Citation: MIAO Heng-yang, WANG Zhi-qing, LI Xiang-yu, MEI Yan-gang, LIU Zhe-yu, SONG Shuang-shuang, DONG Li-bo, HUANG Jie-jie, FANG Yi-tian. Comparative study of K2CO3 and Na2CO3 in the process of coal gangue catalytic gasification coupled with aluminum extraction from gasification ash[J]. Journal of Fuel Chemistry and Technology, ;2020, 48(9): 1063-1070. shu

Comparative study of K2CO3 and Na2CO3 in the process of coal gangue catalytic gasification coupled with aluminum extraction from gasification ash

  • Corresponding author: WANG Zhi-qing, qcumt@sxicc.ac.cn
  • Received Date: 27 July 2020
    Revised Date: 5 September 2020

    Fund Project: The project was supported by the National Natural Science Foundation of China 21506242The project was supported by the National Natural Science Foundation of China (21506242)

Figures(10)

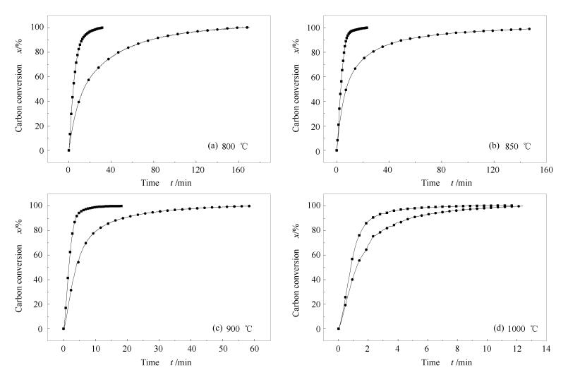
  • Coal gangue as the research object of this study, the effects of Na2CO3 and K2CO3 on the gasification reactivity and the dissolution behavior of Al from catalytic gasification were compared. At the same time, X-ray diffraction (XRD) and thermogravimetric analysis (TGA) were used to analyze the thermal-conversion process of mineral in coal gangue with different catalysts and at different temperatures. The results show that compared with K2CO3, Na2CO3 can react more easily with the kaolinite in coal gangue to form nepheline, which can achieve effective separation of aluminum and silicon by acid leaching. Moreover, using Na2CO3 as catalyst, the Al extraction rate of gasification ash treated by hydrochloric acid can reach 92.3%, while it can only reach 83.7% using K2CO3 as catalyst. Therefore, Na2CO3 has better selectivity for the coal gangue catalytic gasification coupled with aluminum extraction from gasification ash.
  • 加载中
    1. [1]

      BIAN Z F, DONG J H, LEI S G, LENG H L, MU S G, WANG H. The impact of disposal and treatment of coal mining wastes on environment and farmland[J]. Environ Geol, 2009,58(3):625-634. doi: 10.1007/s00254-008-1537-0

    2. [2]

      LI H, ZHENG F, WANG J, ZHOU J, HUANG X H, CHEN L, HU P, GAO J M, ZHEN Q, BASHIR S, LIU J H. Facile preparation of zeolite-activated carbon composite from coal gangue with enhanced adsorption performance[J]. Chem Eng J, 2020,390:1-11.  

    3. [3]

      CHENG, CUI, MILLER, WA, X. Aluminum leaching from calcined coal waste using hydrochloride ORIC acid solution[J]. Miner Process Extr Metall Rev, 2012,33(6):391-403. doi: 10.1080/08827508.2011.601700

    4. [4]

      LI C, WAN J H, SUN H H, LI L T. Investigation on the activation of coal gangue by a new compound method[J]. J Hazard Mater, 2010,179(3):515-520.  

    5. [5]

      QIAO X C, SI P, YU J G. A systematic investigation into the extraction of aluminum from coal spoil through kaolinite[J]. Environ Sci Technol, 2008,42(22):8541-8546. doi: 10.1021/es801798u

    6. [6]

      ZHU P H, ZHENG M, ZHAO S Y, WU J Y, XU H X. A novel environmental route to ambient pressure dried thermal insulating silica aerogel via recycled coal gangue[J]. Adv Mater Sci Eng, 2016:1-9.  

    7. [7]

      GUO W. Early hydration of composite cement with thermal activated coal gangue[J]. J Wuhan Univ Technol, 2010,25(1):162-166. doi: 10.1007/s11595-010-1162-0

    8. [8]

      ZHANG C S, LIU X F, WU Q S, DENG Y X, LI L. Study of mechanical force on coal gangue reactivity[J]. 2013, 539: 145-148. 

    9. [9]

      GENG J J, ZHOU M, LI Y X, CHEN Y C, HAN Y, WAN S, ZHOU X, HOU H B. Comparison of red mud and coal gangue blended geopolymers synthesized through thermal activation and mechanical grinding preactivation[J]. Constr Build Mater, 2017,153:185-192. doi: 10.1016/j.conbuildmat.2017.07.045

    10. [10]

      LI Y, YAO Y, LIU X M, SUN H H, NI W. Improvement on pozzolanic reactivity of coal gangue by integrated thermal and chemical activation[J]. Fuel, 2013,109:527-533. doi: 10.1016/j.fuel.2013.03.010

    11. [11]

      XIAO Han-min, MA Xiao-qian. Technol characteristics of co-combustion of coal, coal gangue and sewage sludge[J]. 2008, 36(5): 545-550. 

    12. [12]

      SALAHUDEEN N, AHMED A S, AL-MUHTASEB A H, DAUDA M, WAZIRI S M, JIBRIL B Y. Synthesis of gamma alumina from Kankara kaolin using a novel technique[J]. Appl Clay Sci, 2015,105:170-177.  

    13. [13]

      MEI Yan-gang, WANG Zhi-qing, FANG Hui-bin, FENG Rong-tao, FANG Yi-tian. Comparison of leaching behaviors of aluminum in ash from combustion and catalytic gasification[J]. J Fuel Chem Technol, 2017,45(4):394-399.  

    14. [14]

      MOLINO A, CHIANESE S, MUSMARRA D. Biomass gasification technology:The state of the art overview[J]. J Energy Chem, 2016,25(1):10-25.  

    15. [15]

      PARVEZ A M, AFZAL M T. Gasification performance of torrefied Timothy hay and spruce wood chars in a CO2 environment[J]. Cana J Chem Eng, 2020,98(8):1696-1707. doi: 10.1002/cjce.23729

    16. [16]

      CHEN Fan-min, WANG Xing-jun, WANG Xi-ming, ZHOU Zhi-jie. Transformation of potassium during catalytic gasification of coal and the effect on gasification[J]. J Fuel Chem Technol, 2013,41(3):265-270.  

    17. [17]

      SUN Xue-lian, WANG Li, ZHANG Zhan-tao. Study on compound catalyst for gasification and its mechanism[J]. Coal Conv, 2006,29(1):15-18.  

    18. [18]

      WANG Yong, FAN Hong-li, XU Mei-ling, LI Feng-hai. Research progress on catalysts and catalytic mechanism of coal catalytic gasification[J]. Shandong Chem Ind, 2015,44(15):58-59.  

    19. [19]

      DONG L, LIANG X X, SONG Q, GAO G, SONG L H, SHU Y F, SHU X Q. Study on Al2O3 extraction from activated coal gangue under different calcination atmospheres[J]. J Therm Sci, 2017,26(6):570-576. doi: 10.1007/s11630-017-0975-y

    20. [20]

      WANG Y W, WANG Z Q, HUANG J J, FANG Y T. Catalytic gasification activity of Na2CO3 and comparison with K2CO3 for a high-aluminum coal char[J]. Energy Fuels, 2015,29(11):6988-6998. doi: 10.1021/acs.energyfuels.5b01537

    21. [21]

      HUANG Y Q, YIN X L, WU C Z. Effects of metal catalysts on CO2 gasification reactivity of biomass char[J]. Biotechnol Adv, 2009,27(5):568-572. doi: 10.1016/j.biotechadv.2009.04.013

    22. [22]

      LI S F, CHENG Y L. Catalytic gasification of gas-coal char in CO2[J]. Fuel, 1995,74(3):456-458. doi: 10.1016/0016-2361(95)93482-S

    23. [23]

      ZHANG Heng, LI Jun-guo, GUO Shuai, WANG Zhi-qing, ZHANG Yong-qi, FANG Yi-tian. Influence of coal ash on potassium retention and ash fusibility during gasification of corn stalk coke[J]. J Fuel Chem Technol, 2018,46(9):1055-1062.  

    24. [24]

      TURN S Q, KINOSHITA C M, ISHIMURA D M, ZHOU J, HIRAKI T T, MASUTANI S M. A review of sorbent materials for fixed bed alkali getter systems in biomass gasifier combined cycle power generation applications[J]. J Inst Energy, 1998,71(489):163-177.  

    25. [25]

      ZHOU C C, LIU G J, YAN Z C, FANG T, WANG R W. Transformation behavior of mineral composition and trace elements during coal gangue combustion[J]. Fuel, 2012,97:644-650. doi: 10.1016/j.fuel.2012.02.027

    26. [26]

      TANG J, WANG J. Catalytic steam gasification of coal char with alkali carbonates:A study on their synergic effects with calcium hydroxide[J]. Fuel Process Technol, 2016,142:34-41. doi: 10.1016/j.fuproc.2015.09.020

    27. [27]

      JIANG M Q, HU J, WANG J. Calcium-promoted catalytic activity of potassium carbonate for steam gasification of coal char:Effect of hydrothermal pretreatment[J]. Fuel, 2013,109:14-20. doi: 10.1016/j.fuel.2012.06.100

    28. [28]

      GUAN Rong-qing, DU Mei-fang, LI Jie, CHEN Yu-shuang, ZHANG Zong-xiao. Impact of optical properties of nepheline and albite onfusion characteristics in coal ash[J]. Univ Shanghai Sci Technol, 2010,32(6):597-601.  

    29. [29]

      LI Fan, QIU Jian-rong, ZHENG Chu-guang. The effect of mineral matter in coal on the ash melting point with ternary phase diagram[J]. J Huazhong Univ Sci Technol, 1996,24(10):97-100.  

    30. [30]

      WANG Y W, WANG Z Q, HUANG J J, FANG Y T. Improved catalyst recovery combined with extracting alumina from Na2CO3-catalyzed gasification ash of a high-aluminium coal char[J]. Fuel, 2018,234:101-109. doi: 10.1016/j.fuel.2018.07.019

    31. [31]

      FOO C T, MAHMOOD C S, SALLEH M A M. The study of aluminum loss and consequent phase transformation in heat-treated acid-leached kaolin[J]. Mater Charact, 2011,62(4):373-377. doi: 10.1016/j.matchar.2011.01.017

    32. [32]

      OKADA K, ARIMITSU N, KAMESHIMA Y, NAKAJIMA A, MACKENZIE K J D. Preparation of porous silica from chlorite by selective acid leaching[J]. Appl Clay Sci, 2005,30(2):116-124. doi: 10.1016/j.clay.2005.04.001

    33. [33]

      LIU M Z, YANG H M. Large surface area mesoporous Al2O3 from kaolin methodology and characterization[J]. Appl Clay Sci, 2010,50(4):554-559. doi: 10.1016/j.clay.2010.10.012

  • 加载中
    1. [1]

      Zhou Li Mengxue Yu Shixin Chang Zhibin Huang Zhenmin Cheng Weibin Zhang Sónia A. C. Carabineiro Zhigao Xu Kangle Lv . Enhancing the photocatalytic activity of crystalline g-C3N4 towards NO oxidation and CO2 reduction through K+-doping and cyano defect engineering. Chinese Journal of Structural Chemistry, 2026, 45(1): 100698-100698. doi: 10.1016/j.cjsc.2025.100698

    2. [2]

      Débora Ferreira dos Santos MoraisJosé Luis TiradoCarlos Pérez-VicenteFabiana Villela da MottaPedro LavelaMauricio BomioSergio Lavela . Unlocking the performance of sodium-ion batteries by coating Na3V2(PO4)3 with Nb2O5. Acta Physico-Chimica Sinica, 2026, 42(2): 100180-0. doi: 10.1016/j.actphy.2025.100180

    3. [3]

      Wei ZhongDan ZhengYuanxin OuAiyun MengYaorong Su . Simultaneously Improving Inter-Plane Crystallization and Incorporating K Atoms in g-C3N4 Photocatalyst for Highly-Efficient H2O2 Photosynthesis. Acta Physico-Chimica Sinica, 2024, 40(11): 2406005-0. doi: 10.3866/PKU.WHXB202406005

    4. [4]

      Xinpeng LIULiuyang ZHAOHongyi LIYatu CHENAimin WUAikui LIHao HUANG . Ga2O3 coated modification and electrochemical performance of Li1.2Mn0.54Ni0.13Co0.13O2 cathode material. Chinese Journal of Inorganic Chemistry, 2024, 40(6): 1105-1113. doi: 10.11862/CJIC.20230488

    5. [5]

      Cuiping HEZhuxuan LIYuqing SUNJie LIUShicheng XUZhanchao WU . Ca2+ doping induced crystal phase transition and spectral regulation of Ba3P4O13: Eu2+ phosphor. Chinese Journal of Inorganic Chemistry, 2025, 41(11): 2299-2306. doi: 10.11862/CJIC.20250074

    6. [6]

      Qilin YUYifei XUPengjun ZHANGShuwei HAOChongqiang ZHUChunhui YANG . Effect of regulating K+/Na+ ratio on the structure and optical properties of double perovskite Cs2NaBiCl6: Mn2+. Chinese Journal of Inorganic Chemistry, 2025, 41(6): 1058-1067. doi: 10.11862/CJIC.20240418

    7. [7]

      Xiaofan ZHANGYu DUANMeijie SHINan LURenhong LIXiaoqing YAN . Z-scheme Co3O4/BiOBr heterojunction for efficient photoreduction CO2 reduction. Chinese Journal of Inorganic Chemistry, 2025, 41(9): 1878-1888. doi: 10.11862/CJIC.20250079

    8. [8]

      Beibei Gao Lipeng Zhou Dexin Yang . Integrating the “Dual Carbon” Concept into Teaching Reform of Physical Chemistry: A Case of CO2 Hydrogenation to CH3OH. University Chemistry, 2026, 41(3): 248-253. doi: 10.12461/PKU.DXHX202504011

    9. [9]

      Feifei YangWei ZhouChaoran YangTianyu ZhangYanqiang Huang . Enhanced Methanol Selectivity in CO2 Hydrogenation by Decoration of K on MoS2 Catalyst. Acta Physico-Chimica Sinica, 2024, 40(7): 2308017-0. doi: 10.3866/PKU.WHXB202308017

    10. [10]

      Hui BianXinyi YuanNan ZhangZhuo XuJuhong LianRuibin JiangJunqing YanDeng LiShengzhong (Frank) Liu . Correlating vacancy-defect density with CO2 activation for promoted CO2 methanation over CsPbBr3 photocatalyst. Chinese Chemical Letters, 2025, 36(7): 111034-. doi: 10.1016/j.cclet.2025.111034

    11. [11]

      Hongyi LIAimin WULiuyang ZHAOXinpeng LIUFengqin CHENAikui LIHao HUANG . Effect of Y(PO3)3 double-coating modification on the electrochemical properties of Li[Ni0.8Co0.15Al0.05]O2. Chinese Journal of Inorganic Chemistry, 2024, 40(7): 1320-1328. doi: 10.11862/CJIC.20230480

    12. [12]

      Wenlong LIXinyu JIAJie LINGMengdan MAAnning ZHOU . Photothermal catalytic CO2 hydrogenation over a Mg-doped In2O3-x catalyst. Chinese Journal of Inorganic Chemistry, 2024, 40(5): 919-929. doi: 10.11862/CJIC.20230421

    13. [13]

      Jing FENGRenshu WANGHu WANGHailong LIU . Co(Ⅱ) and Ni(Ⅱ) complexes of 3,3-diphenylpropionic acid and 2,2′-dipyridylamine: Structures and biological activities. Chinese Journal of Inorganic Chemistry, 2026, 42(3): 617-631. doi: 10.11862/CJIC.20250265

    14. [14]

      Aiping LiangChaolin LiChen LingHengpan DuanWenhui Wang . CoTiO3 for highly efficient peroxymonosulfate activation: The critical role of Co–O–Ti bond for rapid redox cycles of Co2+/Co3+. Chinese Chemical Letters, 2025, 36(10): 110788-. doi: 10.1016/j.cclet.2024.110788

    15. [15]

      Lina GuoRuizhe LiChuang SunXiaoli LuoYiqiu ShiHong YuanShuxin OuyangTierui Zhang . Effect of Interlayer Anions in Layered Double Hydroxides on the Photothermocatalytic CO2 Methanation of Derived Ni-Al2O3 Catalysts. Acta Physico-Chimica Sinica, 2025, 41(1): 100002-0. doi: 10.3866/PKU.WHXB202309002

    16. [16]

      Peng LiYuanying CuiZhongliao WangGraham DawsonChunfeng ShaoKai Dai . Efficient interfacial charge transfer of CeO2/Bi19Br3S27 S-scheme heterojunction for boosted photocatalytic CO2 reduction. Acta Physico-Chimica Sinica, 2025, 41(6): 100065-0. doi: 10.1016/j.actphy.2025.100065

    17. [17]

      Cuiwu MOGangmin ZHANGChao WUZhipeng HUANGChi ZHANG . A(NH2SO3) (A=Li, Na): Two ultraviolet transparent sulfamates exhibiting second harmonic generation response. Chinese Journal of Inorganic Chemistry, 2024, 40(7): 1387-1396. doi: 10.11862/CJIC.20240045

    18. [18]

      Ruofan YinZhaoxin GuoRui LiuXian-Sen Tao . Ultrafast synthesis of Na3V2(PO4)3 cathode for high performance sodium-ion batteries. Chinese Chemical Letters, 2025, 36(2): 109643-. doi: 10.1016/j.cclet.2024.109643

    19. [19]

      Maomao Liu Guizeng Liang Ningce Zhang Tao Li Lipeng Diao Ping Lu Xiaoliang Zhao Daohao Li Dongjiang Yang . Electron-rich Ni2+ in Ni3S2 boosting electrocatalytic CO2 reduction to formate and syngas. Chinese Journal of Structural Chemistry, 2024, 43(8): 100359-100359. doi: 10.1016/j.cjsc.2024.100359

    20. [20]

      Fan FanHao XiuYuting WangYongpeng CuiYajun Wang . Construction of NH2-MIL-125/Na-doped g-C3N4 composite S-scheme heterojunction and its performance in photocatalytic hydrogen peroxide production. Acta Physico-Chimica Sinica, 2026, 42(2): 100143-0. doi: 10.1016/j.actphy.2025.100143

Metrics
  • PDF Downloads(5)
  • Abstract views(1672)
  • HTML views(205)

通讯作者: 陈斌, bchen63@163.com
  • 1. 

    沈阳化工大学材料科学与工程学院 沈阳 110142

  1. 本站搜索
  2. 百度学术搜索
  3. 万方数据库搜索
  4. CNKI搜索
Address:Zhongguancun North First Street 2,100190 Beijing, PR China Tel: +86-010-82449177-888
Powered By info@rhhz.net

/

DownLoad:  Full-Size Img  PowerPoint
Return