Citation: YUE Xu, WANG Sheng, GAO Yang, LIU Xu, LI De-yi, WANG Jian-cheng, HAO Bing-yuan, WANG Shu-dong. Thermodynamics analysis on the adsorption behaviors of VOCs on various adsorbents[J]. Journal of Fuel Chemistry and Technology, ;2020, 48(6): 752-760. shu

Thermodynamics analysis on the adsorption behaviors of VOCs on various adsorbents

  • Corresponding author: WANG Sheng, wangsheng@dicp.ac.cn
  • Received Date: 13 January 2020
    Revised Date: 22 May 2020

    Fund Project: Dalian Institute of Chemical Physics DICP I201937The project was supported by the National Key Research and Development Program of China 2016YFC0204302The project was supported by The project was supported by the National Key Research and Development Program of China (2016YFC0204302), National Natural Science Foundation of China (21676267) and Dalian Institute of Chemical Physics (DICP I201937)National Natural Science Foundation of China 21676267

Figures(6)

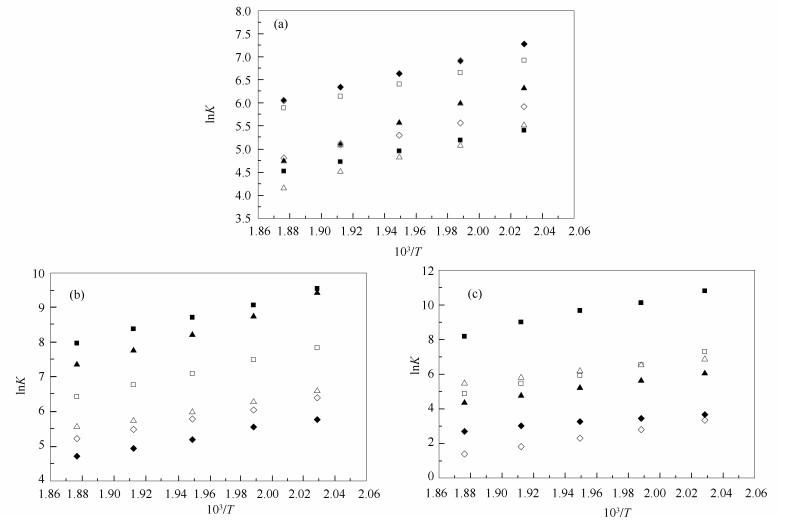
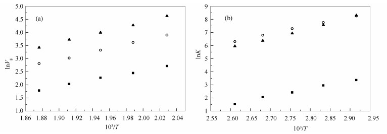
  • The adsorption and desorption behaviors of n-hexane, toluene and ethyl acetate on activated carbon, 5A, NaY, 13X, ZSM-5 (SiO2/Al2O3=27, 300), Hβ and MCM-41 at different temperatures were investigated by chromatography method and thermogravimetry (TG).And the adsorption thermodynamic parameters (ΔH, ΔS and ΔG) were calculated based on the results obtained by inverse gas chromatography, by which, the interactions between adsorbent and VOC molecules were elucidated. In addition, the adsorption mechanisms of VOC molecules on molecular sieves were confirmed based on FT-IR results. There are two modes of spontaneous adsorption involving physical and chemical adsorptions. The physical adsorption strength is dependent on the pore size distribution of the adsorbent and the molecular diameter of the adsorbate, while the chemical adsorption strength is associated with the Si/Al ratio of the molecular sieve, the cations of Ca2+, Na+, H+, and the dipole moment of the adsorbate molecules. Meanwhile, the presence of strong chemical adsorption makes desorption temperature up to 200℃.
  • 加载中
    1. [1]

      LI Chang-ying, CHEN Ming-gong, SHENG Nan, LIU Qi-fei, HU Zu-he, FANG Min, ZHANG Tao. The characteristics and development of volatile organic compounds treatment technology[J]. Chem Ind Eng Prog, 2016,35(3):917-925.  

    2. [2]

      XUE Meng-ting, LI Yong. Research progress on adsorption properties of volatile organic compounds on molecular sieves[J]. Inorg Chem Ind, 2019,51(5):12-16.  

    3. [3]

      SUN Jian, DAI Wei-jie, XIAO Wei-hao, GUO Chun-mei, KONG Fan-xin, CHEN Jin-fu. Research progress of absorption material for volatile organic compounds[J]. Mod Chem Ind, 2017,37(7):58-62.  

    4. [4]

      YUE Xu, WANG Sheng, LIU Xu, LI De-yi, WANG Shu-dong, WANG Jian-cheng, HAO Bing-yuan. Insights on dynamics adsorption/desorption of volatile organic compounds on different adsorbents[J]. J Fuel Chem Technol, 2020,48(1):120-128.

    5. [5]

      ASKIN A, INEL O G. Evaluation of the heat of adsorption of some n-alkanes on alumina and zeolite by inverse gas chromatography[J]. Sep Sci Technol, 2001,36(3):381-397.  

    6. [6]

      CANET X, GILLES F, SU B L, DE WEIRELD G, FRERE M, MOUGIN P. Adsorption of alkanes and aromatic compounds on various faujasites in the Henry domain. 2. Composition effect in X and Y zeolites[J]. J Chem Eng Data, 2007,52(6):2127-2137.  

    7. [7]

      RUTHVEN D M, KAUL B K. Adsorption of aromatic-hydrocarbons in nax zeolite.1. Equilibrium[J]. Ind Eng Chem Res, 1993,32(9):2047-2052.  

    8. [8]

      DIAZ E, ORDONEZ S, VEGA A, COCA J. Adsorption characterisation of different volatile organic compounds over alumina, zeolites and activated carbon using inverse gas chromatography[J]. J Chromatogr A, 2004,1049(1/2):139-146.  

    9. [9]

      MILONJIC S K. Surface properties of metal ions modified silicas[J]. Colloid Surf A, 1999,149(1/3):461-466.  

    10. [10]

      SERRANO D P, CALLEJA G, BOTAS J A, GUTIERREZ F J. Characterization of adsorptive and hydrophobic properties of silicalite-1, ZSM-5, TS-1 and Beta zeolites by TPD techniques[J]. Sep Purif Technol, 2007,54(1):1-9.  

    11. [11]

      ANGELL C L, HOWELL M V. Infrared spectroscopic investigations of zeolites and adsorbed molecules:III. Aromatic hydrocarbons[J]. J Colloid Interface Sci, 1968,28(2):279-287.  

    12. [12]

      WANG L, SUN B, YANG F H, YANG R T. Effects of aromatics on desulfurization of liquid fuel by π-complexation and carbon adsorbents[J]. Chem Eng Sci, 2012,73:208-217.  

    13. [13]

      IRA N. LEVINE. Physical Chemistry[M]. 6th ed. New York: McGraw-Hill Education, 2008: 570-575.

    14. [14]

      CANET X, NOKERMAN J, FRERE M. Determination of the Henry constant for zeolite-VOC systems using massic and chromatographic adsorption data[J]. Adsorption, 2005,11(1):213-216.  

  • 加载中
    1. [1]

      Xinghong CaiQiang YangYao TongLanyin LiuWutang ZhangSam ZhangMin Wang . AlO2: A novel two-dimensional material with a high negative Poisson's ratio for the adsorption of volatile organic compounds. Chinese Chemical Letters, 2025, 36(2): 109586-. doi: 10.1016/j.cclet.2024.109586

    2. [2]

      Fengmei Wang Xin Zhang Hong Yan Xiangyu Xu Guirong Wang . Inverted 'Π' Graphic Memory Method for Thermodynamic Basic Equations and the Application in Teaching Practice. University Chemistry, 2025, 40(11): 369-375. doi: 10.12461/PKU.DXHX202412087

    3. [3]

      Chunguang Rong Miaojun Xu Xingde Xiang Song Liu . 化学热力学熵变计算的教学探讨. University Chemistry, 2025, 40(8): 323-329. doi: 10.12461/PKU.DXHX202409146

    4. [4]

      Jianchun Wang Ruyu Xie . The Fantastical Dance of Miss Electron: Contra-Thermodynamic Electrocatalytic Reactions. University Chemistry, 2025, 40(4): 331-339. doi: 10.12461/PKU.DXHX202406082

    5. [5]

      Tongqi Ye Yanqing Wang Qi Wang Huaiping Cong Xianghua Kong Yuewen Ye . Reform of Classical Thermodynamics Curriculum from the Perspective of Computational Chemistry. University Chemistry, 2025, 40(7): 387-392. doi: 10.12461/PKU.DXHX202409128

    6. [6]

      Xiaohui Li Ze Zhang Jingyi Cui Juanjuan Yin . Advanced Exploration and Practice of Teaching in the Experimental Course of Chemical Engineering Thermodynamics under the “High Order, Innovative, and Challenging” Framework. University Chemistry, 2024, 39(7): 368-376. doi: 10.3866/PKU.DXHX202311027

    7. [7]

      Ruming Yuan Pingping Wu Laiying Zhang Xiaoming Xu Gang Fu . Patriotic Devotion, Upholding Integrity and Innovation, Wholeheartedly Nurturing the New: The Ideological and Political Design of the Experiment on Determining the Thermodynamic Functions of Chemical Reactions by Electromotive Force Method. University Chemistry, 2024, 39(4): 125-132. doi: 10.3866/PKU.DXHX202311057

    8. [8]

      Ziyu Bai Jiaxin Zhou Sisi Zhao Siyu Teng Xinxin Li Xiting Wang Yuwei Dong Zhen Zhao . Delving into the Captivating Color Transformation of Cobalt: Digital Empowerment of Intelligent Visual Robot Monitoring System for Measuring Thermodynamic Parameters. University Chemistry, 2026, 41(1): 122-132. doi: 10.12461/PKU.DXHX202505103

    9. [9]

      Yiying Yang Dongju Zhang . Elucidating the Concepts of Thermodynamic Control and Kinetic Control in Chemical Reactions through Theoretical Chemistry Calculations: A Computational Chemistry Experiment on the Diels-Alder Reaction. University Chemistry, 2024, 39(3): 327-335. doi: 10.3866/PKU.DXHX202309074

    10. [10]

      Yue Wu Jun Li Bo Zhang Yan Yang Haibo Li Xian-Xi Zhang . Research on Kinetic and Thermodynamic Transformations of Organic-Inorganic Hybrid Materials for Fluorescent Anti-Counterfeiting Application information: Introducing a Comprehensive Chemistry Experiment. University Chemistry, 2024, 39(6): 390-399. doi: 10.3866/PKU.DXHX202403028

    11. [11]

      Yuchen ZhouHuanmin LiuHongxing LiXinyu SongYonghua TangPeng Zhou . Designing thermodynamically stable noble metal single-atom photocatalysts for highly efficient non-oxidative conversion of ethanol into high-purity hydrogen and value-added acetaldehyde. Acta Physico-Chimica Sinica, 2025, 41(6): 100067-0. doi: 10.1016/j.actphy.2025.100067

    12. [12]

      Qingtao Niu Xinyao Xu Weiyue Yu Shuxiang Meng Zhiguo Lv Manman Jin . Exploration and Practice of Science-Education Integration in Chemical Engineering Thermodynamics Teaching for Chemical Engineering Majors: A Case of Chemical Engineering Physical Property Data Estimation and Chemical Reaction Equilibrium. University Chemistry, 2025, 40(10): 1-9. doi: 10.12461/PKU.DXHX202412029

    13. [13]

      Yuan YangYue WangXi WangHanshuang LiXiaoli WuYurong DengChengbin Zheng . High-throughput miniaturized purge-and-trap device integrating semiconductor refrigeration storage for on-site extraction and long-term preservation of VOCs in water. Chinese Chemical Letters, 2025, 36(10): 111395-. doi: 10.1016/j.cclet.2025.111395

    14. [14]

      Jianan Zhang Mengzhen Xu Jiamin Liu Yufei He . 面向“双碳”目标的脱氯吸附剂开发研究型综合实验设计. University Chemistry, 2025, 40(6): 248-255. doi: 10.12461/PKU.DXHX202408068

    15. [15]

      Zunxiang Zeng Yuling Hu Yufei Hu Hua Xiao . Analysis of Plant Essential Oils by Supercritical CO2Extraction with Gas Chromatography-Mass Spectrometry: An Instrumental Analysis Comprehensive Experiment Teaching Reform. University Chemistry, 2024, 39(3): 274-282. doi: 10.3866/PKU.DXHX202309069

    16. [16]

      Shunü Peng Huamin Li Zhaobin Chen Yiru Wang . Simultaneous Application of Multiple Quantitative Analysis Methods in Gas Chromatography for the Determination of Active Ingredients in Traditional Chinese Medicine Preparations. University Chemistry, 2025, 40(10): 243-249. doi: 10.12461/PKU.DXHX202412043

    17. [17]

      Lingyu Chang Yanfang Lang Yuyan Zhu Jie Wang Ying Guo Die Wang Peng Ding Yueming Zhou Zhixiang Gong Shujuan Liu . Machine Learning-Optimized Microcolumn Ion Exchange Chromatography for Trace Arsenic Determination. University Chemistry, 2026, 41(1): 76-84. doi: 10.12461/PKU.DXHX202506023

    18. [18]

      Xiaowu Zhang Pai Liu Qishen Huang Shufeng Pang Zhiming Gao Yunhong Zhang . Acid-Base Dissociation Equilibrium in Multiphase System: Effect of Gas. University Chemistry, 2024, 39(4): 387-394. doi: 10.3866/PKU.DXHX202310021

    19. [19]

      Fang Niu Rong Li Qiaolan Zhang . Analysis of Gas-Solid Adsorption Behavior in Resistive Gas Sensing Process. University Chemistry, 2024, 39(8): 142-148. doi: 10.3866/PKU.DXHX202311102

    20. [20]

      Tong Wang Liangyu Hu Shiqi Chen Xinqiang Fu Rui Wang Kun Li Shuangyan Huan . Determination of Benzenediol Isomers in Cosmetics Using High-Performance Liquid Chromatography Empowered by “Mathematical Separation”. University Chemistry, 2026, 41(1): 9-19. doi: 10.12461/PKU.DXHX202503128

Metrics
  • PDF Downloads(12)
  • Abstract views(860)
  • HTML views(64)

通讯作者: 陈斌, bchen63@163.com
  • 1. 

    沈阳化工大学材料科学与工程学院 沈阳 110142

  1. 本站搜索
  2. 百度学术搜索
  3. 万方数据库搜索
  4. CNKI搜索
Address:Zhongguancun North First Street 2,100190 Beijing, PR China Tel: +86-010-82449177-888
Powered By info@rhhz.net

/

DownLoad:  Full-Size Img  PowerPoint
Return