method (DPV). The prepared sensor was used to measure MP in the Yellow River sample with satisfactory results. This method has the advantages of easy preparation, good selectivity, high sensitivity and good reproducibility. It provides a very effective method for analysis of methyl parathion (MP).
  • 加载中
    1. [1]

      A Y Kolosova, J H Park, S A Eremin et al. J. Agr. Food Chem., 2003, 51(5):1107~1114. 

    2. [2]

      D Silva, C M Cortez, J Cunha-Bastos et al. Toxicol. Lett., 2004, 147:53~61. 

    3. [3]

      T H Kim, K Kuca, D Jun et al. Bioorg. Med. Chem. Lett., 2005, 15:2914~2917. 

    4. [4]

      E L Ang, H Zhao, J P Obbard. Enzyme Microb. Tech., 2005, 37:487~496. 

    5. [5]

      R A Videira, M C Medeira, V I Lopes et al. Biochim. Biophys. Acta, 2001, 1511:360~368. 

    6. [6]

      M Martinez Galera, M D Gil Garcia, R Santiago Valverde. Talanta, 2008, 76:815~823. 

    7. [7]

      G Gervais, S Brosillona, A Laplanche et al. J. Chromatogr. A, 2008, 1202:163~172. 

    8. [8]

      H Guan, W E Brewer, S L Morgan. J. Agr. Food Chem., 2009, 57(22):10531~10538. 

    9. [9]

      J W Wong, M G Webster, C A Halverson et al. J. Agr. Food Chem., 2003, 51(5):1148~1161. 

    10. [10]

      J W Wong, M G Webster, D Z Bezabeh et al. J. Agr. Food Chem., 2004, 52(21):6361~6372. 

    11. [11]

      N S Tulve, P A Jones, M G Nishioka et al. Environ. Sci. Technol., 2006, 40:6269~6274. 

    12. [12]

      E Borrás, P Sánchez, A Muñoz et al. Anal. Chim. Acta, 2011, 699:53~65.

    13. [13]

      M R Khalili-Zanjani, Y Yamini, N Yazdanfar et al. Anal. Chim. Acta, 2008, 606:202~208. 

    14. [14]

      A Garrido Frenich, J L Martínez Vidal, A D Cruz Sicilia et al. Anal. Chim. Acta, 2006, 558:42~52. 

    15. [15]

      J Kumar, S F D'Souza. Biosens. Bioelectron., 2010, 26(4):1292~1296. 

    16. [16]

      C Liu, Z Song, J Pan et al. J. Phys. Chem. C, 2013, 117:10445~10453. 

    17. [17]

      M K P Leung, C F Chow, M H W Lam. J. Mater. Chem., 2001, 11(12):2985~2991. 

    18. [18]

      H A Panahi, A Feizbakhsh, S Khaledi et al. Int. J. Pharm., 2013, 441:776~780. 

    19. [19]

      T Selvaraju, R Ramaraj. Electrochem. Commun., 2003, 5:667~672. 

    20. [20]

      S A Piletsky, T L Panasyuk, E V Piletskaya et al. J. Membrane Sci., 1999, 157:263~278. 

    21. [21]

      Z Wang, S Xiao, Y Chen. J. Electroanal. Chem., 2006, 589:237~242. 

    22. [22]

      B Li, J Luo, H Luo et al. Sens. Actuat. B, 2013, 186:96~102. 

    23. [23]

      K Haupt. Analyst, 2001, 126(6):747~756. 

    24. [24]

      L Ye, K Mosbach. Chem. Mater., 2008, 20(3):859~868. 

    25. [25]

      M C Blanco-Lopez, M J Lobo-Castanon, A J Miranda-Ordieres et al. TrAC-Trend. Anal. Chem., 2004, 23:36~48. 

    26. [26]

      D Zhang, D Yu, W Zhao et al. Analyst, 2012, 137(11):2629~2636. 

    27. [27]

      Y Fuchs, O Soppera, K Haupt. Anal. Chim. Acta, 2012, 717:7~20. 

    28. [28]

      C Alexander, H S Andersson, L I Andersson et al. J. Mol.r Recognit., 2006, 19(2):106~180. 

    29. [29]

      C Xie, H Li, S Li et al. Anal. Chem., 2009, 82(1):241~249.

    30. [30]

      J Li, F Jiang, X Wei.. Anal. Chem., 2010, 82(14):6074~6078. 

    31. [31]

      C Fang, C Yi, Y Wang et al. Biosens. Bioelectron., 2009, 24(10):3164~3169. 

    32. [32]

      K El Kirat, M Bartkowski, K Haupt. Biosens. Bioelectron., 2009, 24(8):2618~2624. 

    33. [33]

      J Li, J Zhao, X Wei. Sens. Actuat. B, 2009, 140(2):663~669. 

    34. [34]

      X Xu, G Zhou, H Li et al. Talanta, 2009, 78(1):26~32. 

    35. [35]

      M Govindasamy, S Sakthinathan, S M Chen et al. Electroanalysis, 2017, 29(8):1950~1960. 

    36. [36]

      Y Dai, G D Zhu, X H Shang et al. Electrochem. Commun., 2017, 81:14~17. 

    37. [37]

      S Sakthinathan, S Kubendhiran, S M Chen et al. J. Phys. Chem. C, 2017, 121(26):14096~14107. 

    38. [38]

      T Jeyapragasam, R Saraswathi, S M Chenet al. Int. J. Electrochem. Sci., 2017, 12(6):4768~4781.

  • 加载中
    1. [1]

      Haihua Yang Minjie Zhou Binhong He Wenyuan Xu Bing Chen Enxiang Liang . Synthesis and Electrocatalytic Performance of Iron Phosphide@Carbon Nanotubes as Cathode Material for Zinc-Air Battery: a Comprehensive Undergraduate Chemical Experiment. University Chemistry, 2024, 39(10): 426-432. doi: 10.12461/PKU.DXHX202405100

    2. [2]

      Jiarong Feng Yejie Duan Chu Chu Dezhen Xie Qiu'e Cao Peng Liu . Preparation and Application of a Streptomycin Molecularly Imprinted Electrochemical Sensor: A Suggested Comprehensive Analytical Chemical Experiment. University Chemistry, 2024, 39(8): 295-305. doi: 10.3866/PKU.DXHX202401016

    3. [3]

      Hailang JIAHongcheng LIPengcheng JIYang TENGMingyun GUAN . Preparation and performance of N-doped carbon nanotubes composite Co3O4 as oxygen reduction reaction electrocatalysts. Chinese Journal of Inorganic Chemistry, 2024, 40(4): 693-700. doi: 10.11862/CJIC.20230402

    4. [4]

      Yu Dai Xueting Sun Haoyu Wu Naizhu Li Guoe Cheng Xiaojin Zhang Fan Xia . Determination of the Michaelis Constant for Gold Nanozyme-Catalyzed Decomposition of Hydrogen Peroxide. University Chemistry, 2025, 40(5): 351-356. doi: 10.12461/PKU.DXHX202407052

    5. [5]

      Lin′an CAODengyue MAGang XU . Research advances in electrically conductive metal-organic frameworks-based electrochemical sensors. Chinese Journal of Inorganic Chemistry, 2025, 41(10): 1953-1972. doi: 10.11862/CJIC.20250160

    6. [6]

      Lu XUChengyu ZHANGWenjuan JIHaiying YANGYunlong FU . Zinc metal-organic framework with high-density free carboxyl oxygen functionalized pore walls for targeted electrochemical sensing of paracetamol. Chinese Journal of Inorganic Chemistry, 2024, 40(5): 907-918. doi: 10.11862/CJIC.20230431

    7. [7]

      Jing SUBingrong LIYiyan BAIWenjuan JIHaiying YANGZhefeng Fan . Highly sensitive electrochemical dopamine sensor based on a highly stable In-based metal-organic framework with amino-enriched pores. Chinese Journal of Inorganic Chemistry, 2024, 40(7): 1337-1346. doi: 10.11862/CJIC.20230414

    8. [8]

      Shuhui Li Xucen Wang Yingming Pan . Exploring the Role of Electrochemical Technologies in Everyday Life. University Chemistry, 2025, 40(3): 302-307. doi: 10.12461/PKU.DXHX202406059

    9. [9]

      Xiufang Wang Donglin Zhao Kehua Zhang Xiaojie Song . “Preparation of Carbon Nanotube/SnS2 Photoanode Materials”: A Comprehensive University Chemistry Experiment. University Chemistry, 2024, 39(4): 157-162. doi: 10.3866/PKU.DXHX202308025

    10. [10]

      Bowen YangRui WangBenjian XinLili LiuZhiqiang Niu . C-SnO2/MWCNTs Composite with Stable Conductive Network for Lithium-based Semi-Solid Flow Batteries. Acta Physico-Chimica Sinica, 2025, 41(2): 100015-0. doi: 10.3866/PKU.WHXB202310024

    11. [11]

      Hao BAIWeizhi JIJinyan CHENHongji LIMingji LI . Preparation of Cu2O/Cu-vertical graphene microelectrode and detection of uric acid/electroencephalogram. Chinese Journal of Inorganic Chemistry, 2024, 40(7): 1309-1319. doi: 10.11862/CJIC.20240001

    12. [12]

      Lina Liu Xiaolan Wei Jianqiang Hu . Exploration of Subject-Oriented Undergraduate Comprehensive Chemistry Experimental Teaching Based on the “STS Concept”: Taking the Experiment of Gold Nanoparticles as an Example. University Chemistry, 2024, 39(10): 337-343. doi: 10.12461/PKU.DXHX202405112

    13. [13]

      Yang MeiqingLu WangHaozi LuYaocheng YangSong Liu . Recent Advances of Functional Nanomaterials for Screen-Printed Photoelectrochemical Biosensors. Acta Physico-Chimica Sinica, 2025, 41(2): 100018-0. doi: 10.3866/PKU.WHXB202310046

    14. [14]

      Shuhong XiangLv YangYingsheng XuGuoxin CaoHongjian Zhou . Selective electrosorption of Cs(Ⅰ) from high-salinity radioactive wastewater using CNT-interspersed potassium zinc ferrocyanide electrodes. Acta Physico-Chimica Sinica, 2025, 41(9): 100097-0. doi: 10.1016/j.actphy.2025.100097

    15. [15]

      Chen PuDaijie DengHenan LiLi Xu . Fe0.64Ni0.36@Fe3NiN Core-Shell Nanostructure Encapsulated in N-Doped Carbon Nanotubes for Rechargeable Zinc-Air Batteries with Ultralong Cycle Stability. Acta Physico-Chimica Sinica, 2024, 40(2): 2304021-0. doi: 10.3866/PKU.WHXB202304021

    16. [16]

      Yongming Guo Jie Li Chaoyong Liu . Green Improvement and Educational Design in the Synthesis and Characterization of Silver Nanoparticles. University Chemistry, 2024, 39(3): 258-265. doi: 10.3866/PKU.DXHX202309057

    17. [17]

      Jie WEIQing ZHOUDandan DINGXiang JINGFei LI . Photothermal toxicity of Prussian blue nanoparticles to cervical cancer cells. Chinese Journal of Inorganic Chemistry, 2025, 41(11): 2345-2357. doi: 10.11862/CJIC.20240435

    18. [18]

      Gaopeng LiuLina LiBin WangNingjie ShanJintao DongMengxia JiWenshuai ZhuPaul K. ChuJiexiang XiaHuaming Li . Construction of Bi Nanoparticles Loaded BiOCl Nanosheets Ohmic Junction for Photocatalytic CO2 Reduction. Acta Physico-Chimica Sinica, 2024, 40(7): 2306041-0. doi: 10.3866/PKU.WHXB202306041

    19. [19]

      Huihui LIUBaichuan ZHAOChuanhui WANGZhi WANGCongyun ZHANG . Green synthesis of MIL-101/Au composite particles and their sensitivity to Raman detection of thiram. Chinese Journal of Inorganic Chemistry, 2024, 40(10): 2021-2030. doi: 10.11862/CJIC.20240059

    20. [20]

      Jie XIEHongnan XUJianfeng LIAORuoyu CHENLin SUNZhong JIN . Nitrogen-doped 3D graphene-carbon nanotube network for efficient lithium storage. Chinese Journal of Inorganic Chemistry, 2024, 40(10): 1840-1849. doi: 10.11862/CJIC.20240216

Metrics
  • PDF Downloads(4)
  • Abstract views(2371)
  • HTML views(1275)

通讯作者: 陈斌, bchen63@163.com
  • 1. 

    沈阳化工大学材料科学与工程学院 沈阳 110142

  1. 本站搜索
  2. 百度学术搜索
  3. 万方数据库搜索
  4. CNKI搜索
Address:Zhongguancun North First Street 2,100190 Beijing, PR China Tel: +86-010-82449177-888
Powered By info@rhhz.net

/

DownLoad:  Full-Size Img  PowerPoint
Return