Citation: LI Jing-yi, WANG Xin-ye, ZHANG Bai-qiang, ZHANG Ju-bing, BU Chang-sheng, PIAO Gui-lin. Kinetic study of the decomposition of methane over Ni-Mg composite catalyst for hydrogen production[J]. Journal of Fuel Chemistry and Technology, ;2017, 45(2): 249-256. shu

Kinetic study of the decomposition of methane over Ni-Mg composite catalyst for hydrogen production

  • Corresponding author: PIAO Gui-lin, piaoguilin@njnu.edu.cn
  • Received Date: 29 September 2016
    Revised Date: 30 November 2016

    Fund Project: Science and Technology Major Project of Anhui Province  15czz02045

Figures(10)

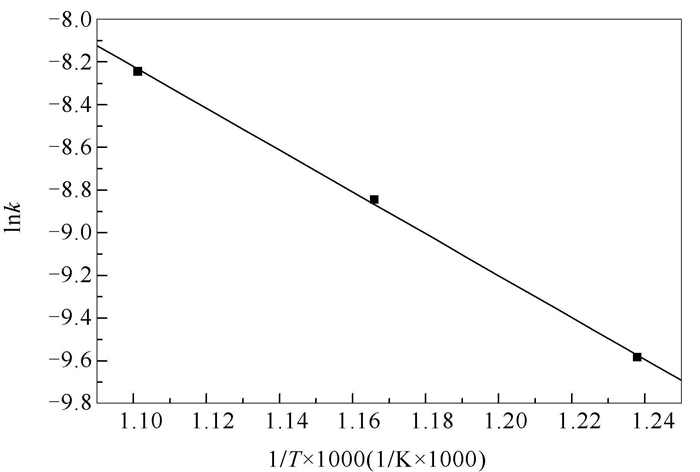
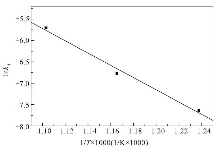
  • The kinetic and deactivation kinetic models of methane catalytic cracking were established based on the data of thermal gravimetric analyzer.The kinetic model of methane catalytic cracking was established by the data of initial hydrogen production rate under the condition of no carbon deposition.The deactivation kinetic model was established by the reduced rate of methane catalytic cracking.The experiment was carried out over Ni-Mg composite catalyst, at the temperature of 535, 585, 635℃ and the methane partial pressures were 104, 2×104, 3×104 Pa.The result shows that the reaction order and activation energy were 0.5 and 82 kJ/mol, the deactivation order and activation energy were 0.5 and 118 kJ/mol respectively.The multi-walled carbon nanotubes were all produced under the experimental conditions.
  • 加载中
    1. [1]

      Research group on energy strategy of chinese academy of sciences. China energy science and technology development roadmap in 2050[C]. Beijing:Science Press, 2009.

    2. [2]

      2050 research group on energy and carbon emissions in China. 2050 China energy and carbon emissions report[C]. Beijing:Science Press, 2009.

    3. [3]

      ZHANG Zhi, LU Guang-da, TANG Tao, QIN Cheng, HUANG Huo-gen, ZHENG Shao-tao, SONG Jiang-feng. Catalytic decompositon of methane by Ni/oxidized diamond[J]. Mater Rev, 2007,21(S1):270-273.

    4. [4]

      JIN Li-jun, WANG Jiao-fei, ZHENG Yu, HU Hao-quan. Research progress of hydrogen production by catalytic decomposition of methane over carbon catalysts[J]. Chem Ind Eng Prog, 2014,33(12):3125-3132.

    5. [5]

      PAN Zhi-yong, SHEN Shi-kong. The decompositon of methane in hydrogen production over Ni/SiO2 catalyst[J]. J Fuel Chem Technol, 2004,31(5):466-470.

    6. [6]

      LEE M B, YANG Q Y, TANG S L, CEYER S T. Activated dissociative chemisorption of CH4 on Ni (111):Observation of a methyl radical and implication for the pressure gap in catalysis[J]. J Chem Phys, 1986,85(3):1693-1694. doi: 10.1063/1.451211

    7. [7]

      RODRIGUEZ N M. A review of catalytically grown carbon nanofibers[J]. J Mater Res, 1993,8(12):3233-3250. doi: 10.1557/JMR.1993.3233

    8. [8]

      WANG Yi, ZHOU Jin-mei, LI Qing-biao, LIN Guo-dong, ZHANG Hong-bin. Kinetic studies of the decompositon of methane for growth of carbon nanotubes over Ni-Mg-O catalyst[J]. J Xiamen Univ(Nat Sci), 2004,43(4):522-526.

    9. [9]

      MURADOV N. Hydrogen via methane decomposition:An application for decarbonization of fossil fuels[J]. Int J Hydrogen Energy, 2001,26(11):1165-1175. doi: 10.1016/S0360-3199(01)00073-8

    10. [10]

      MURADOV N. Catalysis of methane decomposition over elemental carbon[J]. Catal Commun, 2001,2(3):89-94.  

    11. [11]

      MURADOV N. Thermocatalytic CO2-free production of hydrogen from hydrocarbon fuels[C]. Proceedings of the 2000 Hydrogen Program Review, NREL/CP-570-28890. 2000.

    12. [12]

      KIM M H, LEE E K, JUN J H, KONG S J, HAN G Y, LEE B K, LEE T, YOON K J. Hydrogen production by catalytic decomposition of methane over activated carbons:Kinetic study[J]. Int J Hydrogen Energy, 2004,29(2):187-193. doi: 10.1016/S0360-3199(03)00111-3

    13. [13]

      SHILAPURAM V, OZALP N, OSCHATZ M, BORCHARDT L, KASKEL S, LACHANCE R. Thermogravimetric analysis of activated carbons, ordered mesoporous carbide-derived carbons, and their deactivation kinetics of catalytic methane decomposition[J]. Ind Eng Chem Res, 2013,53(5):1741-1753.

    14. [14]

      LUO Yu-ran, YU Shu-qin, ZHANG Zu-de, YAO Tian-yang, GAO Pan-liang. What is the activation energy-the definition, explanation, and the physical of the activation energy[J]. Univ Chem, 2010,25(3):35-42.

    15. [15]

      HOLMEN A, ROKSTAD O A, SOLBAKKEN A. High-temperature pyrolysis of hydrocarbons. 1. Methane to acetylene[J]. Ind Eng Chem Process Des Dev, 1976,15(3):439-444. doi: 10.1021/i260059a017

    16. [16]

      DAHL J K, BAROCAS V H, CLOUGH D E, WEIMER A W. Intrinsic kinetics for rapid decomposition of methane in an aerosol flow reactor[J]. Int J Hydrogen Energy, 2002,27(4):377-386. doi: 10.1016/S0360-3199(01)00140-9

    17. [17]

      ABBAS H F, WAN DAUD W M A. Thermocatalytic decomposition of methane using palm shell based activated carbon:kinetic and deactivation studies[J]. Fuel Process Technol, 2009,90(9):1167-1174. doi: 10.1016/j.fuproc.2009.05.024

    18. [18]

      FU X, CUI X, WEI X, MA J. Investigation of low and mild temperature for synthesis of high quality carbon nanotubes by chemical vapor deposition[J]. Appl Surf Sci, 2014,292:645-649. doi: 10.1016/j.apsusc.2013.12.026

    19. [19]

      MAJEWSKA J, MICHALKIEWICZ B. Carbon nanomaterials produced by the catalytic decomposition of methane over Ni/ZSM-5:Significance of Ni content and temperature[J]. New Carbon Mater, 2014,29(2):102-108. doi: 10.1016/S1872-5805(14)60129-3

    20. [20]

      SIMON A, SEYRING M, KÄMNITZ S, RICHTER H, VOIGT I RETTENMAYR M. Carbon nanotubes and carbon nanofibers fabricated on tubular porous Al2O3 substrates[J]. Carbon, 2015,90:25-33. doi: 10.1016/j.carbon.2015.03.048

  • 加载中
    1. [1]

      Yifan ZHAOQiyun MAOMeijing GUOGuoying ZHANGTongliang HU . Z-scheme bismuth-based multi-site heterojunction: Synthesis and hydrogen production from photocatalytic hydrogen production. Chinese Journal of Inorganic Chemistry, 2025, 41(7): 1318-1330. doi: 10.11862/CJIC.20250001

    2. [2]

      Mingjie LeiWenting HuKexin LinXiujuan SunHaoshen ZhangYe QianTongyue KangXiulin WuHailong LiaoYuan PanYuwei ZhangDiye WeiPing Gao . Accelerating the reconstruction of NiSe2 by Co/Mn/Mo doping for enhanced urea electrolysis. Acta Physico-Chimica Sinica, 2025, 41(8): 100083-0. doi: 10.1016/j.actphy.2025.100083

    3. [3]

      Heng Zhang . Determination of All Rate Constants in the Enzyme Catalyzed Reactions Based on Michaelis-Menten Mechanism. University Chemistry, 2024, 39(4): 395-400. doi: 10.3866/PKU.DXHX202310047

    4. [4]

      Zhiwen HUPing LIYulong YANGWeixia DONGQifu BAO . Morphology effects on the piezocatalytic performance of BaTiO3. Chinese Journal of Inorganic Chemistry, 2025, 41(2): 339-348. doi: 10.11862/CJIC.20240172

    5. [5]

      Mahmoud SayedHan LiChuanbiao Bie . Challenges and prospects of photocatalytic H2O2 production. Acta Physico-Chimica Sinica, 2025, 41(9): 100117-0. doi: 10.1016/j.actphy.2025.100117

    6. [6]

      Xin FengKexin GuoChunguang JiaBowen LiuSuqin CiJunxiang ChenZhenhai Wen . Hydrogen Generation Coupling with High-Selectivity Electrocatalytic Glycerol Valorization into Formate in an Acid-Alkali Dual-Electrolyte Flow Electrolyzer. Acta Physico-Chimica Sinica, 2024, 40(5): 2303050-0. doi: 10.3866/PKU.WHXB202303050

    7. [7]

      Jiajie CaiChang ChengBowen LiuJianjun ZhangChuanjia JiangBei Cheng . CdS/DBTSO-BDTO S-scheme photocatalyst for H2 production and its charge transfer dynamics. Acta Physico-Chimica Sinica, 2025, 41(8): 100084-0. doi: 10.1016/j.actphy.2025.100084

    8. [8]

      Xinyu XuJiale LuBo SuJiayi ChenXiong ChenSibo Wang . Steering charge dynamics and surface reactivity for photocatalytic selective methane oxidation to ethane over Au/Ti-CeO2. Acta Physico-Chimica Sinica, 2025, 41(11): 100153-0. doi: 10.1016/j.actphy.2025.100153

    9. [9]

      Ying Yang Yonghan Wu Zixuan Li Lu Zhang Rongqin Lin Yefan Zhang Jiquan Liu Xiaohui Ning Yan Li Bin Cui . Visualization Simulation Experiment of Cyclic Voltammetry (CV) Based on Python. University Chemistry, 2025, 40(10): 233-242. doi: 10.12461/PKU.DXHX202412024

    10. [10]

      Qingqing SHENXiangbowen DUKaicheng QIANZhikang JINZheng FANGTong WEIRenhong LI . Self-supporting Cu/α-FeOOH/foam nickel composite catalyst for efficient hydrogen production by coupling methanol oxidation and water electrolysis. Chinese Journal of Inorganic Chemistry, 2024, 40(10): 1953-1964. doi: 10.11862/CJIC.20240028

    11. [11]

      Linlin Wu Yonghua Zhou Zhongbei Li Liu Deng Younian Liu Limiao Chen Jianhan Huang . Digital Education Promoting Applied Chemistry Comprehensive Experiments: A Case Study of Catalytic Oxidation of Hydrogen Chloride and Reaction Kinetics. University Chemistry, 2025, 40(9): 273-278. doi: 10.12461/PKU.DXHX202411018

    12. [12]

      Juan WANGZhongqiu WANGQin SHANGGuohong WANGJinmao LI . NiS and Pt as dual co-catalysts for the enhanced photocatalytic H2 production activity of BaTiO3 nanofibers. Chinese Journal of Inorganic Chemistry, 2024, 40(9): 1719-1730. doi: 10.11862/CJIC.20240102

    13. [13]

      Xue LiuLipeng WangLuling LiKai WangWenju LiuBiao HuDaofan CaoFenghao JiangJunguo LiKe Liu . Research on Cu-Based and Pt-Based Catalysts for Hydrogen Production through Methanol Steam Reforming. Acta Physico-Chimica Sinica, 2025, 41(5): 100049-0. doi: 10.1016/j.actphy.2025.100049

    14. [14]

      Asif Hassan RazaShumail FarhanZhixian YuYan Wu . Double S-Scheme ZnS/ZnO/CdS Heterostructure Photocatalyst for Efficient Hydrogen Production. Acta Physico-Chimica Sinica, 2024, 40(11): 2406020-0. doi: 10.3866/PKU.WHXB202406020

    15. [15]

      Yan Li Xinze Wang Xue Yao Shouyun Yu . 基于激发态手性铜催化的烯烃EZ异构的动力学拆分——推荐一个本科生综合化学实验. University Chemistry, 2024, 39(5): 1-10. doi: 10.3866/PKU.DXHX202309053

    16. [16]

      You WuChang ChengKezhen QiBei ChengJianjun ZhangJiaguo YuLiuyang Zhang . Efficient Photocatalytic Production of H2O2 over ZnO/D-A Conjugated Polymer S-scheme Heterojunction and Charge Transfer Dynamics Investigation. Acta Physico-Chimica Sinica, 2024, 40(11): 2406027-0. doi: 10.3866/PKU.WHXB202406027

    17. [17]

      Yongmei Liu Lisen Sun Yongmei Hao Zhanxiang Liu Shuyong Zhang . Innovative Design of Chemistry Experiment Courses with Ideological and Political Education: A Case Study of Catalytic Hydrogen Production Experiments. University Chemistry, 2025, 40(5): 224-229. doi: 10.12461/PKU.DXHX202412144

    18. [18]

      Hao GUOTong WEIQingqing SHENAnqi HONGZeting DENGZheng FANGJichao SHIRenhong LI . Electrocatalytic decoupling of urea solution for hydrogen production by nickel foam-supported Co9S8/Ni3S2 heterojunction. Chinese Journal of Inorganic Chemistry, 2024, 40(11): 2141-2154. doi: 10.11862/CJIC.20240085

    19. [19]

      Wei SunYongjing WangKun XiangSaishuai BaiHaitao WangJing ZouArramelJizhou Jiang . CoP Decorated on Ti3C2Tx MXene Nanocomposites as Robust Electrocatalyst for Hydrogen Evolution Reaction. Acta Physico-Chimica Sinica, 2024, 40(8): 2308015-0. doi: 10.3866/PKU.WHXB202308015

    20. [20]

      Xi YANGChunxiang CHANGYingpeng XIEYang LIYuhui CHENBorao WANGLudong YIZhonghao HAN . Co-catalyst Ni3N supported Al-doped SrTiO3: Synthesis and application to hydrogen evolution from photocatalytic water splitting. Chinese Journal of Inorganic Chemistry, 2025, 41(3): 440-452. doi: 10.11862/CJIC.20240371

Metrics
  • PDF Downloads(12)
  • Abstract views(1834)
  • HTML views(423)

通讯作者: 陈斌, bchen63@163.com
  • 1. 

    沈阳化工大学材料科学与工程学院 沈阳 110142

  1. 本站搜索
  2. 百度学术搜索
  3. 万方数据库搜索
  4. CNKI搜索
Address:Zhongguancun North First Street 2,100190 Beijing, PR China Tel: +86-010-82449177-888
Powered By info@rhhz.net

/

DownLoad:  Full-Size Img  PowerPoint
Return