Citation: YANG Na, WANG Hong-ying, LIU Yun-qi, LIU Chen-guang. Study on the transformation rule of different long chain alkane hydroisomerization over Pt/SAPO-11 catalyst[J]. Journal of Fuel Chemistry and Technology, ;2016, 44(1): 91-98. shu

Study on the transformation rule of different long chain alkane hydroisomerization over Pt/SAPO-11 catalyst

  • Corresponding author: LIU Yun-qi, Liuyq@upc.edu.cn
  • Received Date: 28 July 2015
    Revised Date: 28 September 2015

    Fund Project: The project was supported by National Natural Science Foundation of China 21006128China University of Petroleum (East China) Innovation Project YCX2015025The project was supported by National Natural Science Foundation of China U1162203

Figures(8)

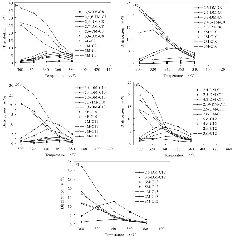
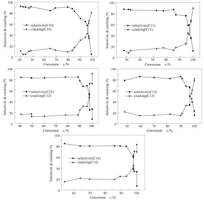
  • The reaction mechanism of hydroisomerization of n-alkanes, from n-decane to n-tetrodecane, over Pt/SAPO-11 catalyst was studied. Results indicated that the n-alkanes with different carbon atom numbers exhibited higher isomerization selectivity at lower temperatures. The isomerization selectivity of n-alkanes can reach 90% by controlling temperature to keep the conversion rate lower than 85%. The conversion rate of n-alkanes was increased and the selectivity of isomerization was decreased with the increase of carbon atom number and temperature due to the occurrence of cracking reaction. Bifunctional catalyst has a good product shape selective effects. The isomerization products are mainly composed of unilateral chain isomers which have the methyl at the end and the center of the carbon chain. At low conversion rate, the cracking reaction of the long-chain n-alkanes over the Pt/SAPO-11 catalyst was mainly catalytic hydrocracking, the carbon number distribution of the cracking products was uniform. However, at high conversion rate, the reaction was mainly acid catalytic cracking, the carbon number distribution of cracking products was obvious asymmetric distribution.
  • 加载中
    1. [1]

      MILLER S J. New molecular sieve process for lube dewaxing by wax isomerization[J]. Microporous Mater, 1994,2(5):439-449. doi: 10.1016/0927-6513(94)00016-6

    2. [2]

      MILLER S J. Studies on wax isomerization for lubes and fuels[J]. Stud Sur Sci Catal, 1994,84:2319-2326. doi: 10.1016/S0167-2991(08)63796-9

    3. [3]

      BRENMAN J A. Wide-temperature range synthetic hydrocarbon fluids[J]. Ind Chem Prod Res Dev, 1980,19(1):2-6. doi: 10.1021/i360073a002

    4. [4]

      SHUI Tian-de. Modern oil production process[M]. Beijing: China Petrochemical Press, 1997: 29-37.

    5. [5]

      LIU Wei-qiao, LIU Ping, REN Jie, SUN Yu-han. Advances in research of n-paraffin hydroisomerization[J]. Adv Fine Petrochem, 2007,8(10):19-26.  

    6. [6]

      LIU Wei-qiao, SHANG Tong-ming, CUI Yi-mei. Characteristics of heptane hydroisomerization over Pt (Pd)/SAPO-11 catalyst[J]. J Jiangsu. Teach Univ Technol, 2008,14(1):1-5.  

    7. [7]

      MÉRIAUDEAU P, TUAN V A, NGHIEM V T, LAI S Y, HUNG L N, NACCACHE C. SAPO-11, SAPO-31 and SAPO-41 molecular sieves: Synthesis, characterization, and catalytic properties in n-octane hydroisomerization[J]. J Catal, 1997,169(4):55-66.  

    8. [8]

      GEN Cheng-hui, ZHANG Fei, GAO Zhi-xian, ZHOU Jing-lai, REN Jie. Study on the production distribution of long chain alkane hydroisomerization over Pt/SAPO-11 catalyst[J]. Acta Pet Sin (Pet Process Sec), 2005,2:16-22.  

    9. [9]

      CAMPELO J M, LAFONT F, MARINAS J M. Comparison of the acrivity and selectivity of Pt/SAPO-5 and Pt/SAPO-11 in n-hexane and n-heptane hydroconvertion[J]. Appl Catal, 1997,152(1):53-62. doi: 10.1016/S0926-860X(96)00347-X

    10. [10]

      CAMPELO J M, LAFONT F, MARINAS J M. Hydroconversion of n-dodecane over Pt/SAPO-11 catalyst[J]. Appl Catal, 1998,170(1):139-144. doi: 10.1016/S0926-860X(98)00036-2

    11. [11]

      SINHA A K, SIVASANKER S, RATNASAMY P. Hydroisomerization of n-alkanes over Pt-SAPO-11 and Pt-SAPO-31 synthesized from aqueous and nonaqueous media[J]. Ind Eng Chem Res, 1998,37(6):2208-2214. doi: 10.1021/ie9707228

    12. [12]

      X. 2004-02-18.GAO Zhi-xian, GENG Chen-hui, ZHANG Fei, LI Yuan. A long-chain n-alkanes hydroisomerization catalyst and application method: CN, 03145688. X[P]. 2004-02-18.

    13. [13]

      ZHANG Zhi-hua, HU Sheng, HAN Xue-lian, XU Ben-jing, TIAN Yong-liang, YAN Zi-feng. Study on hydroisomerization of diesel fuel over Pt/SAPO-11[J]. J Mol Catal, 2005,5:20-25.  

    14. [14]

      CLAUDE M C, MARTENS J A. Monomethyl branching of long n-alkanes in the range from decane to tetracosane on Pt/HZSM-22 Bi-function catalyst[J]. J Catal, 2000,190(1):39-48. doi: 10.1006/jcat.1999.2714

    15. [15]

      MARTENS J A, VANBUTSELE G, JACOBS P A, DENAYER J, OCAKOGLU R, BARON G, MUNOZ ARROYO J A, THYBAUT J, MARIN G B. Evidences for pore mouth and key-lock catalysis in hydroisomerization of long n-alkanes over 10-ring tubular pore bifunctional zeolites[J]. Catal Today, 2001,65(2):111-116.  

    16. [16]

      WEITKAMP J. Isomerization of long-chain n-alkanes on a Pt/CaY zeolite catalyst[J]. Ind Eng Chem Prod Res Dev, 1982,21(4):550-558. doi: 10.1021/i300008a008

    17. [17]

      CAMPELO J M, LAFONT F, MARINAS J M. Hydroconversion of n-dodecane over Pt/SAPO-11 catalyst[J]. Appl Catal A: Gen, 1998,170:139-144. doi: 10.1016/S0926-860X(98)00036-2

  • 加载中
    1. [1]

      Yunhao Zhang Yinuo Wang Siran Wang Dazhen Xu . Progress in Selective Construction of Functional Aromatics from Nitrogenous Cycloalkanes. University Chemistry, 2024, 39(11): 136-145. doi: 10.3866/PKU.DXHX202401083

    2. [2]

      Yufang GAONan HOUYaning LIANGNing LIYanting ZHANGZelong LIXiaofeng LI . Nano-thin layer MCM-22 zeolite: Synthesis and catalytic properties of trimethylbenzene isomerization reaction. Chinese Journal of Inorganic Chemistry, 2024, 40(6): 1079-1087. doi: 10.11862/CJIC.20240036

    3. [3]

      Baitong Wei Jinxin Guo Xigong Liu Rongxiu Zhu Lei Liu . Theoretical Study on the Structure, Stability of Hydrocarbon Free Radicals and Selectivity of Alkane Chlorination Reaction. University Chemistry, 2025, 40(3): 402-407. doi: 10.12461/PKU.DXHX202406003

    4. [4]

      Xin FengKexin GuoChunguang JiaBowen LiuSuqin CiJunxiang ChenZhenhai Wen . Hydrogen Generation Coupling with High-Selectivity Electrocatalytic Glycerol Valorization into Formate in an Acid-Alkali Dual-Electrolyte Flow Electrolyzer. Acta Physico-Chimica Sinica, 2024, 40(5): 2303050-0. doi: 10.3866/PKU.WHXB202303050

    5. [5]

      Ze LuoYukun ZhuYadan LuoGuangmin RenYonghong WangHua Tang . Photocatalytic selective oxidation of 5-hydroxymethylfurfural coupled with H2 evolution over In2O3/ZnIn2S4 S-scheme heterojunction. Acta Physico-Chimica Sinica, 2026, 42(3): 100166-0. doi: 10.1016/j.actphy.2025.100166

    6. [6]

      Zhi Chai Huashan Huang Xukai Shi Yujing Lan Zhentao Yuan Hong Yan . Wittig反应的立体选择性. University Chemistry, 2025, 40(8): 192-201. doi: 10.12461/PKU.DXHX202410046

    7. [7]

      Zhuoming Liang Ming Chen Zhiwen Zheng Kai Chen . Multidimensional Studies on Ketone-Enol Tautomerism of 1,3-Diketones By 1H NMR. University Chemistry, 2024, 39(7): 361-367. doi: 10.3866/PKU.DXHX202311029

    8. [8]

      Conghao Shi Ranran Wang Juli Jiang Leyong Wang . The Illustration on Stereoisomers of Macrocycles Containing Multiple Chiral Centers via Tröger Base-based Macrocycles. University Chemistry, 2024, 39(7): 394-397. doi: 10.3866/PKU.DXHX202311034

    9. [9]

      Shihui Shi Haoyu Li Shaojie Han Yifan Yao Siqi Liu . Regioselectively Synthesis of Halogenated Arenes via Self-Assembly and Synergistic Catalysis Strategy. University Chemistry, 2024, 39(5): 336-344. doi: 10.3866/PKU.DXHX202312002

    10. [10]

      Peiran ZHAOYuqian LIUCheng HEChunying DUAN . A functionalized Eu3+ metal-organic framework for selective fluorescent detection of pyrene. Chinese Journal of Inorganic Chemistry, 2024, 40(4): 713-724. doi: 10.11862/CJIC.20230355

    11. [11]

      Xilin Zhao Xingyu Tu Zongxuan Li Rui Dong Bo Jiang Zhiwei Miao . Research Progress in Enantioselective Synthesis of Axial Chiral Compounds. University Chemistry, 2024, 39(11): 158-173. doi: 10.12461/PKU.DXHX202403106

    12. [12]

      Yiying Yang Rongxiu Zhu Yuchen Ma Dongju Zhang . MATLAB-based Visualization of Hydrogen-Like Orbitals and Analysis of Relavant Teaching Problems. University Chemistry, 2025, 40(9): 375-382. doi: 10.12461/PKU.DXHX202411015

    13. [13]

      Chengxiao ZhaoZhaolin LiDongfang WuXiaofei Yang . SBA-15 templated covalent triazine frameworks for boosted photocatalytic hydrogen production. Acta Physico-Chimica Sinica, 2026, 42(1): 100149-0. doi: 10.1016/j.actphy.2025.100149

    14. [14]

      Jiakun BAITing XULu ZHANGJiang PENGYuqiang LIJunhui JIA . A red-emitting fluorescent probe with a large Stokes shift for selective detection of hypochlorous acid. Chinese Journal of Inorganic Chemistry, 2024, 40(6): 1095-1104. doi: 10.11862/CJIC.20240002

    15. [15]

      CCS Chemistry | 超分子活化底物自由基促进高效选择性光催化氧化

      . CCS Chemistry, 2025, 7(10.31635/ccschem.025.202405229): -.

    16. [16]

      Feifei YangWei ZhouChaoran YangTianyu ZhangYanqiang Huang . Enhanced Methanol Selectivity in CO2 Hydrogenation by Decoration of K on MoS2 Catalyst. Acta Physico-Chimica Sinica, 2024, 40(7): 2308017-0. doi: 10.3866/PKU.WHXB202308017

    17. [17]

      Yan Li Xinze Wang Xue Yao Shouyun Yu . 基于激发态手性铜催化的烯烃EZ异构的动力学拆分——推荐一个本科生综合化学实验. University Chemistry, 2024, 39(5): 1-10. doi: 10.3866/PKU.DXHX202309053

    18. [18]

      Jun LUOBaoshu LIUYunchang ZHANGBingkai WANGBeibei GUOLan SHETianheng CHEN . Europium(Ⅲ) metal-organic framework as a fluorescent probe for selectively and sensitively sensing Pb2+ in aqueous solution. Chinese Journal of Inorganic Chemistry, 2024, 40(12): 2438-2444. doi: 10.11862/CJIC.20240240

    19. [19]

      Shuhong XiangLv YangYingsheng XuGuoxin CaoHongjian Zhou . Selective electrosorption of Cs(Ⅰ) from high-salinity radioactive wastewater using CNT-interspersed potassium zinc ferrocyanide electrodes. Acta Physico-Chimica Sinica, 2025, 41(9): 100097-0. doi: 10.1016/j.actphy.2025.100097

    20. [20]

      Xinyu XuJiale LuBo SuJiayi ChenXiong ChenSibo Wang . Steering charge dynamics and surface reactivity for photocatalytic selective methane oxidation to ethane over Au/Ti-CeO2. Acta Physico-Chimica Sinica, 2025, 41(11): 100153-0. doi: 10.1016/j.actphy.2025.100153

Metrics
  • PDF Downloads(11)
  • Abstract views(2689)
  • HTML views(924)

通讯作者: 陈斌, bchen63@163.com
  • 1. 

    沈阳化工大学材料科学与工程学院 沈阳 110142

  1. 本站搜索
  2. 百度学术搜索
  3. 万方数据库搜索
  4. CNKI搜索
Address:Zhongguancun North First Street 2,100190 Beijing, PR China Tel: +86-010-82449177-888
Powered By info@rhhz.net

/

DownLoad:  Full-Size Img  PowerPoint
Return