Citation: Sunitha. M, Durgadevi. N, Asha Sathish, Ramachandran. T. Performance evaluation of nickel as anode catalyst for DMFC in acidic and alkaline medium[J]. Journal of Fuel Chemistry and Technology, ;2018, 46(5): 592-599. shu

Performance evaluation of nickel as anode catalyst for DMFC in acidic and alkaline medium

  • Corresponding author: Asha Sathish, s_asha@cb.amrita.edu
  • Received Date: 13 December 2017
    Revised Date: 21 February 2018

Figures(11)

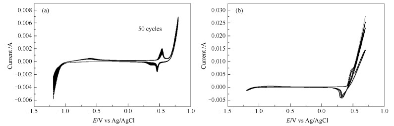
  • Direct methanol fuel cell (DMFC) research is highly focused due to its high energy density, portability and inexpensive. In the present study conventional platinum catalyst used for methanol oxidation is being replaced with nickel catalyst supported over nickel mesh. The electrode is synthesized by single step electro deposition technique. Synthesized electrode was characterized by SEM, EDAX and AFM techniques to know the surface morphology, composition and thickness of the catalyst respectively. The electro catalytic behavior of the nickel for methanol oxidation was evaluated using cyclic voltammetry technique. As the DMFC is compatible with both the acidic and alkaline electrolytes the working of the nickel mesh electrode is analyzed in both media. The results showed maximum current density of 0.025 and 0.030 A/cm2 in alkaline and acidic medium respectively with less potential around 0.4 and 0.2 V. The other parameters such as varying the concentration of methanol, electrolyte medium, scan rate and thickness of the catalytic layer were analyzed and optimized.
  • 加载中
    1. [1]

      YI Q, HUANG W, JZHANG J, LIU X, LI L. Methanol oxidation on titanium-supported nano-scale Ni flakes[J]. Catal Commun, 2008,9(10):2053-2058. doi: 10.1016/j.catcom.2008.03.051

    2. [2]

      QIAO Y, LI C. Nanostructured catalysts in fuel cells[J]. J Mater Chem, 2011,21(12):4027-4036. doi: 10.1039/C0JM02871A

    3. [3]

      ANTOLINI E, SALGADO J, GONZALEZ E. The methanol oxidation reaction on platinum alloys with the first row transition metals-The case of Pt-Co and-Ni alloy electrocatalysts for DMFCs:A short review[J]. Appl Catal B:Environ, 2006,63(1/2):137-149.  

    4. [4]

      COLMENARES L, GUERRINI E, JUSYS X, NAGABHUSHANA K S, DINJUS E, BEHRENS S, HABICHT W, BONNEMANN H, BEHM R J. Activity, selectivity, and methanol tolerance of novel carbon-supported Pt and Pt3Me (Me=Ni, Co) cathode catalysts[J]. J Appl Electrochem, 2007,37(12):1413-1427. doi: 10.1007/s10800-007-9353-x

    5. [5]

      FENG Y, YANG J, LIU H, YE F, YANG J. Selective electrocatalysts toward a prototype of the membraneless direct methanol fuel cell[J]. Scientific Reports, 4, 3813:1-7. doi: 10.1038/srep03813

    6. [6]

      WANG C, REN F, ZHAI C, ZHANG K, YANG B, BIN D, WANG H, YANG P, DU Y. Au-Cu-Pt ternary catalyst fabricated by electro deposition and galvanic replacement with superior methanol electro oxidation activity[J]. RSC Adv, 2014,4(101):57600-57607. doi: 10.1039/C4RA08949A

    7. [7]

      JING M, JIANG L, YI B, SUN G. Comparative study of methanol adsorption and electro-oxidation on carbon supported platinum in acidic and alkaline electrolytes[J]. J Electroanal Chem, 2013,68:172-179.  

    8. [8]

      AMIN R S, HAMEED R M A, EL-KHATIB K M. Microwave heated synthesis of carbon supported Pd, Ni and Pd-Ni nanoparticles for methanol oxidation in KOH solution[J]. Appl Catal B:Environ, 2014,148:557-567.  

    9. [9]

      ANTOLINI E, GONZALEZ E R. Effect of synthesis method and structural characteristics of Pt-Sn fuel cell catalysts on the electro-oxidation of CH3OH and CH3CH2OH in acid medium[J]. Cataly Today, 2011,160(1):28-38. doi: 10.1016/j.cattod.2010.07.018

    10. [10]

      LIMA A, COUTANCEAU C, LEA J M, LAMY C. Investigation of ternary catalysts for methanol electro oxidation[J]. J Appl Electrochem, 2001,31(4):376-386.  

    11. [11]

      HSIEH C, WEI J, LIN J, HAO B. Preparation of Pt-Co nanocatalysts on carbon nanotube electrodes for direct methanol fuel cells[J]. Diamond Relat Mater, 2011,20(7):1065-1071. doi: 10.1016/j.diamond.2010.10.009

    12. [12]

      XIONG L, YANG X, XU M, XU Y, WU D. Pt-Ni alloy nanoparticles supported on multiwalled carbon nanotubes for methanol oxidation in alkaline media[J]. J Solid State Electrochem, 2013,17(3):805-810. doi: 10.1007/s10008-012-1905-2

    13. [13]

      SANDOVAL-GONZ'ALEZ A, BORJA-ARCO E, ESCALANTE J, JIM'ENEZ O, GAMBOA S A. Methanol oxidation reaction on PtSnO2 obtained by microwave-assisted chemical reduction[J]. Int J Hydrogen Energy, 2012,37(2):1752-1759. doi: 10.1016/j.ijhydene.2011.10.049

    14. [14]

      PARK K W, CHOI J H, LEE S A, PAK C, CHANG H, SUNG Y E. PtRuRhNi nanoparticle electro catalyst for methanol electro oxidation in direct methanol fuel cell[J]. J Catal, 2004,224(2):236-242. doi: 10.1016/j.jcat.2004.02.010

    15. [15]

      RAHIM M A A, HAMEED R M H, KHALIL M W. Nickel as a catalyst for the electro-oxidation of methanol in alkaline medium[J]. J Power Sources, 2004,134(2):160-169. doi: 10.1016/j.jpowsour.2004.02.034

    16. [16]

      SKOWRONI J M, ZNYN A W. Nickel foam-based composite electrodes for electro oxidation of methanol[J]. J Solid State Electrochem, 2005,9(12):890-899. doi: 10.1007/s10008-005-0046-2

    17. [17]

      GOLIKAND A N, ASGARI M, GHANNADI M, SHAHROKHIAN S M. Methanol electro oxidation on a nickel electrode modified by nickel-dimethylglyoxime complex formed by electrochemical synthesis[J]. J Electroanaly Chem, 2006,588(1):155-160. doi: 10.1016/j.jelechem.2005.11.033

    18. [18]

      DURGADEVI N, SUNITHA M, ASHA S, GUHAN S, RAMACHANDRAN T. Electro oxidation of methanol on Ni/Ni-Co coated SS mesh electrode[J]. Indian J Sci Technol, 2016,9(1):1-10.  

    19. [19]

      DAS S, DUTTA K, KUNDU P P. Nickel nanocatalysts supported on sulfonated polyaniline:Potential toward methanol oxidation and as anode materials for DMFCs[J]. J Mater Chem A, 2015,3(21):11349-11357. doi: 10.1039/C5TA01837D

    20. [20]

      TOMINAKA S, MOMMA T, OSAKA T. Electrodeposited Pd-Co catalyst for direct methanol fuel cell electrodes:Preparation and characterization[J]. Electrochim Acta, 2008,53(14):4679-4686. doi: 10.1016/j.electacta.2008.01.069

    21. [21]

      YU E H, SCOTT K. Direct methanol alkaline fuel cell with catalyzed metal mesh anodes[J]. Electrochem Commun, 2004,6(21):361-365.  

    22. [22]

      YI Q, HUANG W, YU W, LI L, LIU X P. Fabrication of novel titanium-supported Ni-Sn catalysts for methanol electro-oxidation[J]. Chin J Chem, 2008,26(8):1367-1372. doi: 10.1002/cjoc.v26:8

    23. [23]

      HOSSEINI M G, ABDOLMALEKI M, ASHRAFPOOR S. Methanol electro oxidation on a porous nanostructured Ni/PdNi electrode in alkaline media[J]. Chin J Catal, 2013,34(9):1712-1719. doi: 10.1016/S1872-2067(12)60643-3

    24. [24]

      TELLI E, SOLMAZ R, KARDA G. Electro catalytic oxidation of methanol on Pt/NiZn electrode in alkaline medium[J]. Russian J Electrochem, 2011,47(7):811-818. doi: 10.1134/S1023193511070135

    25. [25]

      SHEIKH A M, EBN-ALWALED ABD-AlFTAH K, MALFATTI C F. On reviewing the catalyst materials for direct alcohol fuel cells (DAFCs)[J]. JMEST, 2014,1(3):1-10.  

    26. [26]

      SEROV A, KWAK C. Review of non-platinum anode catalysts for DMFC and PEMFC application[J]. Appl Catal B:Environ, 2009,90(3/4):313-320.  

    27. [27]

      TRIPKOVIC A V, POPOVIC K D, GRGUR B N, BLIZANAC B, ROSS P N, MARKOVIC N M. Methanol electro oxidation on supported Pt and Pt/Ru catalysts in acid and alkaline solutions[J]. Electrochim Acta, 2002,47(22/23):3707-3714.  

    28. [28]

      JAFARIAN M, MOGHADDAM R B, MAHJANI M G, GOBAL A F. Electro-catalytic oxidation of methanol on a Ni-Cu alloy in alkaline medium[J]. J Appl Electrochem, 2006,36(8):913-918. doi: 10.1007/s10800-006-9155-6

    29. [29]

      MATHIYARASU J, REMONA A M, MANI A, PHANI K L N, YEGNARAMAN V. Exploration of electrodeposited platinum alloy catalysts for methanol electro-oxidation in 0.5 M H2SO4[J]. J Solid State Electrochem, 2004,81(12):968-975.  

    30. [30]

      SANLI A E, AYTAÇ A. Electrochemistry of the nickel electrode as a cathode catalyst in the media of acidic peroxide for application of the peroxide fuel cell[J]. J Electrochem Soc, 2012,42(1):3-22.  

    31. [31]

      PEIRIS M C R, UDUGALA-GANEHENEGE M Y. Electro catalytic activity of (Bis (salicylaldehyde) ethylenediamino) Ni (I) complex for CO2 reduction[J]. INJSED, 2016,7(2):91-94.  

    32. [32]

      BARAKAT N A M, MOTLAK M, KIM B, EL-DEEN A, HAMZAF A M. Carbon nanofibers doped by NixCo1-x alloy nanoparticles as effective and stable non precious electro catalyst for methanol oxidation in alkaline media[J]. J Mol Catal A:Chem, 2014,394:177-187. doi: 10.1016/j.molcata.2014.07.011

    33. [33]

      RISBUD M S, BAXTER S, SKYLLAS-KAZACOS M. Preparation of nickel modified carbon fibre electrodes and their application for methanol oxidation[J]. Open Fuels Energy Sci J, 2012,5:9-20. doi: 10.2174/1876973X01205010009

    34. [34]

      SANTASALO-AARNIO A, TUOMI S, JALKANEN K, KONTTURI K, KALLIO T. The correlation of electrochemical and fuel cell results for alcohol oxidation in acidic and alkaline media[J]. Electrochim Acta, 2013,87:730-738. doi: 10.1016/j.electacta.2012.09.100

    35. [35]

      TARRUS X, MONTIEL M, VALLES R, GOMEZ E. Electro catalytic oxidation of methanol on CoNi electrodeposited materials[J]. Int J Hydrogen Energy, 2014,39(12):6705-6713. doi: 10.1016/j.ijhydene.2014.02.057

    36. [36]

      OJANI R, RAOOF J, ZAVVARMAHALLEH S R H. Electro catalytic oxidation of methanol on carbon paste electrode modified by nickel ions dispersed into poly (1, 5-diaminonaphthalene) film[J]. Electrochimi Acta, 2008,53(5):2402-2407. doi: 10.1016/j.electacta.2007.10.004

    37. [37]

      HAMEED R M A, AMIN R S. Influence of metal oxides on platinum activity towards methanol oxidation in H2SO4 solution[J]. Chem Phys Chem, 2016,17(7):1054-1061. doi: 10.1002/cphc.v17.7

    38. [38]

      ALLEN R, CHAN L, YANG L, SCOTT K, ROY S. Novel anode structure for direct methanol fuel cell[J]. J Power Sources, 2005,143(1/2):142-149.  

    39. [39]

      DENG Z, YI Q, ZHANG Y, NIE H. NiCo/C-N/CNT composite catalysts for electro-catalytic oxidation of methanol and ethanol[J]. J Electroanal Chem, 2017,803:95-103. doi: 10.1016/j.jelechem.2017.09.025

  • 加载中
    1. [1]

      Peng ZhangYitao YangTian QinXueqiu WuYuechang WeiJing XiongXi LiuYu WangZhen ZhaoJinqing JiaoLiwei Chen . Interface engineering of Pt/CeO2-{100} catalysts for enhancing catalytic activity in auto-exhaust carbon particles oxidation. Chinese Chemical Letters, 2025, 36(2): 110396-. doi: 10.1016/j.cclet.2024.110396

    2. [2]

      Yunli XuXuwen DaLei WangYatong PengWanpeng ZhouXiulian LiuYao WuWentao WangXuesong WangQianxiong Zhou . Ru(Ⅱ)-based aggregation-induced emission (AIE) agents with efficient 1O2 generation, photo-catalytic NADH oxidation and anticancer activity. Chinese Chemical Letters, 2025, 36(5): 110168-. doi: 10.1016/j.cclet.2024.110168

    3. [3]

      Ping Liu Fei Yu . Covalent organic framework ionomers for medium-temperature fuel cells. Chinese Journal of Structural Chemistry, 2025, 44(4): 100465-100465. doi: 10.1016/j.cjsc.2024.100465

    4. [4]

      Hao WANGKun TANGJiangyang SHAOKezhi WANGYuwu ZHONG . Electro-copolymerized film of ruthenium catalyst and redox mediator for electrocatalytic water oxidation. Chinese Journal of Inorganic Chemistry, 2024, 40(11): 2193-2202. doi: 10.11862/CJIC.20240176

    5. [5]

      Yufeng ZHANGHaotian QIJingya ZHONGLeiming LANGGuojun YUANSiqi LUHaiying WANGGuangxiang LIU . S-anion effects on the improvement of adsorption capacity and performance for benzyl alcohol electro-oxidation catalysts. Chinese Journal of Inorganic Chemistry, 2025, 41(12): 2591-2600. doi: 10.11862/CJIC.20250282

    6. [6]

      Kaili WangPengcheng LiuMingzhe WangTianran WeiJitao LuXingling ZhaoZaiyong JiangZhimin YuanXijun LiuJia He . Modulating d-d orbitals coupling in PtPdCu medium-entropy alloy aerogels to boost pH-general methanol electrooxidation performance. Chinese Chemical Letters, 2025, 36(4): 110532-. doi: 10.1016/j.cclet.2024.110532

    7. [7]

      Xiaoxue LiHongwei ZhouRongrong QianXu ZhangLei Yu . A concise synthesis of Se/Fe materials for catalytic oxidation reactions of anthracene and polyene. Chinese Chemical Letters, 2025, 36(3): 110036-. doi: 10.1016/j.cclet.2024.110036

    8. [8]

      Xinyu Zeng Zhuofan Zeng Qingqing Hu Kejun Liu Lei Ming Bei Cheng Wang Wang Guoqiang Luo Shaowen Cao . Hierarchical Pt/NiO hollow nanofibers for catalytic oxidation of HCHO at room temperature. Chinese Journal of Structural Chemistry, 2025, 44(6): 100575-100575. doi: 10.1016/j.cjsc.2025.100575

    9. [9]

      Zijie LinQing Li . Covalent organic framework ionomers enable synergistic efficient transport of protons and oxygen in medium-temperature proton exchange membrane fuel cells. Chinese Chemical Letters, 2026, 37(1): 111784-. doi: 10.1016/j.cclet.2025.111784

    10. [10]

      Anqiu LIULong LINDezhi ZHANGJunyu LEIKefeng WANGWei ZHANGJunpeng ZHUANGHaijun HAO . Synthesis, structures, and catalytic activity of aluminum and zinc complexes chelated by 2-((2,6-dimethylphenyl)amino)ethanolate. Chinese Journal of Inorganic Chemistry, 2024, 40(4): 791-798. doi: 10.11862/CJIC.20230424

    11. [11]

      Guoping YangZhoufu LinXize ZhangJiawei CaoXuejiao ChenYufeng LiuXiaoling LinKe Li . Assembly of Y(Ⅲ)-containing antimonotungstates induced by malic acid with catalytic activity for the synthesis of imidazoles. Chinese Chemical Letters, 2024, 35(12): 110274-. doi: 10.1016/j.cclet.2024.110274

    12. [12]

      Sanmei WangDengxin YanWenhua ZhangLiangbing Wang . Graphene-supported isolated platinum atoms and platinum dimers for CO2 hydrogenation: Catalytic activity and selectivity variations. Chinese Chemical Letters, 2025, 36(4): 110611-. doi: 10.1016/j.cclet.2024.110611

    13. [13]

      Qing LiBing WangQi XuRuiyou LiuChen LiFang LuoYifei LiYingjie YuZehui Yang . Pt dopants in ruthenium/iridium oxides promote catalytic activity in overall acidic water splitting. Chinese Chemical Letters, 2025, 36(12): 111658-. doi: 10.1016/j.cclet.2025.111658

    14. [14]

      Dou ZhangXinyi CaiYimin LiYong LiuLong QiuZhenying DiaoXuyi LiuYuta NishinaYajuan ZouJianbo SunShujing LiangDaxiang CuiTing Yin . Nanozyme with dual enzyme activity mediating cascade catalytic therapy synergize multiple functions for antitumor therapy. Chinese Chemical Letters, 2026, 37(3): 111569-. doi: 10.1016/j.cclet.2025.111569

    15. [15]

      Xinyi Hu Riguang Zhang Zhao Jiang . Depositing the PtNi nanoparticles on niobium oxide to enhance the activity and CO-tolerance for alkaline methanol electrooxidation. Chinese Journal of Structural Chemistry, 2023, 42(11): 100157-100157. doi: 10.1016/j.cjsc.2023.100157

    16. [16]

      Meng WangYan ZhangYunbo YuWenpo ShanHong He . High-temperature calcination dramatically promotes the activity of Cs/Co/Ce-Sn catalyst for soot oxidation. Chinese Chemical Letters, 2025, 36(1): 109928-. doi: 10.1016/j.cclet.2024.109928

    17. [17]

      Shiqi PengYongfang RaoTan LiYufei ZhangJun-ji CaoShuncheng LeeYu Huang . Regulating the electronic structure of Ir single atoms by ZrO2 nanoparticles for enhanced catalytic oxidation of formaldehyde at room temperature. Chinese Chemical Letters, 2024, 35(7): 109219-. doi: 10.1016/j.cclet.2023.109219

    18. [18]

      Zeyu JiangYadi WangChangwei ChenChi He . Progress and challenge of functional single-atom catalysts for the catalytic oxidation of volatile organic compounds. Chinese Chemical Letters, 2024, 35(9): 109400-. doi: 10.1016/j.cclet.2023.109400

    19. [19]

      Dongsheng YangZixin LiYaoyao LianZiyao FuTianjiao LiPengtao MaGuoping Yang . A novel square-shaped Zr-substituted polyoxotungstate for the efficient catalytic oxidation of sulfide to sulfone. Chinese Chemical Letters, 2025, 36(3): 109717-. doi: 10.1016/j.cclet.2024.109717

    20. [20]

      Qingbai TianBingLiang YuZhihao LiWei HongQian LiXing Xu . Versatile catalytic membranes anchored with metal-nitrogen based metal oxides for ultrafast Fenton-like oxidation. Chinese Chemical Letters, 2025, 36(6): 110322-. doi: 10.1016/j.cclet.2024.110322

Metrics
  • PDF Downloads(10)
  • Abstract views(797)
  • HTML views(62)

通讯作者: 陈斌, bchen63@163.com
  • 1. 

    沈阳化工大学材料科学与工程学院 沈阳 110142

  1. 本站搜索
  2. 百度学术搜索
  3. 万方数据库搜索
  4. CNKI搜索
Address:Zhongguancun North First Street 2,100190 Beijing, PR China Tel: +86-010-82449177-888
Powered By info@rhhz.net

/

DownLoad:  Full-Size Img  PowerPoint
Return