Citation: GU Xiao-min, ZHANG Bin, LIANG Hao-jie, GE Hui-bin, YANG Hui-min, QIN Yong. Pt/HZSM-5 catalyst synthesized by atomic layer deposition for aqueous-phase hydrogenation of levulinic acid to valeric acid[J]. Journal of Fuel Chemistry and Technology, ;2017, 45(6): 714-722. shu

Pt/HZSM-5 catalyst synthesized by atomic layer deposition for aqueous-phase hydrogenation of levulinic acid to valeric acid

  • Corresponding author: ZHANG Bin, zhangbin2009@sxicc.ac.cn QIN Yong, qinyong@sxicc.ac.cn
  • Received Date: 9 March 2017
    Revised Date: 19 April 2017

    Fund Project: the Natural Science Foundation of Shanxi Province 2015021046the National Natural Science Foundation of China 21403271the National Natural Science Foundation of China 21673269

Figures(8)

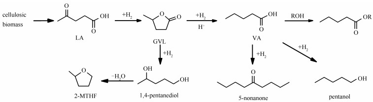
  • A Pt/HZSM-5 catalyst was prepared by atomic layer deposition (ALD) for aqueous-phase hydrogenation of levulinic acid (LA) to valeric acid (VA). 5Pt/HZSM-5 produced with 5 cycles of Pt ALD was identified as a highly active and stable bifunctional catalyst, and a high yield of VA (91.4%) was achieved in aqueous solution. A close interaction between Pt and acid sites of HZSM-5 is favor for the selective generation of VA. The microporous structure and the acid sites of HZSM-5 were not changed after Pt ALD, and some Pt nanoparticles were located in the micropore channel of HZSM-5. This reveals that the Pt ALD has the advantage to protect the structure of zeolite. The average particle size of Pt nanoparticles, electric state of surface Pt, and surface acid sites are nearly not changed with the increase of Pt ALD cycle number. However, the ratio of Pt in the pore channel to that out of the pore decreases with the increase of ALD cycle numbers, resulting in a decrease of TOF of VA yield. For comparison, Pt nanoparticles supported on HZSM-5 were also produced by impregnation. But the pore structure of HZSM-5 was damaged, and more micropore were formed by impregnation method for Pt loading. Moreover, it exhibited very low catalytic activity, selectivity of VA, and stability.
  • 加载中
    1. [1]

      RAGAUSKAS A J, WILLIAMS C K, DAVISON B H, BRITOVSEK G, CAIRNEY J, ECKERT C A, FREDERICK W J, HALLETT J P, LEAK D J, LIOTTA C L, MIELENZ J R, MURPHY R, TEMPLER R, TSCHAPLINSK T. The path forward for biofuels and biomaterials[J]. Science, 2006,311(5760):484-489. doi: 10.1126/science.1114736

    2. [2]

      YUAN J, LI S S, YU L, LIU Y M, CAO Y, HE H Y, FAN K N. Copper-based catalysts for the efficient conversion of carbohydrate biomass into γ-valerolactone in the absence of externally added hydrogen[J]. Energy Environ Sci, 2013,6(11):3308-3313. doi: 10.1039/c3ee40857d

    3. [3]

      LUO W H, DEKA U, BEALE A M, VAN ECK E R H, BRUIJNINCX P C A, WECKHUYSEN B M. Ruthenium-catalyzed hydrogenation of levulinic acid: Influence of the support and solvent on catalyst selectivity and stability[J]. J Catal, 2013,301:175-186. doi: 10.1016/j.jcat.2013.02.003

    4. [4]

      LANGE J P, PRICE R, AYOUB P M, LOUIS J, PETRUS L, CLARKE L, GOSSELINK H. Valeric biofuels: A platform of cellulosic transportation fuels[J]. Angew Chem Int Ed, 2010,49(26):4479-4483. doi: 10.1002/anie.201000655

    5. [5]

      GALLETTI A M R, ANTONETTI C, DE LUISE V, MARTINELLI M. A sustainable process for the production of γ-valerolactone by hydrogenation of biomass-derived levulinic acid[J]. Green Chem, 2012,14(3):688-694. doi: 10.1039/c2gc15872h

    6. [6]

      PAN T, DENG J, XU Q, XU Y, GUO Q X, FU Y. Catalytic conversion of biomass-derived levulinic acid to valerate esters as oxygenated fuels using supported ruthenium catalysts[J]. Green Chem, 2013,15(10):2967-2974. doi: 10.1039/c3gc40927a

    7. [7]

      PACE V, HOYOS P, CASTOLDI L, DOMINGUEZ D E, MARIA P, ALCANTARA A R. 2-methyltetrahydrofuran (2-MeTHF): A biomass-derived solvent with broad application in organic chemistry[J]. ChemSusChem, 2012,5(8):1369-1379. doi: 10.1002/cssc.v5.8

    8. [8]

      SERRANO-RUIZ J C, WANG D, DUMESIC J A. Catalytic upgrading of levulinic acid to 5-nonanone[J]. Green Chem, 2010,12(4):574-577. doi: 10.1039/b923907c

    9. [9]

      YAN K, LAFLEUR T, WU X, CHAI J J, WU G S, XIE X M. Cascade upgrading of γ-valerolactone to biofuels[J]. Chem Commun, 2015,51(32):6984-6987. doi: 10.1039/C5CC01463H

    10. [10]

      LUO W H, BRUIJNINCX , P C A, WECKHUYSEN B M. Selective, one-pot catalytic conversion of levulinic acid to pentanoic acid over Ru/HZSM-5[J]. J Catal, 2014,320:33-41. doi: 10.1016/j.jcat.2014.09.014

    11. [11]

      KON K, ONODERA W, SHIMIZU K I. Selective hydrogenation of levulinic acid to valeric acid and valeric biofuels by a Pt/HMFI catalyst[J]. Catal Sci Technol, 2014,4(9):3227-3234. doi: 10.1039/C4CY00504J

    12. [12]

      SUN P, GAO G, ZHAO Z L, XIA C G, LI F W. Stabilization of cobalt catalysts by embedment for efficient production of valeric biofuel[J]. ACS Catal, 2014,4(11):4136-4142. doi: 10.1021/cs501409s

    13. [13]

      HUBER G W, IBORRA S, CORMA A. Synthesis of transportation fuels from biomass: Chemistry, catalysts, and engineering[J]. Chem Rev, 2006,106(9):4044-4098. doi: 10.1021/cr068360d

    14. [14]

      ZHANG B, ZHU Y L, DING G Q, ZHENG H Y, LI Y W. Selective conversion of furfuryl alcohol to 1, 2-pentanediol over a Ru/MnOxcatalyst in aqueous phase[J]. Green Chem, 2012,14(12):3402-3409. doi: 10.1039/c2gc36270h

    15. [15]

      DENDOOVEN J, GORIS B, DEVLOO-CASIER K, LEVRAU E, BIERMANS E, BAKLANOV M R, LUDWIG K F, VOORT P V D, BALS S, DETAVERNIER C. Tuning the pore size of ink-bottle mesopores by atomic layer deposition[J]. Chem Mater, 2012,24(11):1992-1994. doi: 10.1021/cm203754a

    16. [16]

      LEUS K, DENDOOVEN J, TAHIR N, RAMACHANDRAN R, MELEDINA M, TURNER S, VAN TENDELOO G, GOEMAN J, VAN DER EYCKEN J, DETAVERNIER C, VAN DER VOORT P. Atomic layer deposition of Pt nanoparticles with in the cages of MIL-101: A mild and recyclable hydrogenation catalyst[J]. Nanomaterials, 2016,6(3)45. doi: 10.3390/nano6030045

    17. [17]

      GEORGE S M, STEVEN M G. Atomic layer deposition: An overview[J]. Chem Rev, 2009,110(1):111-131.  

    18. [18]

      GAO Z, DONG M, WANG G Z, SHENG P, WU Z W, YANG H M, ZHANG B, WANG G F, WANG J G, QIN Y. Multiply confined nickel nanocatalysts produced by atomic layer deposition for hydrogenation reactions[J]. Angew Chem Int Ed, 2015,54(31):9006-9010. doi: 10.1002/anie.201503749

    19. [19]

      LU J L, ELAM J W, STAIR P C. Atomic layer deposition-Sequential self-limiting surface reactions for advanced catalyst "bottom-up" synthesis[J]. Surf Sci Rep, 2016,71(2):410-472. doi: 10.1016/j.surfrep.2016.03.003

    20. [20]

      LI J W, ZHANG B, CHEN Y, ZHANG J K, YANG H M, ZHANG J W, LU X L, LI G C, QIN Y. Styrene hydrogenation performance of Pt nanoparticles with controlled size prepared by atomic layer deposition[J]. Catal Sci Technol, 2015,5(8):4218-4223. doi: 10.1039/C5CY00598A

    21. [21]

      ZHANG B, CHEN Y, LI J W, PIPPEL E, YANG H M, GAO Z, QIN Y. High efficiency Cu-ZnO hydrogenation catalyst: The tailoring of Cu-ZnO interface sites by molecular layer deposition[J]. ACS Catal, 2015,5(9):5567-5573. doi: 10.1021/acscatal.5b01266

    22. [22]

      ZHAN B, GUO X W, LIANG H J, GE H B, GU X M, CHEN S, YANG H M, QIN Y. Tailoring Pt-Fe2O3 interfaces for selective reductive coupling reaction to synthesize imine[J]. ACS Catal, 2016,6(10):6560-6566. doi: 10.1021/acscatal.6b01756

    23. [23]

      WANG M H, GAO Z, ZHANG B, YANG H M, QIAO Y, CHEN S, GE H B, ZHANG J K, QIN Y. Ultrathin coating of confined Pt nanocatalysts by atomic layer deposition for enhanced catalytic performance in hydrogenation reactions[J]. Chem Eur J, 2016,22(25):8438-8443. doi: 10.1002/chem.v22.25

    24. [24]

      SUN S H, ZHANG G X, GAUQUELIN N, CHEN N, ZHOU J Q, YANG S Y, CHEN W F, MENG X B, GENG D S, BANIS M N, LI R Y, YE S Y, KNIGHTS S, BOTTON G A, SHAM T K, SUN X. Single-atom catalysis using Pt/graphene achieved through atomic layer deposition[J]. Sci Rep, 2013,31775. doi: 10.1038/srep01775

    25. [25]

      DENDOOVEN J, DEVLOO-CASIER K, IDE M, GRANDFIELD K, DETAVERNIER C. Atomic layer deposition-based tuning of the pore size in mesoporous thin films studied by in situ grazing incidence small angle X-ray scattering[J]. Nanoscale, 2014,6(24):14991-14998. doi: 10.1039/C4NR05049E

    26. [26]

      DETAVERNIER C, DENDOOVEN J, SREE S P, LUDWIG K F, MARTENS J A. Tailoring nanoporous materials by atomic layer deposition[J]. Chem Soc Rev, 2011,40(11):5242-5253. doi: 10.1039/c1cs15091j

    27. [27]

      HE Y J, NIVARTHY G S, EDER F, SESHAN K, LERCHER J A. Synthesis, characterization and catalytic activity of the pillared molecular sieve MCM-36[J]. Microporous Mesoporous Mater, 1998,25(1):207-224.  

    28. [28]

      ARICOÁA A S, SHUKLAB A K, KIMC H, PARKC S, MINC M, ANTONUCCIA V. An XPS study on oxidation states of Pt and its alloys with Co and Cr and its relevance to electroreduction of oxygen[J]. Appl Surf Sci, 2001,172(1):33-40.  

    29. [29]

      LEI Y, LU J L, LUO X Y, WU T P, DU P, ZHANG X Y, REN Y, WEN J G, MILLER D J, MILLER J T, SUN Y K, ELAM J W, AMINE K. Synthesis of porous carbon supported palladium nanoparticle catalysts by atomic layer deposition: Application for rechargeable lithium-O2 battery[J]. Nano Lett, 2013,13(9):4182-4189. doi: 10.1021/nl401833p

  • 加载中
    1. [1]

      Yingying YanWanhe JiaRui CaiChun Liu . An AIPE-active fluorinated cationic Pt(Ⅱ) complex for efficient detection of picric acid in aqueous media. Chinese Chemical Letters, 2024, 35(5): 108819-. doi: 10.1016/j.cclet.2023.108819

    2. [2]

      Ruofan QiJing ZhangWang SunBai YuZhenhua WangKening Sun . Solid-acid-Lewis-base interaction accelerates lithium ion transport for uniform lithium deposition. Chinese Chemical Letters, 2025, 36(6): 110009-. doi: 10.1016/j.cclet.2024.110009

    3. [3]

      Mingjiao LuZhixing WangGui LuoHuajun GuoXinhai LiGuochun YanQihou LiXianglin LiDing WangJiexi Wang . Boosting the performance of LiNi0.90Co0.06Mn0.04O2 electrode by uniform Li3PO4 coating via atomic layer deposition. Chinese Chemical Letters, 2024, 35(5): 108638-. doi: 10.1016/j.cclet.2023.108638

    4. [4]

      Peipei CUIYawen ZHENGPan LIPeiyan GUANZhaohong QIAN . Praseodymium-organic framework with 4, 4′-oxybis(benzoic acid): Rare broken layer structure, antibacterial activity, and sensing for Cd2+ ions. Chinese Journal of Inorganic Chemistry, 2025, 41(8): 1641-1649. doi: 10.11862/CJIC.20250152

    5. [5]

      Qingxuan KongChangwei JiangBin LyuZhaoting LiNing JiaoSong Song . Denitrative iodination of nitroarenes with hydroiodic acid. Chinese Chemical Letters, 2025, 36(10): 111444-. doi: 10.1016/j.cclet.2025.111444

    6. [6]

      Jing GuoZhi-Guo LuRui-Chen ZhaoBao-Ku LiXin Zhang . Nucleic acid therapy for metabolic-related diseases. Chinese Chemical Letters, 2025, 36(3): 109875-. doi: 10.1016/j.cclet.2024.109875

    7. [7]

      Xiying WuAnze LiuYuzhong YanYing LuHuan Wang . Folic acid ameliorates the immunogenicity of PEGylated liposomes. Chinese Chemical Letters, 2025, 36(6): 110285-. doi: 10.1016/j.cclet.2024.110285

    8. [8]

      Jialin GuoMingrui GuYahui ChenTao XiongYiyang ZhangSimin ChenMingle LiXiaoqiang ChenXiaojun Peng . Nucleic acid delivery by lipid nanoparticles for organ targeting. Chinese Chemical Letters, 2025, 36(11): 110849-. doi: 10.1016/j.cclet.2025.110849

    9. [9]

      Wenyi MeiLijuan XieXiaodong ZhangCunjian ShiFengzhi WangQiqi FuZhenjiang ZhaoHonglin LiYufang XuZhuo Chen . Design, synthesis and biological evaluation of fluorescent derivatives of ursolic acid in living cells. Chinese Chemical Letters, 2024, 35(5): 108825-. doi: 10.1016/j.cclet.2023.108825

    10. [10]

      Huipeng Zhao Xiaoqiang Du . Polyoxometalates as the redox anolyte for efficient conversion of biomass to formic acid. Chinese Journal of Structural Chemistry, 2024, 43(2): 100246-100246. doi: 10.1016/j.cjsc.2024.100246

    11. [11]

      Dan-Ying XingXiao-Dan ZhaoChuan-Shu HeBo Lai . Kinetic study and DFT calculation on the tetracycline abatement by peracetic acid. Chinese Chemical Letters, 2024, 35(9): 109436-. doi: 10.1016/j.cclet.2023.109436

    12. [12]

      Lihang WangMary Li JavierChunshan LuoTingsheng LuShudan YaoBing QiuYun WangYunfeng Lin . Research advances of tetrahedral framework nucleic acid-based systems in biomedicine. Chinese Chemical Letters, 2024, 35(11): 109591-. doi: 10.1016/j.cclet.2024.109591

    13. [13]

      Zhifeng CAIYing WUYanan LIGuiyu MENGTianyu MIAOYihao ZHANG . Effective detection of malachite green by folic acid stabilized silver nanoclusters. Chinese Journal of Inorganic Chemistry, 2025, 41(5): 983-993. doi: 10.11862/CJIC.20240394

    14. [14]

      Xinran XiXiyu WangZiyue XiChuanyong FanYingying JiangZhenhua LiLu Xu . Facile GSH responsive glycyrrhetinic acid conjunction for liver targeting therapy. Chinese Chemical Letters, 2025, 36(10): 110773-. doi: 10.1016/j.cclet.2024.110773

    15. [15]

      Li FuZiye SuShuyang WuYanfen ChengChuan HuJinming Zhang . Redox-responsive hyaluronic acid-celastrol prodrug micelles with glycyrrhetinic acid co-delivery for tumor combination therapy. Chinese Chemical Letters, 2025, 36(5): 110227-. doi: 10.1016/j.cclet.2024.110227

    16. [16]

      Lian SunHonglei WangMing MaTingting CaoLeilei ZhangXingui Zhou . Shape and composition evolution of Pt and Pt3M nanocrystals under HCl chemical etching. Chinese Chemical Letters, 2024, 35(9): 109188-. doi: 10.1016/j.cclet.2023.109188

    17. [17]

      Yueru WeiQi MiaoMiaomiao ZhangWenying ZhangMengxiao ShiRui LiuJingjing SuPengchao SunYongxing Zhao . PtCu nanozyme integrating single atom Pt and Pt subnanoclusters for the sustained treatment of cutaneous melanoma. Chinese Chemical Letters, 2025, 36(12): 111164-. doi: 10.1016/j.cclet.2025.111164

    18. [18]

      Hanqing Zhang Xiaoxia Wang Chen Chen Xianfeng Yang Chungli Dong Yucheng Huang Xiaoliang Zhao Dongjiang Yang . Selective CO2-to-formic acid electrochemical conversion by modulating electronic environment of copper phthalocyanine with defective graphene. Chinese Journal of Structural Chemistry, 2023, 42(10): 100089-100089. doi: 10.1016/j.cjsc.2023.100089

    19. [19]

      Linshan PengQihang PengTianxiang JinZhirong LiuYong Qian . Highly efficient capture of thorium ion by citric acid-modified chitosan gels from aqueous solution. Chinese Chemical Letters, 2024, 35(5): 108891-. doi: 10.1016/j.cclet.2023.108891

    20. [20]

      Fengyun LiZerong PeiShuting ChenGen liMengyang LiuLiqin DingJingbo LiuFeng Qiu . Multifunctional nano-herb based on tumor microenvironment for enhanced tumor therapy of gambogic acid. Chinese Chemical Letters, 2024, 35(5): 108752-. doi: 10.1016/j.cclet.2023.108752

Metrics
  • PDF Downloads(4)
  • Abstract views(926)
  • HTML views(105)

通讯作者: 陈斌, bchen63@163.com
  • 1. 

    沈阳化工大学材料科学与工程学院 沈阳 110142

  1. 本站搜索
  2. 百度学术搜索
  3. 万方数据库搜索
  4. CNKI搜索
Address:Zhongguancun North First Street 2,100190 Beijing, PR China Tel: +86-010-82449177-888
Powered By info@rhhz.net

/

DownLoad:  Full-Size Img  PowerPoint
Return