Citation: Yang Hankun, Wu Xue, Hou Xinmei, Su Lei, Zhang Xueji. Porous Fe-N-C Nanoparticle Clusters for Selective Electrochemical Detection of Dopamine[J]. Chemistry, ;2018, 81(6): 507-516. shu

Porous Fe-N-C Nanoparticle Clusters for Selective Electrochemical Detection of Dopamine

Figures(8)

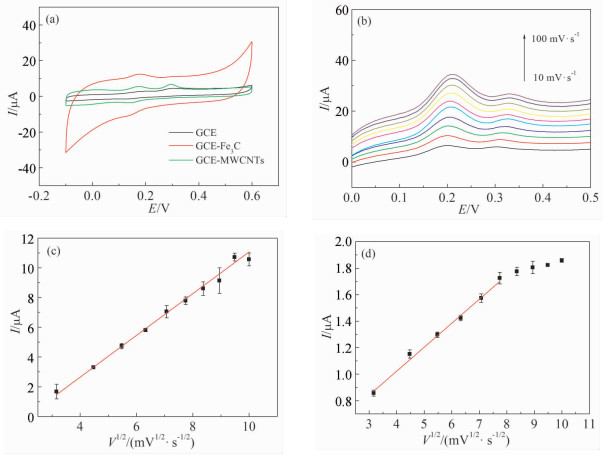
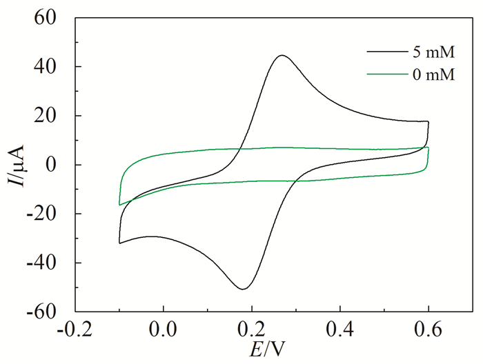
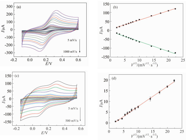
  • Dopamine (DA) is an important neurotransmitter of the human nervous system, and a key marker of neural disease in the clinical diagnosis. In this study, we prepared porous Fe-N-C nanoparticle clusters from Prussian blue (PB) to modify a glassy carbon electrode (GCE). The modified electrode was used to selectively detect DA in a phosphate buffer containing 100μmol/L uric acid (UA) and 100μmol/L ascorbic acid (AA) with linear sweep voltammetry (LSV) and differential pulse voltammetry (DPV). The results showed that the modified electrode can eliminate interference of AA and reduce the signal of UA. The liner range exhibits two segment, i.e., 5 to 100μmol/L and 100 to 700μmol/L, respectively, the sensitivity is 8.32×10-2 A·(mol/L)-1 and 3.44×10-2 A·(mol/L)-1, respectively, and the limit of detection (LOD) is 5μmol/L with the LSV method. These results indicated that the porous Fe-N-C nanoparticle clusters is outstanding for selectively electrochemical detection of DA.
  • 加载中
    1. [1]

      M C Evans, G M Anderson. J. Mol. Endocrinol., 2017, 58(2):107-128. 

    2. [2]

      N L Jenni, J D Larkin, S B Floresco. J. Neurosci., 2017, 37(26):6200-6213.. 

    3. [3]

      C C Ho, S J Ding. J. Mater. Sci. Mater. M., 2013, 24(10):2381-2390. 

    4. [4]

      J J Weinstein, M O Chohan, M Slifstein et al. Biol. Psychiat., 2017, 81(1):31-42. 

    5. [5]

      L M Birioukova, E Y Sitnikova, M A Kulikov et al. Bull. Exp. Biol. Med., 2016, 161(5):662-665. 

    6. [6]

      S Anette, S Uzma, F Anastasiou et al. Lancet Neurol., 2017, 16(1):66-75. 

    7. [7]

      K Washida, H Kowa, Y Yamamoto et al. Psychogeriatrics, 2017, 17(1):73-75. 

    8. [8]

      T E Osinga, T P Links, R P F Dullaart et al. FASEB J., 2017, 31(6):2226-2240. 

    9. [9]

      M Bozin, A Lamb, L J Putra. Urol. Case. Rep., 2017, 12:51-53. 

    10. [10]

      Y Matsuda, N Kimura, T Yoshimoto et al. Endocr. Pathol., 2017, 28(1):36-40. 

    11. [11]

      V Cidoni, A Castiglioni, C Seca et al. Neurochem. Int., 2016,101:132-143. 

    12. [12]

      S K George, M T Dipu, U R Mehra et al. J. Chromatogr. B, 2006, 832(1):134-137. 

    13. [13]

      R D Rithesh, S Prasanth, T V Vineeshkumar et al. Sensor. Actuat. B, 2016, 224:600-606. 

    14. [14]

      J Lu, C Xu, H Nan et al. Appl. Phys. Lett., 2016, 109(7):073701. 

    15. [15]

      D Wen, W Liu, A K Herrmann et al. Small, 2016, 12(18):2439-2442. 

    16. [16]

      S Yang, X Sun, Z Wang et al. Sensor. Actuat. B, 2017, 253:752-758. 

    17. [17]

      D Diaz-Diestra, B Thapa, J Beltran-Huarac et al. Biosens. Bioelectron., 2017, 87:693-700. 

    18. [18]

      W Gao, L Qi, Z Liu et al. Sensor. Actuat. B, 2017, 238:468-472. 

    19. [19]

      W Zhao, B Ni, Q Yuan et al. Langmuir, 2017, 33(32):8070-8075. 

    20. [20]

      H Zhou, J Chen, T Huang et al. New J. Chem., 2017, 41(5):2081-2089. 

    21. [21]

      L Zhao, Z Cai, Q Yao et al. Sensor. Actuat. B, 2017, 253:1113-1119. 

    22. [22]

      C Sumathi, R C Venkateswara, P Muthukumaran et al. J. Mater. Chem. B, 2016, 4(15):2561-2569. 

    23. [23]

      J Jin, D Lee, H G Im et al. J. Alloy. Compd., 2016, 689:174-181. 

    24. [24]

      G Gao, Z Zhang, K Wang et al. Nanoscale, 2017, 9(31):10998-11003. 

    25. [25]

      M Liu, Y Song, S He et al. Biosens. Bioelectron., 2013, 48:75-81. 

    26. [26]

      W Yang, Y Yu, Y Tang et al. Nanoscale, 2017, 9(3):1022-1027. 

    27. [27]

      E Haghshenas, T Madrakian, A Afkhami. Anal. Bioanal. Chem., 2016, 408(10):2577-2586. 

    28. [28]

      I M Taylor, E M Robbins, K A Catt et al. Biosens. Bioelectron., 2017, 89(1):400-410.

    29. [29]

      R A Thearle, N M Latiff, Z Sofer et al. Electroanalysis, 2017, 29(1):45-50. 

    30. [30]

       

    31. [31]

      Y J Yang, W Li. Biosens. Bioelectron., 2014, 56:300-306. 

    32. [32]

      J Fang, Z Xie, G Wallace et al. Appl. Surf. Sci., 2017, 412:131-137. 

    33. [33]

      M M I Khan, G W Baek, K Kim et al. Electroanalysis, 2017, 29(8):1925-1933. 

    34. [34]

       

    35. [35]

      E K Savan, A Pasşahan, B Aksoy et al. Int. J. Polym. Mater., 2015, 65(8):402-408. 

    36. [36]

      Y Li, Y Gu, B Zheng et al. Talanta, 2017, 162:80-89. 

    37. [37]

      A P Sandoval-Rojas, L Ibarra, M T Cortés et al. Inorg. Chem. Acta., 2017, 459:95-102. 

    38. [38]

      A Ozcan, S Ilkbas, A A Ozcan. Talanta, 2017, 165:489-495. 

    39. [39]

      B J Sanghavi, S M Mobin, P Mathur et al. Biosens. Bioelectron., 2013, 39(1):124-132. 

    40. [40]

      X Liu. Int. J. Electrochem. Sci., 2016:9696-9703. 

    41. [41]

       

    42. [42]

       

    43. [43]

      Y Liao, K Pan, L Wang et al. ACS Appl. Mater. Interf., 2013, 5(9):3663-3670. 

    44. [44]

      I Klawitter, M R Anneser, S Dechert et al. Organometallics, 2015, 34(12):2819-2825. 

    45. [45]

      H Peng, Z Mo, S Liao et al. Sci. Rep., 2013, 3(1):1765. 

    46. [46]

      H Yang, J Xiao, L Su et al. Chem. Commun., 2017, 53(27):3882-3885. 

    47. [47]

      R Qiang, Y Du, H Zhao et al. J. Mater. Chem. A, 2015, 3(25):13426-13434. 

    48. [48]

      Y Hou, M Qiu, G Nam et al. Adv. Energy Mater., 2014, 4(11):1400337. 

    49. [49]

      R Zhou, S Qiao. Chem. Commun., 2015, 51(35):7516-7519. 

    50. [50]

      J Chen, X Cui, W Zheng. Catal. Commun., 2015, 60:37-41. 

    51. [51]

      B V Crist. Handbook of monochromatic XPS spectra, The elements of native Oxides. Wiley-VCH, 2000. 

    52. [52]

      M E Warwick, K Kaunisto, D Barreca et al. ACS Appl. Mater. Interf., 2015, 7(16):8667-8676. 

    53. [53]

      T Wen, X Wang, J Wang et al. Inorg. Chem. Front., 2016, 3(10):1227-1235. 

    54. [54]

      I Taurino, S Carrara, M Giorcelli et al. Surf. Sci., 2012, 606(3-4):156-160. 

    55. [55]

      D T Fagan, I F Hu, T Kuwana. Anal. Chem., 1985, 57(14):2759-2763. 

    56. [56]

      M Zhang, K Liu, L Xiang et al. Anal. Chem., 2007, 79(17):6559-6565. 

  • 加载中
    1. [1]

      Jie WEIQing ZHOUDandan DINGXiang JINGFei LI . Photothermal toxicity of Prussian blue nanoparticles to cervical cancer cells. Chinese Journal of Inorganic Chemistry, 2025, 41(11): 2345-2357. doi: 10.11862/CJIC.20240435

    2. [2]

      Zhuoya WANGLe HEZhiquan LINYingxi WANGLing LI . Multifunctional nanozyme Prussian blue modified copper peroxide: Synthesis and photothermal enhanced catalytic therapy of self-provided hydrogen peroxide. Chinese Journal of Inorganic Chemistry, 2024, 40(12): 2445-2454. doi: 10.11862/CJIC.20240194

    3. [3]

      Jing SUBingrong LIYiyan BAIWenjuan JIHaiying YANGZhefeng Fan . Highly sensitive electrochemical dopamine sensor based on a highly stable In-based metal-organic framework with amino-enriched pores. Chinese Journal of Inorganic Chemistry, 2024, 40(7): 1337-1346. doi: 10.11862/CJIC.20230414

    4. [4]

      Tiantian MASumei LIChengyu ZHANGLu XUYiyan BAIYunlong FUWenjuan JIHaiying YANG . Methyl-functionalized Cd-based metal-organic framework for highly sensitive electrochemical sensing of dopamine. Chinese Journal of Inorganic Chemistry, 2024, 40(4): 725-735. doi: 10.11862/CJIC.20230351

    5. [5]

      Peiyu Zhang Aixin Song Jingcheng Hao Jiwei Cui . 高频超声法制备聚多巴胺薄膜综合实验. University Chemistry, 2025, 40(6): 210-214. doi: 10.12461/PKU.DXHX202407081

    6. [6]

      Siwei Lv Tantian Tan Xinyue Li Siyan Zhang Mingyuan Zhang Minghao Li Hangshuo Guo Zhaorong Li Liangjie Dong Fengshuo Zhang Junlong Zhao . Competition of the “King of Transboundary Medicine”. University Chemistry, 2024, 39(9): 102-108. doi: 10.12461/PKU.DXHX202403034

    7. [7]

      Jiakun BAITing XULu ZHANGJiang PENGYuqiang LIJunhui JIA . A red-emitting fluorescent probe with a large Stokes shift for selective detection of hypochlorous acid. Chinese Journal of Inorganic Chemistry, 2024, 40(6): 1095-1104. doi: 10.11862/CJIC.20240002

    8. [8]

      Junjie Zhang Yue Wang Qiuhan Wu Ruquan Shen Han Liu Xinhua Duan . Preparation and Selective Separation of Lightweight Magnetic Molecularly Imprinted Polymers for Trace Tetracycline Detection in Milk. University Chemistry, 2024, 39(5): 251-257. doi: 10.3866/PKU.DXHX202311084

    9. [9]

      Lijun Yue Siya Liu Peng Liu . 不同晶相纳米MnO2的制备及其对生物乙醇选择性氧化催化性能的测试——一个科研转化的综合化学实验. University Chemistry, 2025, 40(8): 225-232. doi: 10.12461/PKU.DXHX202410005

    10. [10]

      Lin LILe CHENLingjie HOUJiaqi JINGJiayu DINGTao ZHOURuiping ZHANG . Smartphone-assisted fluorescent silver nanoclusters as ratiometric sensor for visual colorimetric detection of sulfide. Chinese Journal of Inorganic Chemistry, 2025, 41(11): 2261-2271. doi: 10.11862/CJIC.20250130

    11. [11]

      Qingtang ZHANGXiaoyu WUZheng WANGXiaomei WANG . Performance of nano Li2FeSiO4/C cathode material co-doped by potassium and chlorine ions. Chinese Journal of Inorganic Chemistry, 2024, 40(9): 1689-1696. doi: 10.11862/CJIC.20240115

    12. [12]

      Qin Hou Jiayi Hou Aiju Shi Xingliang Xu Yuanhong Zhang Yijing Li Juying Hou Yanfang Wang . Preparation of Cuprous Iodide Coordination Polymer and Fluorescent Detection of Nitrite: A Comprehensive Chemical Design Experiment. University Chemistry, 2024, 39(8): 221-229. doi: 10.3866/PKU.DXHX202312056

    13. [13]

      Jiayu Huang Kuan Chang Qi Liu Yameng Xie Zhijia Song Zhiping Zheng Qin Kuang . Fe-N-C nanostick derived from 1D Fe-ZIFs for Electrocatalytic oxygen reduction. Chinese Journal of Structural Chemistry, 2023, 42(10): 100097-100097. doi: 10.1016/j.cjsc.2023.100097

    14. [14]

      Shuhong XiangLv YangYingsheng XuGuoxin CaoHongjian Zhou . Selective electrosorption of Cs(Ⅰ) from high-salinity radioactive wastewater using CNT-interspersed potassium zinc ferrocyanide electrodes. Acta Physico-Chimica Sinica, 2025, 41(9): 100097-0. doi: 10.1016/j.actphy.2025.100097

    15. [15]

      Weichen ZhuWei ZuoPu WangWei ZhanJun ZhangLipin LiYu TianHong QiRui Huang . Fe-N-C heterogeneous Fenton-like catalyst for the degradation of tetracycline: Fe-N coordination and mechanism studies. Chinese Chemical Letters, 2024, 35(9): 109341-. doi: 10.1016/j.cclet.2023.109341

    16. [16]

      Shengbiao Zheng Liang Li Nini Zhang Ruimin Bao Ruizhang Hu Jing Tang . Metal-Organic Framework-Derived Materials Modified Electrode for Electrochemical Sensing of Tert-Butylhydroquinone: A Recommended Comprehensive Chemistry Experiment for Translating Research Results. University Chemistry, 2024, 39(7): 345-353. doi: 10.3866/PKU.DXHX202310096

    17. [17]

      Liwei Wang Guangran Ma Li Wang Fugang Xu . A Comprehensive Analytical Chemistry Experiment: Colorimetric Detection of Vitamin C Using Nanozyme and Smartphone. University Chemistry, 2024, 39(8): 255-262. doi: 10.3866/PKU.DXHX202312094

    18. [18]

      Jun HuangPengfei NieYongchao LuJiayang LiYiwen WangJianyun Liu . 丝光沸石负载自支撑氮掺杂多孔碳纳米纤维电容器及高效选择性去除硬度离子. Acta Physico-Chimica Sinica, 2025, 41(7): 100066-0. doi: 10.1016/j.actphy.2025.100066

    19. [19]

      Dingwen CHENSiheng YANGHaiyan FUHua CHENXueli ZHENGWeichao XUEJiaqi XURuixiang LI . NiOOH-mediated synthesis of gold nanoaggregates for electrocatalytic performance for selective oxidation of glycerol to glycolate. Chinese Journal of Inorganic Chemistry, 2025, 41(11): 2317-2326. doi: 10.11862/CJIC.20250053

    20. [20]

      Zhi Chai Huashan Huang Xukai Shi Yujing Lan Zhentao Yuan Hong Yan . Wittig反应的立体选择性. University Chemistry, 2025, 40(8): 192-201. doi: 10.12461/PKU.DXHX202410046

Metrics
  • PDF Downloads(3)
  • Abstract views(518)
  • HTML views(116)

通讯作者: 陈斌, bchen63@163.com
  • 1. 

    沈阳化工大学材料科学与工程学院 沈阳 110142

  1. 本站搜索
  2. 百度学术搜索
  3. 万方数据库搜索
  4. CNKI搜索
Address:Zhongguancun North First Street 2,100190 Beijing, PR China Tel: +86-010-82449177-888
Powered By info@rhhz.net

/

DownLoad:  Full-Size Img  PowerPoint
Return