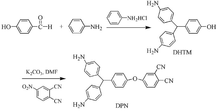
Preparation and Properties of Diamino-Phthalonitrile/Epoxy Resin System
- Corresponding author: Yu Xiaoyan, yuxycnn@163.com Zhang Qinxing, zhqxcn@163.com
Citation:
Wang Jian, Ji Puguang, Yu Xiaoyan, Zhang Qinxing. Preparation and Properties of Diamino-Phthalonitrile/Epoxy Resin System[J]. Chemistry,
;2018, 81(5): 466-471.
T Maehara, J Takenaka, K Tanaka et al. J. Appl. Polym. Sci., 2009, 112(1):496~504.
P J Burchill. J. Polym. Sci. A. Polym. Chem., 1994, 32(1):1~8.
T M Keller, D D Dominguez, M Laskoski. J. Polym. Sci. A, 2016, 54(23):3769~3777.
M Laskoski, D D Dominguez, T M Keller. J. Polym. Sci. A, 2005, 43(18):4136~4143.
T M Keller, T Price. J. Macromol. Sci. Chem., 1982, 18(6):931~937.
D D Dominguez, T M Keller. High Perform. Polym., 2006, 18(3):283~304.
M Laskoski, D D Dominguez, T M Keller. Polymer, 2006, 47(11):3727~3733.
M Laskoski, D D Dominguez, T M Keller. Polymer, 2007, 48(21):6234~6240.
M Laskoski, M B Schear, A Neal et al. Polymer, 2015, 67:185~191.
T Liu, Y Yang, T Wang et al. Polym. Eng. Sci., 2015, 55(10):2313~2321.
K Zeng,K Zhou, W R Tang et al. Chin. Chem. Lett., 2007, 18(5):523~526.
K Zeng, K Zhou, S Zhou. Eur. Polym. J., 2009, 45(4):1328~1335.
T Zhang, J Wang, M. Derradji. Thermochim. Acta, 2015, 602:22~29.
F H Zhao, R J Liu, X Y Yu et al. Chin. Chem. Lett., 2015, 26(6):727~729.
H Zhou, A Badashah, Z Luo et al. Polym. Adv. Technol., 2011, 22(10):1459~1465.
S Zhou, H Hong, K Zeng et al. Polym. Bull. 2009, 62(5):581~591.
S K Reshmi, K P Vijayalakshmi, D Thomas et al. Propell. Explos. Pyrot., 2013, 38:525~532.
Tao Cao , Fang Fang , Nianguang Li , Yinan Zhang , Qichen Zhan . Green Synthesis of p-Hydroxybenzonitrile Catalyzed by Spinach Extracts under Red-Light Irradiation: Research and Exploration of Innovative Experiments for Pharmacy Undergraduates. University Chemistry, 2024, 39(5): 63-69. doi: 10.3866/PKU.DXHX202309098
Lijuan Liu , Xionglei Wang . Preparation of Hydrogels from Waste Thermosetting Unsaturated Polyester Resin by Controllable Catalytic Degradation: A Comprehensive Chemical Experiment. University Chemistry, 2024, 39(11): 313-318. doi: 10.12461/PKU.DXHX202403060
Zhuo WANG , Junshan ZHANG , Shaoyan YANG , Lingyan ZHOU , Yedi LI , Yuanpei LAN . Preparation and photocatalytic performance of CeO2-reduced graphene oxide by thermal decomposition. Chinese Journal of Inorganic Chemistry, 2024, 40(9): 1708-1718. doi: 10.11862/CJIC.20240067
Liangzhen Hu , Li Ni , Ziyi Liu , Xiaohui Zhang , Bo Qin , Yan Xiong . A Green Chemistry Experiment on Electrochemical Synthesis of Benzophenone. University Chemistry, 2024, 39(6): 350-356. doi: 10.3866/PKU.DXHX202312001
Jingzhao Cheng , Shiyu Gao , Bei Cheng , Kai Yang , Wang Wang , Shaowen Cao . Construction of 4-Amino-1H-imidazole-5-carbonitrile Modified Carbon Nitride-Based Donor-Acceptor Photocatalyst for Efficient Photocatalytic Hydrogen Evolution. Acta Physico-Chimica Sinica, 2024, 40(11): 2406026-0. doi: 10.3866/PKU.WHXB202406026
Qingqing SHEN , Xiangbowen DU , Kaicheng QIAN , Zhikang JIN , Zheng FANG , Tong WEI , Renhong LI . Self-supporting Cu/α-FeOOH/foam nickel composite catalyst for efficient hydrogen production by coupling methanol oxidation and water electrolysis. Chinese Journal of Inorganic Chemistry, 2024, 40(10): 1953-1964. doi: 10.11862/CJIC.20240028
Xichen YAO , Shuxian WANG , Yun WANG , Cheng WANG , Chuang ZHANG . Oxygen reduction performance of self?supported Fe/N/C three-dimensional aerogel catalyst layers. Chinese Journal of Inorganic Chemistry, 2025, 41(7): 1387-1396. doi: 10.11862/CJIC.20240384
Jianqiao ZHANG , Yang LIU , Yan HE , Yaling ZHOU , Fan YANG , Shihui CHENG , Bin XIA , Zhong WANG , Shijian CHEN . Ni-doped WP2 nanowire self-standingelectrode: Preparation and alkaline electrocatalytic hydrogen evolution property. Chinese Journal of Inorganic Chemistry, 2025, 41(8): 1610-1616. doi: 10.11862/CJIC.20240444
Liuyun Chen , Wenju Wang , Tairong Lu , Xuan Luo , Xinling Xie , Kelin Huang , Shanli Qin , Tongming Su , Zuzeng Qin , Hongbing Ji . Soft template-induced deep pore structure of Cu/Al2O3 for promoting plasma-catalyzed CO2 hydrogenation to DME. Acta Physico-Chimica Sinica, 2025, 41(6): 100054-0. doi: 10.1016/j.actphy.2025.100054
Yongqing Xu , Yuyao Yang , Mengna Wu , Xiaoxiao Yang , Xuan Bie , Shiyu Zhang , Qinghai Li , Yanguo Zhang , Chenwei Zhang , Robert E. Przekop , Bogna Sztorch , Dariusz Brzakalski , Hui Zhou . Review on Using Molybdenum Carbides for the Thermal Catalysis of CO2 Hydrogenation to Produce High-Value-Added Chemicals and Fuels. Acta Physico-Chimica Sinica, 2024, 40(4): 2304003-0. doi: 10.3866/PKU.WHXB202304003
Shiyi Chen , Jialong Fu , Jianping Qiu , Guoju Chang , Shiyou Hao . Waste medical mask-derived carbon quantum dots enhance the photocatalytic degradation of polyethylene terephthalate (PET) over BiOBr/g-C3N4 S-scheme heterojunction. Acta Physico-Chimica Sinica, 2026, 42(1): 100135-0. doi: 10.1016/j.actphy.2025.100135
Jiangyuan Qiu , Tao Yu , Junxin Chen , Wenxuan Li , Xiaoxuan Zhang , jinsheng Li , Rui Guo , Zaiyin Huang , Xuanwen Liu . Modulate surface potential well depth of Bi12O17Cl2 by FeOOH in Bi12O17Cl2@FeOOH heterojunction to boost piezoelectric charge transfer and piezo-self-Fenton catalysis. Acta Physico-Chimica Sinica, 2026, 42(1): 100157-0. doi: 10.1016/j.actphy.2025.100157
Sumiya Akter Dristy , Md Ahasan Habib , Shusen Lin , Mehedi Hasan Joni , Rutuja Mandavkar , Young-Uk Chung , Md Najibullah , Jihoon Lee . Exploring Zn doped NiBP microspheres as efficient and stable electrocatalyst for industrial-scale water splitting. Acta Physico-Chimica Sinica, 2025, 41(7): 100079-0. doi: 10.1016/j.actphy.2025.100079
Wang Wang , Yucheng Liu , Shengli Chen . Use of NiFe Layered Double Hydroxide as Electrocatalyst in Oxygen Evolution Reaction: Catalytic Mechanisms, Electrode Design, and Durability. Acta Physico-Chimica Sinica, 2024, 40(2): 2303059-0. doi: 10.3866/PKU.WHXB202303059
Xiaoning TANG , Shu XIA , Jie LEI , Xingfu YANG , Qiuyang LUO , Junnan LIU , An XUE . Fluorine-doped MnO2 with oxygen vacancy for stabilizing Zn-ion batteries. Chinese Journal of Inorganic Chemistry, 2024, 40(9): 1671-1678. doi: 10.11862/CJIC.20240149
Shijie Ren , Mingze Gao , Rui-Ting Gao , Lei Wang . Bimetallic Oxyhydroxide Cocatalyst Derived from CoFe MOF for Stable Solar Water Splitting. Acta Physico-Chimica Sinica, 2024, 40(7): 2307040-0. doi: 10.3866/PKU.WHXB202307040
Wentao Xu , Xuyan Mo , Yang Zhou , Zuxian Weng , Kunling Mo , Yanhua Wu , Xinlin Jiang , Dan Li , Tangqi Lan , Huan Wen , Fuqin Zheng , Youjun Fan , Wei Chen . Bimetal Leaching Induced Reconstruction of Water Oxidation Electrocatalyst for Enhanced Activity and Stability. Acta Physico-Chimica Sinica, 2024, 40(8): 2308003-0. doi: 10.3866/PKU.WHXB202308003
Renqing Lü , Shutao Wang , Fang Wang , Guoping Shen . Computational Chemistry Aided Organic Chemistry Teaching: A Case of Comparison of Basicity and Stability of Diazine Isomers. University Chemistry, 2025, 40(3): 76-82. doi: 10.12461/PKU.DXHX202404119
Yuchen Zhou , Huanmin Liu , Hongxing Li , Xinyu Song , Yonghua Tang , Peng Zhou . Designing thermodynamically stable noble metal single-atom photocatalysts for highly efficient non-oxidative conversion of ethanol into high-purity hydrogen and value-added acetaldehyde. Acta Physico-Chimica Sinica, 2025, 41(6): 100067-0. doi: 10.1016/j.actphy.2025.100067
Hailian Tang , Siyuan Chen , Qiaoyun Liu , Guoyi Bai , Botao Qiao , Liu Fei . Stabilized Rh/hydroxyapatite Catalyst for Furfuryl Alcohol Hydrogenation: Application of Oxidative Strong Metal-Support Interactions in Reducing Conditions. Acta Physico-Chimica Sinica, 2025, 41(4): 100036-0. doi: 10.3866/PKU.WHXB202408004