Citation: Fan Lingling, Li Yi, Luo Bilan, Fan Judi, Li yong, Tang Lei. Syntheses and Anti-Platelet Aggregations Activity Evaluations of Pyrazines[J]. Chemistry, ;2019, 82(2): 128-132. shu

Syntheses and Anti-Platelet Aggregations Activity Evaluations of Pyrazines

  • Corresponding author: Tang Lei, 2317972657@qq.com
  • Received Date: 10 September 2018
    Accepted Date: 5 October 2018

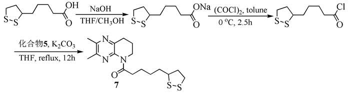
Figures(5)

Metrics
  • PDF Downloads(8)
  • Abstract views(738)
  • HTML views(67)

通讯作者: 陈斌, bchen63@163.com
  • 1. 

    沈阳化工大学材料科学与工程学院 沈阳 110142

  1. 本站搜索
  2. 百度学术搜索
  3. 万方数据库搜索
  4. CNKI搜索
Address:Zhongguancun North First Street 2,100190 Beijing, PR China Tel: +86-010-82449177-888
Powered By info@rhhz.net

/

DownLoad:  Full-Size Img  PowerPoint
Return