Citation: PENG Bing-xian, WU Dai-she, ZHOU Ai-hong. Study on release and transformation of iodine from anthracite during combustion[J]. Journal of Fuel Chemistry and Technology, ;2017, 45(3): 265-271. shu

Study on release and transformation of iodine from anthracite during combustion

  • Corresponding author: PENG Bing-xian, pbingxian@163.com
  • Received Date: 16 December 2016
    Revised Date: 5 February 2017

    Fund Project: Scientific and Technological Plan Project of Jiangxi Province in China 20141BBG70008the Natural Science Foundation of Jiangxi Province in China 20142BAB203020

Figures(5)

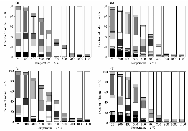
  • Modes of iodine occurrence in 4 Chinese anthracites and the combustion residues obtained at each temperature were extracted with sequential chemical extraction. The coal combustion was simulated with a tube furnace, the effects and mechanisms of heating temperature, heating time, O2 flow rate and water vapor on iodine release and transformation behavior during anthracite combustion were investigated. The results showed iodine in anthracites can present typically in three main modes of occurrence:organic matter-bound, Fe-Mn oxide-bound and water-soluble form. Temperature had a pronounced effect on iodine release and transformation. Iodine release increased with the increase of temperature, and 500-900℃ was a main stage for iodine release. Before 700℃, some forms of iodine which include water-soluble, ion-exchangeable and organic matter-bound iodine can be almost emitted completely and partly transformed into the carbonate-bound, Fe-Mn oxide-bound and residue-bound iodine. The Fe-Mn oxide-bound iodine may be mainly emitted in 700-900℃, and the residue-bound iodine was emitted partly before 1 100℃.Moreover, the iodine release from anthracite increased with the increase of heating time and O2 flow rate, and water vapor can obviously promote the iodine release. 93.8%-95.9% of iodine may be emitted in the form of HI and I2 at the given experimental condition of 1 100℃, water vapor access, O2 flow rate of 120 mL/min and combustion time of 20 min.
  • 加载中
    1. [1]

      IEA, World Energy Outlook, International Energy Agency, 2013.

    2. [2]

      XIN H H, WANG D M, QI X Y, QI G S, DOU G L. Structural characteristics of coal functional groups using quantum chemistry for quantification of infrared spectra[J]. Fuel Process Technol, 2014,118:287-295. doi: 10.1016/j.fuproc.2013.09.011

    3. [3]

      ZHOU H, ZHOU B, LI L, ZHANG H. Experimental measurement of the effective thermal conductivity of ash deposit for high sodium coal (Zhun Dong coal) in a 300 KW test furnace[J]. Energy Fuels, 2013,27(11):7008-7022. doi: 10.1021/ef4012017

    4. [4]

      FUGE R, JOHNSON C C. Iodine and human health, the role of environmental geochemistry and diet, a review[J]. Appl Geochem, 2015,63:282-302. doi: 10.1016/j.apgeochem.2015.09.013

    5. [5]

      STAGNARO-GREEN A, SULLIVAN S, PEARCE E N. Iodine supplementation during pregnancy and lactation[J]. JAMA, 2012,308(23):2463-2464. doi: 10.1001/jama.2012.45423

    6. [6]

      BETTINELLI M, SPEZIA S, MINOIA C, RONCHI A. Determination of chlorine, fluorine, bromine, and iodine in coals with ICP-MS and IC[J]. Atom Spectrosc, 2002,23(4):105-110.

    7. [7]

      LUCY J C. Iodine in the marine boundary layer[J]. Chem Rev, 2003,103(12):4953-4962. doi: 10.1021/cr0206465

    8. [8]

      LANDSBERGER S, VERMETTE V G, WOLFE M, POWELL M A. Determination of halogens in coal using thermal and epithermal neutron activation analysis[J]. J Coal Qual, 1989,8:95-97.

    9. [9]

      JAWOROWSKI Z, KOWNACKA L. Tropospheric and stratospheric distributions of radioactive iodine and cesium after the Chernobyl accident[J]. J Environ Radioact, 1988,6(2):145-150. doi: 10.1016/0265-931X(88)90057-4

    10. [10]

      WU D, DENG H, ZHENG B, WANG W, TANG X, XIAO H. Iodine in Chinese coals and its geochemistry during coalification[J]. Appl Geochem, 2008,23(8):2082-2090. doi: 10.1016/j.apgeochem.2008.04.022

    11. [11]

      TANG Xiu-yi, HUANG Wen-hui. Trace Elements in Chinese Coal[M]. Beijing:Commercial Press, 2004:165.

    12. [12]

      WU D, DU J, DENG H, WANG W, XIAO H, LI P. Estimation of atmospheric iodine emission from coal combustion[J]. Int J Environ Sci Technol, 2014,11:357-366. doi: 10.1007/s13762-013-0193-4

    13. [13]

      MEIJ R, WINKEL TE H. The emissions of heavy metals and persistent organic pollutants from modern coal-fired power stations[J]. Atmos Environ, 2007,41(40):9262-9272. doi: 10.1016/j.atmosenv.2007.04.042

    14. [14]

      GAO Yun-chuan, WU Xiao-wei, SUN Ming-xing, GAO Qin-fen, LIU Yong-di. Behavior of trace elements bromine and iodine during coal combustion process[J]. J East China Univer Sci Technol, 2010,36(4):482-487.  

    15. [15]

      PENG B X, LI L, WU D S. Distribution of bromine and iodine in thermal power plant[J]. J Coal Sci Eng, 2013,19(3):387-391. doi: 10.1007/s12404-013-0320-3

    16. [16]

      RATAFIA-BROWN J A. Overview of trace elements partitioning in flames and furnaces of utility coal-fired boilers[J]. Fuel Proces Technol, 1994,39(2):139-157.  

    17. [17]

      BLÄSING M, NAZERI K, MÜLLER M. Release of alkali metal, sulphur and chlorine species during high-temperature gasification and co-gasification of hard coal, refinery residue, and petroleum coke[J]. Fuel, 2014,126:62-68. doi: 10.1016/j.fuel.2014.02.042

    18. [18]

      VASSILEV S V, ESKENAZY G M, VASSILEVA C G. Contents, modes of occurrence and behaviour of chlorine and bromine in combustion wastes from coal-fired power stations[J]. Fuel, 2000,79(8):923-937. doi: 10.1016/S0016-2361(99)00231-8

    19. [19]

      IZQUIERDO M, QUEROL X. Leaching behaviour of elements from coal combustion fly ash:An overview[J]. Int J Coal Geol, 2012,94:54-66. doi: 10.1016/j.coal.2011.10.006

    20. [20]

      SIA S G, ABDULLAH W H. Enrichment of arsenic, lead, and antimony in Balingian coal from Sarawak, Malaysia:Modes of occurrence, origin, and partitioning behavior during coal combustion[J]. Int J Coal Geol, 2012,101:1-15. doi: 10.1016/j.coal.2012.07.005

    21. [21]

      PENG Bing-xian, WU Dai-she. Modes of iodine occurrence in bituminous coal and anthracite and their environmental effects[J]. J Fuel Chem Technol, 2012,40(3):257-262. doi: 10.1016/S1872-5813(12)60013-9 

    22. [22]

      WU D S, DENG H W, WANG W Y, XIAO H Y. Catalytic spectrophotometric determination of iodine in coal by pyrohydrolysis decomposition[J]. Anal Chim Acta, 2007,601(2):183-188. doi: 10.1016/j.aca.2007.08.041

    23. [23]

      SWAINE D J. Trace Elements in Coal[M]. Butterworth, London, 1990.

    24. [24]

      GUO R X, YANG J L, LIU D Y, LIU Z Y. Transformation behavior of trace elements during coal pyrolysis[J]. Fuel Process Technol, 2002,77-78(20):137-143.  

  • 加载中
    1. [1]

      Lin Ding Jinpeng Zhang Junfeng Li Daying Liu . Color Catcher: A Marvelous Encounter of Starch and Iodine. University Chemistry, 2024, 39(6): 334-341. doi: 10.3866/PKU.DXHX202311064

    2. [2]

      Hongting Yan Aili Feng Rongxiu Zhu Lei Liu Dongju Zhang . Reexamination of the Iodine-Catalyzed Chlorination Reaction of Chlorobenzene Using Computational Chemistry Methods. University Chemistry, 2025, 40(3): 16-22. doi: 10.12461/PKU.DXHX202403010

    3. [3]

      Jing JINZhuming GUOZhiyin XIAOXiujuan JIANGYi HEXiaoming LIU . Tuning the stability and cytotoxicity of fac-[Fe(CO)3I3]- anion by its counter ions: From aminiums to inorganic cations. Chinese Journal of Inorganic Chemistry, 2024, 40(5): 991-1004. doi: 10.11862/CJIC.20230458

    4. [4]

      Houzhen Xiao Mingyu Wang Yong Liu Bangsheng Lao Lingbin Lu Minghuai Yu . Course Ideological and Political Design of Combustion Heat Measurement Experiment. University Chemistry, 2024, 39(2): 7-13. doi: 10.3866/PKU.DXHX202310011

    5. [5]

      Tianrong Zhu Fan Yu Yuhang Liu Haiyi Xu Tingting Ma Ming Li Yuhang Xue Yazhen Wang Aihua Li Biao Xiao Xiaolun Peng . Intelligent Visualization, Precise Iodometry: Color Recognition-based Indirect Iodometric Method for Copper Determination. University Chemistry, 2026, 41(1): 264-275. doi: 10.12461/PKU.DXHX202503096

    6. [6]

      Ruoxi RUNJikai ZHULixia HANZhiyin XIAOXiujuan JIANGJing JIN . Red light-induced CO-release from manganese carbonyl complexes. Chinese Journal of Inorganic Chemistry, 2025, 41(12): 2575-2583. doi: 10.11862/CJIC.20250132

    7. [7]

      Shuyong Zhang Yaxian Zhu Wenqing Zhang Yuzhi Wang Jing Lu . Ideological and Political Design of Combustion Heat Measurement Experiment: Determination of Heat Value of Agricultural and Forestry Wastes. University Chemistry, 2024, 39(2): 1-6. doi: 10.3866/PKU.DXHX202303026

    8. [8]

      Jing Kang Tianyuan Zhao Qian Zhang Zhiwen Zhang Yanyuan Jia Alideertu Dong . Spotlight on Chlorine: An Innovative Iodometric Method for Visualizing Residual Chlorine. University Chemistry, 2026, 41(3): 343-350. doi: 10.12461/PKU.DXHX202506050

    9. [9]

      Ruitong Zhang Zhiqiang Zeng Xiaoguang Zhang . Improvement of Ethyl Acetate Saponification Reaction and Iodine Clock Reaction Experiments. University Chemistry, 2024, 39(8): 197-203. doi: 10.3866/PKU.DXHX202312004

    10. [10]

      Chen LUQinlong HONGHaixia ZHANGJian ZHANG . Syntheses, structures, and properties of copper-iodine cluster-based boron imidazolate framework materials. Chinese Journal of Inorganic Chemistry, 2025, 41(1): 149-154. doi: 10.11862/CJIC.20240407

    11. [11]

      Lancanghong Chen Xingtai Yu Tianlei Zhao Qizhi Yao . Exploration of Abnormal Phenomena in Iodometric Copper Quantitation Experiment. University Chemistry, 2025, 40(7): 315-320. doi: 10.12461/PKU.DXHX202408089

    12. [12]

      Yutong Liu Xuemin Jing . Research Progress on the Catalytic Conversion of Methane in the Context of the “Dual Carbon” Goals. University Chemistry, 2025, 40(10): 101-113. doi: 10.12461/PKU.DXHX202412018

    13. [13]

      Qin Hou Jiayi Hou Aiju Shi Xingliang Xu Yuanhong Zhang Yijing Li Juying Hou Yanfang Wang . Preparation of Cuprous Iodide Coordination Polymer and Fluorescent Detection of Nitrite: A Comprehensive Chemical Design Experiment. University Chemistry, 2024, 39(8): 221-229. doi: 10.3866/PKU.DXHX202312056

    14. [14]

      Xiting Zhou Zhipeng Han Xinlei Zhang Shixuan Zhu Cheng Che Liang Xu Zhenyu Sun Leiduan Hao Zhiyu Yang . Dual Modulation via Ag-Doped CuO Catalyst and Iodide-Containing Electrolyte for Enhanced Electrocatalytic CO2 Reduction to Multi-Carbon Products: A Comprehensive Chemistry Experiment. University Chemistry, 2025, 40(7): 336-344. doi: 10.12461/PKU.DXHX202412070

    15. [15]

      Jiao CHENYi LIYi XIEDandan DIAOQiang XIAO . Vapor-phase transport of MFI nanosheets for the fabrication of ultrathin b-axis oriented zeolite membranes. Chinese Journal of Inorganic Chemistry, 2024, 40(3): 507-514. doi: 10.11862/CJIC.20230403

    16. [16]

      Jiaqi Chen Chunhui Luan Yue Sun Qiyun Ma Wangfei Hao Yanjia Wang Xu Wu . Understanding the Dynamics of Heat and Cold through Chemistry: The Interplay of Chemical Energy and Thermal Energy. University Chemistry, 2024, 39(9): 214-223. doi: 10.12461/PKU.DXHX202312020

    17. [17]

      Yongjian Zhang Fangling Gao Hong Yan Keyin Ye . Electrochemical Transformation of Organosulfur Compounds. University Chemistry, 2025, 40(5): 311-317. doi: 10.12461/PKU.DXHX202407035

    18. [18]

      Fengying ZhangYanglin MeiYuman JiangShenshen ZhengKaibo ZhengYing Zhou . Research progress of transient absorption spectroscopy in solar energy conversion and utilization. Acta Physico-Chimica Sinica, 2025, 41(9): 100118-0. doi: 10.1016/j.actphy.2025.100118

    19. [19]

      Yerong Chen Bingbin Yang Xinglei He Yuqi Lin Keyin Ye . Enzyme-Directed Evolution Enables Bioconversion of Organosilicon Compounds. University Chemistry, 2025, 40(10): 121-129. doi: 10.12461/PKU.DXHX202411054

    20. [20]

      Xinghai LiZhisen WuLijing ZhangShengyang Tao . Machine Learning Enables the Prediction of Amide Bond Synthesis Based on Small Datasets. Acta Physico-Chimica Sinica, 2025, 41(2): 100010-0. doi: 10.3866/PKU.WHXB202309041

Metrics
  • PDF Downloads(0)
  • Abstract views(1307)
  • HTML views(108)

通讯作者: 陈斌, bchen63@163.com
  • 1. 

    沈阳化工大学材料科学与工程学院 沈阳 110142

  1. 本站搜索
  2. 百度学术搜索
  3. 万方数据库搜索
  4. CNKI搜索
Address:Zhongguancun North First Street 2,100190 Beijing, PR China Tel: +86-010-82449177-888
Powered By info@rhhz.net

/

DownLoad:  Full-Size Img  PowerPoint
Return