Citation: HE Qing, WEI Jun-tao, GONG Yan, DING Lu, YU Guang-suo. Experimental study on co-gasification reactivity of Shenfu bituminous coal char and MSW-based hydrochar[J]. Journal of Fuel Chemistry and Technology, ;2017, 45(10): 1191-1199. shu

Experimental study on co-gasification reactivity of Shenfu bituminous coal char and MSW-based hydrochar

  • Corresponding author: YU Guang-suo, gsyu@ecust.edu.cn
  • Received Date: 24 June 2017
    Revised Date: 16 August 2017

    Fund Project: the National Nature Science Foundation of China 21676091the National Nature Science Foundation of China 21376081The research was supported by the National Nature Science Foundation of China (21676091, 21376081) and the Fundamental Research Funds for the Central Universities (222201717004)the Fundamental Research Funds for the Central Universities 222201717004

Figures(9)

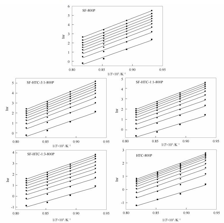
  • The influences of gasification temperature (800-950℃) and blending ratio (3:1, 1:1, 1:3) on the isothermal CO2 co-gasification reactivities of Shenfu bituminous coal char (SF char) and HTC char were investigated using an atmospheric thermogravimetric analyzer (TGA). Moreover, the activation energy of char gasification and its influence factors were explored. The results show that the greater surface area and the higher ash content are the main reasons for the high gasification reactivity of HTC char. The reactivities of mixtures with low HTC char proportion are more sensitive to temperature at low temperature range. The activation energy increases with the increase of carbon conversion, and the activation energy correlates well with the blending ratio and the molar ratio of active (K+Na)/Ca in the char.
  • 加载中
    1. [1]

      LI Wei-wei, HUANG Jie-jie, WANG Zhi-qing, DUANG Hui-wen, LI Jun-guo, FANG Yi-tian. Reaction kinetics of coal char gasification with CO2 and the effect of internal diffusion on the gasification[J]. J Fuel Chem Technol, 2016,44(12):1416-1421.

    2. [2]

      MOON J, MUN T-Y, YANG W, LEE U, HWANG J, JANG E, CHOI C. Effects of hydrothermal treatment of sewage sludge on pyrolysis and steam gasification[J]. Energy Convers Manage, 2015,89:401-407.  

    3. [3]

      MASNADI M S, GRACE J R, BI X T, JIM L, NAOKO E. From fossil fuels towards renewables:Inhibitory and catalytic effects on carbon thermochemical conversion during co-gasification of biomass with fossil fuels[J]. Appl Energy, 2015,140(15):196-209.  

    4. [4]

      JEONG H J, PARK S S, HWANG J. Co-gasification of coal-biomass blended char with CO2 at temperatures of 900-1100℃[J]. Fuel, 2014,116(15):465-470.  

    5. [5]

      SATYAM N V, AGHALAYAM P, JAYANTI S. Synergetic and inhibition effects in carbon dioxide gasification of blends of coals and biomass fuels of Indian origin[J]. Bioresour Technol, 2016,209:157-165. doi: 10.1016/j.biortech.2016.02.137

    6. [6]

      ZHANG Z, PANG S, LEVI T. Influence of AAEM species in coal and biomass on steam co-gasification of chars of blended coal and biomass[J]. Renew Energy, 2017,101:356-363. doi: 10.1016/j.renene.2016.08.070

    7. [7]

      RIZKIANA J, GUAN G, WIDAYATNO W B, HAO X G, LI X M, HUANG W, ABULITY A. Promoting effect of various biomass ashes on the steam gasification of low-rank coal[J]. Appl Energy, 2014,133(15):282-288.  

    8. [8]

      WEI J T, GUO Q H, HE Q, DING L, Yoshikawa K, YU G S. Co-gasification of bituminous coal and hydrochar derived from municipal solid waste:Reactivity and synergy[J]. Bioresour Technol, 2017,239:482-489. doi: 10.1016/j.biortech.2017.05.014

    9. [9]

      HUO W, ZHOU Z J, WANG F C, WANG Y F, YU G S. Experimental study of pore diffusion effect on char gasification with CO2 and steam[J]. Fuel, 2014,131(1):59-65.  

    10. [10]

      WEI X F, HUANG J J, LIU T F, FANG Y T, WANG Y. Transformation of alkali metals during pyrolysis and gasification of a lignite[J]. Energy Fuel, 2008,22(3):1840-1844. doi: 10.1021/ef7007858

    11. [11]

      WEI J T, GUO Q H, CHEN H D, CHEN X L, YU G S. Study on reactivity characteristics and synergy behaviours of rice straw and bituminous coal co-gasification[J]. Bioresour Technol, 2016,220:509-515. doi: 10.1016/j.biortech.2016.08.116

    12. [12]

      CHEN Fan-min, WANG Xing-jun, WANG Xi-ming, ZHOU Zhi-jie. Transformation of potassium during catalytic gasification of coal and the effect on gasification[J]. J Fuel Chem Technol, 2013,41(3):265-270.  

    13. [13]

      DING L, ZHANG Y Q, WANG Z Q, HUANG J J, FANG Y T. Interaction and its induced inhibiting or synergistic effects during co-gasification of coal char and biomass char[J]. Bioresour Technol, 2014,173:11-20. doi: 10.1016/j.biortech.2014.09.007

    14. [14]

      MAHINPEY N, GOMEZ A. Review of gasification fundamentals and new findings:Reactors, feedstock, and kinetic studies[J]. Chem Eng Sci, 2016,148(12):14-31.  

    15. [15]

      GOMEZ A, MAHINPEY N. A new method to calculate kinetic parameters independent of the kinetic model:Insights on CO2 and steam gasification[J]. Chem Eng Res Des, 2015,95:346-357. doi: 10.1016/j.cherd.2014.11.012

    16. [16]

      DONG Cun-zhen, WANG Xiao-han, ZENG Xiao-jun, SHAO Zhen-hua. Experimental study on the gasification kinetic parameters of biomass chars under CO2 atmosphere:I. Activation energy[J]. J Fuel Chem Technol, 2014,42(3):329-335.  

    17. [17]

      TANNER J, BHATTACHARYA S. Kinetics of CO2 and steam gasification of Victorian brown coal chars[J]. Chem Eng J, 2016,285(1):331-340.

  • 加载中
    1. [1]

      Yuting BaiCenqi YanZhen LiJiaqiang QinPei Cheng . Preparation of High-Strength Polyimide Porous Films with Thermally Closed Pore Property by In Situ Pore Formation Method. Acta Physico-Chimica Sinica, 2024, 40(9): 2306010-0. doi: 10.3866/PKU.WHXB202306010

    2. [2]

      Xuyu WANGXinran XIEDengke CAO . Photoreaction characteristics and luminescence modulation in phosphine-anthracene-based Au(Ⅰ) and Ir(Ⅲ) complexes. Chinese Journal of Inorganic Chemistry, 2025, 41(8): 1513-1522. doi: 10.11862/CJIC.20250113

    3. [3]

      Yang ZHOULili YANWenjuan ZHANGPinhua RAO . Thermal regeneration of biogas residue biochar and the ammonia nitrogen adsorption properties. Chinese Journal of Inorganic Chemistry, 2025, 41(8): 1574-1588. doi: 10.11862/CJIC.20250032

    4. [4]

      Yang Lv Yingping Jia Yanhua Li Hexiang Zhong Xinping Wang . Integrating the Ideological Elements with the “Chemical Reaction Heat” Teaching. University Chemistry, 2024, 39(11): 44-51. doi: 10.12461/PKU.DXHX202402059

    5. [5]

      Jianjun LIMingjie RENLili ZHANGLingling ZENGHuiling WANGXiangwu MENG . UV-assisted degradation of tetracycline hydrochloride by MnFe2O4@activated carbon activated persulfate. Chinese Journal of Inorganic Chemistry, 2024, 40(10): 1869-1880. doi: 10.11862/CJIC.20240187

    6. [6]

      Ji-Quan Liu Huilin Guo Ying Yang Xiaohui Guo . Calculation and Discussion of Electrode Potentials in Redox Reactions of Water. University Chemistry, 2024, 39(8): 351-358. doi: 10.3866/PKU.DXHX202401031

    7. [7]

      Qiqi LiSu ZhangYuting JiangLinna ZhuNannan GuoJing ZhangYutong LiTong WeiZhuangjun Fan . Preparation of High Density Activated Carbon by Mechanical Compression of Precursors for Compact Capacitive Energy Storage. Acta Physico-Chimica Sinica, 2025, 41(3): 100028-0. doi: 10.3866/PKU.WHXB202406009

    8. [8]

      Chuanming GUOKaiyang ZHANGYun WURui YAOQiang ZHAOJinping LIGuang LIU . Performance of MnO2-0.39IrOx composite oxides for water oxidation reaction in acidic media. Chinese Journal of Inorganic Chemistry, 2024, 40(6): 1135-1142. doi: 10.11862/CJIC.20230459

    9. [9]

      Zihan ChengKai JiangJun JiangHenggang WangHengwei Lin . Achieving thermal-stimulus-responsive dynamic afterglow from carbon dots by singlet-triplet energy gap engineering through covalent fixation. Acta Physico-Chimica Sinica, 2026, 42(2): 100169-0. doi: 10.1016/j.actphy.2025.100169

    10. [10]

      Nengmin ZHUWenhao ZHUXiaoyao YINSongzhi ZHENGHao LIZeyuan WANGWenhao WEIXuanheng CHENWeihai SUN . Preparation of high-performance CsPbBr3 perovskite solar cells by the aqueous solution solvent method. Chinese Journal of Inorganic Chemistry, 2025, 41(6): 1131-1140. doi: 10.11862/CJIC.20240419

    11. [11]

      Kun RongCuilian WenJiansen WenXiong LiQiugang LiaoSiqing YanChao XuXiaoliang ZhangBaisheng SaZhimei Sun . Hierarchical MoS2/Ti3C2Tx heterostructure with excellent photothermal conversion performance for solar-driven vapor generation. Acta Physico-Chimica Sinica, 2025, 41(6): 100053-0. doi: 10.1016/j.actphy.2025.100053

    12. [12]

      Linlin Wu Yonghua Zhou Zhongbei Li Liu Deng Younian Liu Limiao Chen Jianhan Huang . Digital Education Promoting Applied Chemistry Comprehensive Experiments: A Case Study of Catalytic Oxidation of Hydrogen Chloride and Reaction Kinetics. University Chemistry, 2025, 40(9): 273-278. doi: 10.12461/PKU.DXHX202411018

    13. [13]

      Xin XIONGQian CHENQuan XIE . First principles study of the photoelectric properties and magnetism of La and Yb doped AlN. Chinese Journal of Inorganic Chemistry, 2024, 40(8): 1519-1527. doi: 10.11862/CJIC.20240064

    14. [14]

      Shipeng WANGShangyu XIELuxian LIANGXuehong WANGJie WEIDeqiang WANG . Piezoelectric effect of Mn, Bi co-doped sodium niobate for promoting cell proliferation and bacteriostasis. Chinese Journal of Inorganic Chemistry, 2024, 40(10): 1919-1931. doi: 10.11862/CJIC.20240094

    15. [15]

      Xueyu LinRuiqi WangWujie DongFuqiang Huang . Rational Design of Bimetallic Oxide Anodes for Superior Li+ Storage. Acta Physico-Chimica Sinica, 2025, 41(3): 100021-0. doi: 10.3866/PKU.WHXB202311005

    16. [16]

      Qingtang ZHANGXiaoyu WUZheng WANGXiaomei WANG . Performance of nano Li2FeSiO4/C cathode material co-doped by potassium and chlorine ions. Chinese Journal of Inorganic Chemistry, 2024, 40(9): 1689-1696. doi: 10.11862/CJIC.20240115

    17. [17]

      Hailang JIAYujie LUPengcheng JI . Preparation and properties of nitrogen and phosphorus co-doped graphene carbon aerogel supported ruthenium electrocatalyst for hydrogen evolution reaction. Chinese Journal of Inorganic Chemistry, 2025, 41(11): 2327-2336. doi: 10.11862/CJIC.20250021

    18. [18]

      Yuena Yang Xufang Hu Yushan Liu Yaya Kuang Jian Ling Qiue Cao Chuanhua Zhou . The Realm of Smart Hydrogels. University Chemistry, 2024, 39(5): 172-183. doi: 10.3866/PKU.DXHX202310125

    19. [19]

      Junke LIUKungui ZHENGWenjing SUNGaoyang BAIGuodong BAIZuwei YINYao ZHOUJuntao LI . Preparation of modified high-nickel layered cathode with LiAlO2/cyclopolyacrylonitrile dual-functional coating. Chinese Journal of Inorganic Chemistry, 2024, 40(8): 1461-1473. doi: 10.11862/CJIC.20240189

    20. [20]

      Yadan LuoHao ZhengXin LiFengmin LiHua TangXilin She . Modulating reactive oxygen species in O, S co-doped C3N4 to enhance photocatalytic degradation of microplastics. Acta Physico-Chimica Sinica, 2025, 41(6): 100052-0. doi: 10.1016/j.actphy.2025.100052

Metrics
  • PDF Downloads(1)
  • Abstract views(1918)
  • HTML views(161)

通讯作者: 陈斌, bchen63@163.com
  • 1. 

    沈阳化工大学材料科学与工程学院 沈阳 110142

  1. 本站搜索
  2. 百度学术搜索
  3. 万方数据库搜索
  4. CNKI搜索
Address:Zhongguancun North First Street 2,100190 Beijing, PR China Tel: +86-010-82449177-888
Powered By info@rhhz.net

/

DownLoad:  Full-Size Img  PowerPoint
Return